Butylone

Butylone
Clinical data
Routes of
administration
oral, intravenous, insufflation
ATC code none
Legal status
Legal status
Pharmacokinetic data
Metabolism Hepatic
Excretion Renal
Identifiers
CAS Number 802575-11-7
PubChem (CID) 56843046
ChemSpider 21073070
UNII X72T4EQ4FQ
ECHA InfoCard 100.213.060
Chemical and physical data
Formula C12H15NO3
Molar mass 221.2524 g/mol
3D model (Jmol) Interactive image

Butylone, also known as β-keto-N-methylbenzodioxolylbutanamine (βk-MBDB), is an entactogen, psychedelic, and stimulant psychoactive drug of the phenethylamine chemical class. It is the β-keto (substituted cathinone) analogue of MBDB and the substituted methylenedioxyphenethylamine analogue of buphedrone.

History

Butylone was first synthesized by Koeppe, Ludwig and Zeile which is mentioned in their 1967 paper. It remained an obscure product of academia until 2005 when it was sold as a designer drug.[1] Butylone shares the same relationship to MBDB as methylone does to MDMA ("Ecstasy"). Formal research on this chemical was first conducted in 2009, when it was shown to be metabolised in a similar manner to related drugs like methylone.[2]

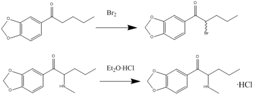
Synthesis

Butylone can be synthesized in a laboratory via the following route: 3,4-methylenedioxybutyrophenone dissolved in dichloromethane to bromine gives 3′,4′-methylenedioxy-2-bromobutyrophenone. This product was then dissolved in dichloromethane and added to an aqueous solution of methylamine (40%). HCl was then added. The aqueous layer was removed and made alkaline by using sodium bicarbonate. For the extraction of the amine ether was used. To get butylone a drop of ether and HCl solution was added.[3]

A brief reaction mechanism for butylone.

Metabolism

There are three major metabolic pathways of bk-MBDB as shown in the figure. As result of demethylenation followed by O-methylation bk-MBDB metabolises into 4-OH-3-MeO and 3-OH-4-MeO metabolites in human urine. The second pathway is a β-ketone reduction into β-ketone reduced metabolites. The third pathway is a N-dealkylation into N-dealkyl metabolites. The first two pathways occur more than pathway three. The most common metabolite is the 4-OH-3-MeO metabolite. The metabolites containing a hydroxyl-group would be excreted as their conjugates in urine.[4]

The three metabolic pathways of butylone.

Mechanism of action

Butylone acts in a similar way as MDMA and Methylone, it causes an increase in extracellular monoamine levels.[5][3]

The following tables lists the half maximal inhibitory and half maximal effective concentrations for norepinephrine, dopamine and serotonin receptors, respectively.[6]

Monoamine transport inhibition
NET IC50 (µM) 2.02 (1,5-2,7)
DAT IC50 (µM) 2,90 (2,5-3,4)
SERT IC50 (µM) 6,22 (4,3-9,0)
Monoamine release
DAT EC50 (µM) >100
SERT EC50 (µM) 5,5 (1,8-17)

Drug prohibition laws

China

As of October 2015 Butylone is a controlled substance in China.[7]

Sweden

Sveriges riksdag added butylone to schedule I ("substances, plant materials and fungi which normally do not have medical use") as narcotics in Sweden as of Feb 1, 2010, published by Medical Products Agency in their regulation LVFS 2010:1 listed as Butylon, 1-(1,3-bensodioxol-5-yl)-2-(metylamino)butan-1-on.[8]

United States

Butylone is also a Schedule I controlled substance under the Controlled Substances Act in the United States.

See also

References

  1. Uchiyama N, Kikura-Hanajiri R, Kawahara N, Goda Y (October 2008). "2006年度買い上げ違法ドラッグ製品から検出されたデザイナードラッグ成分のNMRを中心とした分析". Yakugaku Zasshi (in Japanese). 128 (10): 1499–15505. doi:10.1248/yakushi.128.1499. PMID 18827471.
  2. Zaitsu K, Katagi M, Kamata HT, Kamata T, Shima N, Miki A, Tsuchihashi H, Mori Y (July 2009). "Determination of the metabolites of the new designer drugs bk-MBDB and bk-MDEA in human urine". Forensic Science International. 188 (1–3): 131–139. doi:10.1016/j.forsciint.2009.04.001. PMID 19406592.
  3. 1 2 López, Arnau R.; Martínez, Clemente J.; Pubill D.; Escubedo E.; Camarasa J. (September 2012). "Comparative neuropharmacology of three psychostimulant cathinone derivatives: butylone, mephedrone and methylone". British Journal of Pharmacology. 167 (2): 407–420. doi:10.1111/j.1476-5381.2012.01998.x. PMC 3481047Freely accessible. PMID 22509960.
  4. Prosser JM, Nelson LS (March 2012). "The Toxicology of Bath Salts: A Review of Synthetic Cathinones". Journal of Medical Toxicology. 8 (1): 33–42. doi:10.1007/s13181-011-0193-z. PMC 3550219Freely accessible. PMID 22108839.
  5. Eshleman AJ, Wolfrum KM, Hatfield MG, Johnson RA, Murphy KV, Janowsky A (June 2013). "Substituted methcathinones differ in transporter and receptor interactions". Biochemical Pharmacology. 85 (12): 1803–1815. doi:10.1016/j.bcp.2013.04.004. PMC 3692398Freely accessible. PMID 23583454.
  6. L. D. Simmler; T. A. Buser; M. Donzelli; Y. Schramm; L-H. Dieu; J. Huwyler; S. Chaboz; M. C. Hoener; M. E. Liechti (January 2013). "Pharmacological characterization of designer cathinones in vitro". British Journal of Pharmacology. 168 (2): 458–470. doi:10.1111/j.1476-5381.2012.02145.x. PMC 3572571Freely accessible. PMID 22897747.
  7. "关于印发《非药用类麻醉药品和精神药品列管办法》的通知" (in Chinese). China Food and Drug Administration. 27 September 2015. Retrieved 1 October 2015.
  8. Christina Rångemark Åkerman (29 January 2010). "Föreskrifter om ändring i Läkemedelsverkets föreskrifter (LVFS 1997:12) om förteckningar över narkotika" (PDF) (in Swedish). LVFS.

This article is issued from Wikipedia - version of the 9/1/2016. The text is available under the Creative Commons Attribution/Share Alike but additional terms may apply for the media files.