Amisulpride

Amisulpride
Clinical data
Trade names Solian
AHFS/Drugs.com International Drug Names
Pregnancy
category
  • AU: C
Routes of
administration
Oral, IV
ATC code N05AL05 (WHO)
Legal status
Legal status
  • AU: S4 (Prescription only)
  • UK: POM (Prescription only)
Pharmacokinetic data
Bioavailability 48%[1][2]
Protein binding 16%[2]
Metabolism Hepatic (minimal; most excreted unchanged)[2]
Biological half-life 12 hours[1]
Excretion Renal[1] (23–46%),[3][4] Fecal[2]
Identifiers
CAS Number 71675-85-9 N
PubChem (CID) 2159
IUPHAR/BPS 963
DrugBank DB06288 YesY
ChemSpider 2074 YesY
UNII 8110R61I4U YesY
KEGG D07310 YesY
ChEBI CHEBI:64045 N
ChEMBL CHEMBL243712 YesY
Chemical and physical data
Formula C17H27N3O4S
Molar mass 369.48 g/mol
3D model (Jmol) Interactive image
 NYesY (what is this?)  (verify)

Amisulpride (sold as Amazeo, Amipride (AU), Amival, Solian (AU, IE, RU, UK, ZA), Soltus, Sulpitac (IN), Sulprix (AU), Socian (BR), is an atypical antipsychotic used to treat psychosis in schizophrenia and episodes of mania in bipolar disorder. In Italy, it is also used as a treatment for dysthymia.[5]

It was introduced by Sanofi-Aventis in the 1990s. Its patent had expired by 2008 and hence generic formulations are now available.[6]

Medical Uses

Schizophrenia

It appears to have comparable efficacy to olanzapine in the treatment of schizophrenia.[7][8][9] Amisulpride augmentation, similarly to sulpiride augmentation, has been considered a viable treatment option (although, it is worth noting that the supporting evidence is limited to the theory, case reports, a small randomised double-blind placebo-controlled trial[10] and a couple of open-label studies[11][12]) in clozapine-resistant cases of schizophrenia.[13][14] A randomised, double-blind, placebo-controlled clinical trial has been conducted to evaluate the efficacy of celecoxib as an adjunct to amisulpride, with significant success.[15] Another recent study concluded that amisulpride is an appropriate first-line treatment for the management of acute psychosis.[16]

Bipolar disorder

Amisulpride has been tried as a treatment for acute mania in a few open-label studies.[17][18] These findings should be interpreted with caution, not just due to the fact that these clinical trials were all open-label and hence low-quality but also because several case reports have been made documenting the precipitation of mania in schizophrenia patients that received amisulpride.[2][19]

Dysthymia

At low doses, it is also used to treat dysthymia where it appears to be at least as effective as conventional antidepressants according to a recent Cochrane review. Studies showed that at dose < 50 mg amisulpride has preferential affinity for pre-synaptic dopamine D2 and D3 autoreceptor subtypes (pre-synaptics autoreceptors serves as a negative feedback loop control). By blocking these autoreceptors amisulpride is preventing neurons from stopping the release of dopamine, leading to an increase of dopamine concentration in the brain. This mode of action could explain its strong antidepressant properties.[4][20][5] In this indication, amisulpride is significantly more effective than:

and equal to:

Investigational

Low-dose amisulpride has been found to be an effective treatment for postoperative emesis in a recent randomised, double-blind, placebo-controlled clinical trial.[25] In a small (N=11) clinical trial amisulpride combined with either mirtazapine or citalopram was found an effective treatment for psychotic depression in elderly patients, although it should be noted that this trial was not placebo-controlled and hence the level of evidence it provides to amisulpride's efficacy in this indication is low.[26] In a medium-sized (N=106) single-blind study it was found efficacious and well-tolerated in improving depressive symptoms in cancer patients undergoing chemotherapy.[27]

Adverse effects

Very Common (≥10% incidence)[28]
Common (≥1%, <10% incidence)[2][29][30][31]
- constipation
- dry mouth
- disorder of accommodation
- Blurred vision
Rare (<1% incidence)[2][29][30][31]


Hyperprolactinaemia results from antagonism of the D2 receptors located on the lactotrophic cells found in the anterior pituitary gland. Amisulpride has a high propensity for elevating plasma prolactin levels as a result of its poor blood-brain barrier penetrability and hence the resulting greater ratio of peripheral D2 occupancy to central D2 occupancy. This means that to achieve the sufficient occupancy (~60–80%[32]) of the central D2 receptors in order to elicit its therapeutic effects a dose must be given that is enough to saturate peripheral D2 receptors including those in the anterior pituitary.[33][34]

