Alniditan

Alniditan
Clinical data
ATC code none
Identifiers
CAS Number 155428-00-5 N
PubChem (CID) 66004
IUPHAR/BPS 120
ChemSpider 59396 YesY
UNII B57Z82EOGE YesY
KEGG D02826 YesY
ChEMBL CHEMBL88240 YesY
Chemical and physical data
Formula C17H26N4O
Molar mass 302.41 g/mol
3D model (Jmol) Interactive image
 NYesY (what is this?)  (verify)

Alniditan is a 5-HT1D receptor agonist with migraine-preventative effects.[1]

Synthesis

The sizeable number of serotonergic drugs for treating migraines all incorporate the indole nucleus found in serotonin itself. It is thus of interest that a compound based on a benzopyran manifests much the same activity.

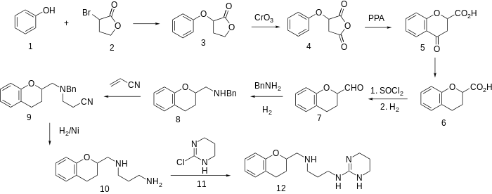
Alniditan synthesis:[2]

Alkylation of phenol with 2-bromobutyrolactone (2) leads to the ether (3). Oxidation of that product with chromium trioxide then leads to the substituted succinic anhydride (4). Treatment of anhydride with polyphosphoric acid leads to the acylation of the aromatic ring and the formation of the benzopyranone ring (5). The ketonyl group is then selectively reduced by any of several methods, as, for example, conversion to a dithiolane followed by Mozingo reduction to 6. The carboxylic acid is next reduced to the corresponding aldehyde (7) by successive conversion to an acid chloride followed by hydrogenation in the presence of thiophene. A second hydrogenation in the presence of benzylamine leads to the reductive amination product (8). Michael addition of the amino group in 8 to acrylonitrile leads to a 1,4-addition and the formation of (9). Reduction of the nitrile affords the diamine (10). Reaction of this last diamine with tetrahydropyrimidine chloride (11), itself formed by treatment of trimethylene urea with phosphorus oxychloride, leads to the displacement of halogen by the terminal, and thus more accessible, amino group in (10). There is thus formed the serotonergic agent alniditan (12).

References

  1. Leysen JE, Gommeren W, Heylen L, et al. (December 1996). "Alniditan, a new 5-hydroxytryptamine1D agonist and migraine-abortive agent: ligand-binding properties of human 5-hydroxytryptamine1D alpha, human 5-hydroxytryptamine1D beta, and calf 5-hydroxytryptamine1D receptors investigated with [3H]5-hydroxytryptamine and [3H]alniditan". Mol. Pharmacol. 50 (6): 1567–80. PMID 8967979.
  2. Lommen, G.; De Bruyn, Marcel; Schroven, Marc; Verschueren, Wim; Janssens, Walter; Verrelst, Jan; Leysen, Josée (1995). "The discovery of a series of new non-indole 5HT1D agonists". Bioorganic & Medicinal Chemistry Letters. 5 (22): 2649–2654. doi:10.1016/0960-894X(95)00473-7.


This article is issued from Wikipedia - version of the 11/28/2016. The text is available under the Creative Commons Attribution/Share Alike but additional terms may apply for the media files.