Contraindications

Amisulpride's use is contraindicated in the following disease states[2][30][31]

Neither is it recommended to use amisulpride in patients with hypersensitivities to amisulpride or the excipients found in its dosage form.[2]

Interactions

Amisulpride should not be used in conjunction with drugs that prolong the QT interval (such as citalopram, venlafaxine, bupropion, clozapine, tricyclic antidepressants, sertindole, ziprasidone, etc.),[35] reduce heart rate and those that can induce hypokalaemia. Likewise it is imprudent to combine antipsychotics due to the additive risk for tardive dyskinesia and neuroleptic malignant syndrome.[35]

Overdose

Torsades de pointes is common in overdose.[36][37] Amisulpride is moderately dangerous in overdose (with the TCAs being very dangerous and the SSRIs being modestly dangerous).[35][38]

Pharmacology

Amisulpride function primarily as a D2 and D3 receptor antagonist. It has high affinity for these receptors with dissociation constants of 2.2 nM and 2.4 nM, respectively. Although standard doses used to treat psychosis inhibit dopaminergic neurotransmission, low doses preferentially block inhibitory pre-synaptic autoreceptors. This results in a facilitation of dopamine activity, and for this reason, low dose amisulpride has also been used to treat dysthymia.[2]

Amisulpride and its relative sulpiride have been shown to bind to and activate the GHB receptor at doses that are used for therapeutic purposes.[39]

Though it has long been widely assumed that dopaminergic modulation is solely responsible for the respective antidepressant and antipsychotic properties of amisulpride, it has recently been shown that it also acts as a potent antagonist at the 5-HT7 receptor.[40] Several of the other atypical antipsychotics such as risperidone and ziprasidone are potent antagonists at the 5-HT7 receptor as well, and selective antagonists of the receptor show antidepressant properties themselves. To characterize the role of the 5-HT7 receptor in the antidepressant effects of amisulpride, a study prepared 5-HT7 receptor knockout mice.[40] The study found that in two widely used rodent models of depression, the tail suspension test, and the forced swim test, those mice did not exhibit an antidepressant response upon treatment with amisulpride.[40] These results suggest that 5-HT7 receptor antagonism mediates the antidepressant effects of amisulpride.[40]

Amisulpride also appears to bind with high affinity to the 5-HT2B receptor (see below table), though the clinical implications of this, if any, are unclear.

Molecular target Binding Affinity (Ki in nM)[41]
SERT >10000
NET >10000
DAT >10000
5-HT1A >10000
5-HT1B 1744
5-HT1D 1341
5-HT1E >10000
5-HT2A 8304
5-HT2B 13
5-HT2C >10000
5-HT3 >10000
5-HT5A >10000
5-HT6 4154
5-HT7 11.5[40]
α1A >10000
α1B >10000
α1D >10000
α2A 1114
α2C 1540
β1 >10000
β2 >10000
β3 >10000
M1 >10000
M2 >10000
M3 >10000
M4 >10000
M5 >10000
D1 >10000
D2 2.2
D3 2.4
D4 2370
D5 >10000
H1 >10000
H2 >10000
H4 >10000
δ opioid >10000
κ opioid >10000
μ opioid >10000
Prostaglandin E3 receptor >10000
Prostaglandin E4 receptor >10000

Availability

Amisulpride is not approved by the Food and Drug Administration for use in the United States, but it is used in Europe (France, Germany, Italy, Switzerland, Russia, United Kingdom, etc.), Israel, India, New Zealand and Australia (TGA approved in February 2002[2]) to treat psychosis and schizophrenia.[42][43]

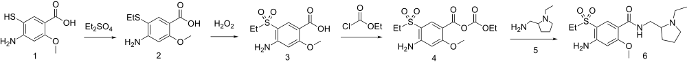
Synthesis

Dopamine receptor antagonist.

Amisulpride synthesis: M. Thominet et al., BE 872585 ; eidem, U.S. Patent 4,401,822 (1979, 1983 both to Soc. d'Etudes Sci. Ind. de l'Ile-de-France).

4-amino-5-mercapto-2-methoxybenzoic acid (1) is alkylated with diethyl sulfate to 4-amino-5-(ethylthio)-2-methoxybenzoic acid (2) and then this is oxidized with H2O2 to 4-amino-5-(ethylsulfonyl)-2-methoxybenzoic acid (3). A mixed anhydride is prepared via reaction with ethyl chloroformate (4) and then amidation with 1-ethyl-(2-aminoethyl)pyrrolidine (5) to give amisulpride as the product (6).

See also

References

  1. 1 2 3 Rosenzweig, P.; Canal, M.; Patat, A.; Bergougnan, L.; Zieleniuk, I.; Bianchetti, G. (2002). "A review of the pharmacokinetics, tolerability and pharmacodynamics of amisulpride in healthy volunteers.". Human Psychopharmacology. 17 (1): 1–13. doi:10.1002/hup.320. PMID 12404702.
  2. 1 2 3 4 5 6 7 8 9 10 11 "PRODUCT INFORMATION SOLIAN® TABLETS and SOLUTION" (PDF). TGA eBusiness Services. Sanofi-Aventis Australia Pty Ltd. 9 September 2013. Retrieved 17 October 2013.
  3. Caccia, S (May 2000). "Biotransformation of Post-Clozapine Antipsychotics Pharmacological Implications". Clinical Pharmacokinetics. 38 (5): 393–414. doi:10.2165/00003088-200038050-00002.
  4. 1 2 Noble, S; Benfield, P (December 1999). "Amisulpride: A Review of its Clinical Potential in Dysthymia". CNS Drugs. 12 (6): 471–483. doi:10.2165/00023210-199912060-00005.
  5. 1 2 Pani, L; Gessa, GL (2002). "The substituted benzamides and their clinical potential on dysthymia and on the negative symptoms of schizophrenia" (PDF). Molecular Psychiatry. 7 (3): 247–253. doi:10.1038/sj.mp.4001040. PMID 11920152.
  6. De Silva, V; Hanwella, R (2008). "Pharmaceutical patents and the quality of mental healthcare in low- and middle-income countries". The Psychiatrist. 32 (4): 121–123. doi:10.1192/pb.bp.107.015651.
  7. Komossa, K; Rummel-Kluge, C; Hunger, H; Schmid, F; Schwarz, S; Silveira da Mota Neto, JI; Kissling, W; Leucht, S (January 2010). "Second-generation versus first-generation antipsychotic drugs for schizophrenia: a meta-analysis." (PDF). The Cochrane Database of Systematic Reviews (1): CD006624. doi:10.1002/14651858.CD006624.pub2. PMID 20091599.
  8. Leucht, S; Corves, C; Arbter, D; Engel, RR; Li, C; Davis, JM (January 2009). "Second-generation versus first-generation antipsychotic drugs for schizophrenia: a meta-analysis.". Lancet. 373 (9657): 31–41. doi:10.1016/S0140-6736(08)61764-X. PMID 19058842.
  9. 1 2 3 4 5 Leucht, S; Cipriani, A; Spineli, L; Mavridis, D; Orey, D; Richter, F; Samara, M; Barbui, C; Engel, RR; Geddes, JR; Kissling, W; Stapf, MP; Lässig, B; Salanti, G; Davis, JM (September 2013). "Comparative efficacy and tolerability of 15 antipsychotic drugs in schizophrenia: a multiple-treatments meta-analysis.". Lancet. 382 (9896): 951–962. doi:10.1016/S0140-6736(13)60733-3. PMID 23810019.
  10. Assion, HJ; Reinbold, H; Lemanski, S; Basilowski, M; Juckel, G (January 2008). "Amisulpride augmentation in patients with schizophrenia partially responsive or unresponsive to clozapine. A randomized, double-blind, placebo-controlled trial". Pharmacopsychiatry. 41 (1): 24–28. doi:10.1055/s-2007-993209. PMID 18203048.
  11. Ziegenbein, M; Sieberer, M; Kuenzel, HE; Kropp, S. "[Augmentation of Clozapine With Amisulpride in Patients With Treatment-Resistant Schizophrenia An Open Clinical Study]". The German Journal of Psychiatry (in German): 17–22. ISSN 1433-1055.
  12. Munro, J; Matthiasson, P; Osborne, S; Travis, M; Purcell, S; Cobb, AM; Launer, M; Beer, MD; Kerwin, R (October 2004). "Amisulpride augmentation of clozapine: an open non-randomized study in patients with schizophrenia partially responsive to clozapine". Acta Psychiatrica Scandinavica. 110 (4): 292–298. doi:10.1111/j.1600-0447.2004.00356.x. PMID 15352931.
  13. Solanki, RK; Sing, P; Munshi, D (Oct–Dec 2009). "Current perspectives in the treatment of resistant schizophrenia". Indian Journal of Psychiatry. 51 (4): 254–60. doi:10.4103/0019-5545.58289. PMC 2802371Freely accessible. PMID 20048449.
  14. Mouaffak, F; Tranulis, C; Gourevitch, R; Poirier, MF; Douki, S; Olié, JP; Lôo, H; Gourion, D. "Augmentation Strategies of Clozapine With Antipsychotics in the Treatment of Ultraresistant Schizophrenia". Clinical Neuropharmacology. 29 (1): 28–33. doi:10.1097/00002826-200601000-00009. PMID 16518132.
  15. Müller, N; Krause, D; Dehning, S; Musil, R; Schennach-Wolff, R; Obermeier, M; Möller, HJ; Klauss, V; Schwarz, MJ; Riedel, M (August 2010). "Celecoxib treatment in an early stage of schizophrenia: results of a randomized, double-blind, placebo-controlled trial of celecoxib augmentation of amisulpride treatment". Schizophrenia Research. 121 (1-3): 118–124. doi:10.1016/j.schres.2010.04.015. PMID 20570110.
  16. Nuss, P.; Hummer, M.; Tessier, C. (2007). "The use of amisulpride in the treatment of acute psychosis". Therapeutics and Clinical Risk Management. 3 (1): 3–11. doi:10.2147/tcrm.2007.3.1.3. PMC 1936283Freely accessible. PMID 18360610.
  17. Vieta, E; Ros, S; Goikolea, JM; Benabarre, A; Popova, E; Comes, M; Capapey, J; Sánchez-Moreno, J (May 2005). "An open-label study of amisulpride in the treatment of mania". Journal of Clinical Psychiatry. 66 (5): 575–578. doi:10.4088/jcp.v66n0505. PMID 15889942.
  18. Thomas, P; Vieta, E (June 2008). "Amisulpride plus valproate vs haloperidol plus valproate in the treatment of acute mania of bipolar I patients: a multicenter, open-label, randomized, comparative trial". Neuropsychiatric disease and treatment. 4 (3): 675–686. doi:10.2147/NDT.S3135. PMC 2526384Freely accessible. PMID 18830442.
  19. Aggarwal, A; Jain, M; Khandelwal, A; Jiloha, RC (April 2010). "Amisulpride induced mania". Indian Journal of Pharmacology. 42 (2): 112–113. doi:10.4103/0253-7613.64496. PMC 2907009Freely accessible. PMID 20711379.
  20. Komossa, K; Depping, AM; Gaudchau, A; Kissling, W; Leucht, S (December 2010). "Second-generation antipsychotics for major depressive disorder and dysthymia." (PDF). The Cochrane Database of Systematic Reviews (12): CD008121. doi:10.1002/14651858.CD008121.pub2. PMID 21154393.
  21. Amore, M.; Jori, M. C.; Amisert investigators (2001). "Faster response on amisulpride 50 mg versus sertraline 50-100 mg in patients with dysthymia or double depression: A randomized, double-blind, parallel group study". International Clinical Psychopharmacology. 16 (6): 317–324. doi:10.1097/00004850-200111000-00001. PMID 11712619.
  22. Papp, M.; Wieronska, J. (2000). "Antidepressant-like activity of amisulpride in two animal models of depression". Journal of Psychopharmacology. Oxford, England. 14 (1): 46–52. doi:10.1177/026988110001400106. PMID 10757253.
  23. Ravizza, L.; AMILONG investigators (1999). "Amisulpride in medium-term treatment of dysthymia: A six-month, double-blind safety study versus amitriptyline". Journal of Psychopharmacology. Oxford, England. 13 (3): 248–254. doi:10.1177/026988119901300307. PMID 10512080.
  24. Boyer, P.; Lecrubier, Y.; Stalla-Bourdillon, A.; Fleurot, O. (1999). "Amisulpride versus amineptine and placebo for the treatment of dysthymia". Neuropsychobiology. 39 (1): 25–32. doi:10.1159/000026556. PMID 9892856.
  25. Kranke, P; Eberhart, L; Motsch, J; Chassard, D; Wallenborn, J; Diemunsch, P; Liu, N; Keh, D; Bouaziz, H; Bergis, M; Fox, G; Gan, TJ (July 2013). "I.V. APD421 (amisulpride) prevents postoperative nausea and vomiting: a randomized, double-blind, placebo-controlled, multicentre trial". British Journal of Anaesthesia. 111 (6): 938–45. doi:10.1093/bja/aet251. PMID 23872464.
  26. Torta, R; Berra, C; Binaschi, L; Borio, R (July 2008). "Combination therapy with amisulpride and antidepressants: Clinical observations in case series of elderly patients with psychotic depression". Progress in Neuro-Psychopharmacology & Biological Psychiatry. 32 (5): 1227–1230. doi:10.1016/j.pnpbp.2008.03.011. PMID 18442877.
  27. Torta, R; Berra, C; Binaschi, L; Borio, R (May 2007). "Amisulpride in the short-term treatment of depressive and physical symptoms in cancer patients during chemotherapies". Support Care Cancer. 15 (5): 539–546. doi:10.1007/s00520-006-0194-7. PMID 17406919.
  28. Sandoz Limited Summary of Product Characteristics, archived from the original on 2014-08-17, retrieved 2014-08-17
  29. 1 2 Truven Health Analytics, Inc. DRUGDEX® System (Internet) [cited 2013 Sep 19]. Greenwood Village, CO: Thomsen Healthcare; 2013.
  30. 1 2 3 Joint Formulary Committee (2013). British National Formulary (BNF) (65 ed.). London, UK: Pharmaceutical Press. ISBN 978-0-85711-084-8.
  31. 1 2 3 Rossi, S, ed. (2013). Australian Medicines Handbook (2013 ed.). Adelaide: The Australian Medicines Handbook Unit Trust. ISBN 978-0-9805790-9-3.
  32. Brunton, L; Chabner, B; Knollman, B (2010). Goodman and Gilman's The Pharmacological Basis of Therapeutics (12th ed.). New York: McGraw-Hill Professional. ISBN 978-0-07-162442-8.
  33. McKeage, K; Plosker, GL (2004). "Amisulpride: a review of its use in the management of schizophrenia.". CNS Drugs. 18 (13): 933–956. doi:10.2165/00023210-200418130-00007. ISSN 1172-7047. PMID 15521794.
  34. Natesan, S; Reckless, GE; Barlow, KB; Nobrega, JN; Kapur, S (October 2008). "Amisulpride the 'atypical' atypical antipsychotic — Comparison to haloperidol, risperidone and clozapine". Schizophrenia Research. 105 (1-3): 224–235. doi:10.1016/j.schres.2008.07.005. PMID 18710798.
  35. 1 2 3 Taylor, D; Paton, C; Shitij, K (2012). Maudsley Prescribing Guidelines in Psychiatry (11th ed.). West Sussex: Wiley-Blackwell. ISBN 978-0-47-097948-8.
  36. Isbister, GK; Balit, CR; Macleod, D; Duffull, SB (August 2010). "Amisulpride overdose is frequently associated with QT prolongation and torsades de pointes". Journal of Clinical Psychopharmacology. 30 (4): 391–395. doi:10.1097/JCP.0b013e3181e5c14c. PMID 20531221.
  37. Joy, JP; Coulter, CV; Duffull, SB; Isbister, GK (August 2011). "Prediction of Torsade de Pointes From the QT Interval: Analysis of a Case Series of Amisulpride Overdoses". Clinical Pharmacology & Therapeutics. 90 (2): 243–245. doi:10.1038/clpt.2011.107. PMID 21716272.
  38. Levine, M; Ruha, AM (July 2012). "Overdose of atypical antipsychotics: clinical presentation, mechanisms of toxicity and management." (PDF). CNS Drugs. 26 (7): 601–611. doi:10.2165/11631640-000000000-00000. PMID 22668123.
  39. Maitre, M.; Ratomponirina, C.; Gobaille, S.; Hodé, Y.; Hechler, V. (Apr 1994). "Displacement of [3H] gamma-hydroxybutyrate binding by benzamide neuroleptics and prochlorperazine but not by other antipsychotics". European Journal of Pharmacology. 256 (2): 211–214. doi:10.1016/0014-2999(94)90248-8. PMID 7914168.
  40. 1 2 3 4 5 Abbas, AI; Hedlund, PB; Huang, XP; Tran, TB; Meltzer, HY; Roth, BL (2009). "Amisulpride is a potent 5-HT7 antagonist: relevance for antidepressant actions in vivo". Psychopharmacology. 205 (1): 119–128. doi:10.1007/s00213-009-1521-8. PMC 2821721Freely accessible. PMID 19337725.
  41. National Institute of Mental Health. "PDSP Ki Database". University of North Carolina. Archived from the original on 8 November 2013. Retrieved 5 July 2013.
  42. Lecrubier, Y.; et al. (2001). "Consensus on the Practical Use of Amisulpride, an Atypical Antipsychotic, in the Treatment of Schizophrenia". Neuropsychobiology. 44 (1): 41–46. doi:10.1159/000054913. PMID 11408792.
  43. Kaplan, A. (2004). "Psychotropic Medications Around the World". Psychiatric Times. 21 (5).
This article is issued from Wikipedia - version of the 12/4/2016. The text is available under the Creative Commons Attribution/Share Alike but additional terms may apply for the media files.