Trimethobenzamide

Trimethobenzamide
Clinical data
Trade names Tigan, Tebamide
AHFS/Drugs.com Monograph
MedlinePlus a682693
Pregnancy
category
  • US: C (Risk not ruled out)
Routes of
administration
Oral, rectal, intramuscular
ATC code R06AA10 (WHO)
Legal status
Legal status
Pharmacokinetic data
Bioavailability 60-100%
Biological half-life 7 to 9 hours (mean)
Excretion urine (30-50%), faeces
Identifiers
CAS Number 138-56-7 YesY
PubChem (CID) 5577
IUPHAR/BPS 7614
DrugBank DB00662 YesY
ChemSpider 5375 YesY
UNII W2X096QY97 YesY
ChEBI CHEBI:27796 YesY
ChEMBL CHEMBL1201256 N
ECHA InfoCard 100.004.848
Chemical and physical data
Formula C21H28N2O5
Molar mass 388.458 g/mol
3D model (Jmol) Interactive image
 NYesY (what is this?)  (verify)

Trimethobenzamide (trade names Tebamide, Tigan) is an antiemetic used to prevent nausea and vomiting. It is often prescribed for patients with gastroenteritis, medication-induced nausea, and other illnesses. Trimethobenzamide is generally considered the most potent antiemetic that does not have effects on the serotonergic, dopaminergic, or histaminergic systems, so it has a lower likelihood of causing undesired side effects. In the United States, it requires a prescription.

Mechanism of action

Trimethobenzamide is an antagonist of the D2 receptor.[1] It is believed to affect the chemoreceptor trigger zone (CTZ) of the medulla oblongata to suppress nausea and vomiting.

Side effects

Possible side effects include drowsiness, dizziness, headache, diarrhea, muscle cramps, and blurred vision. More serious adverse effects include skin rash, tremors, parkinsonism, and jaundice.

Formulations

Trimethobenzamide is marketed under the brand names Tebamide and Tigan, manufactured by GlaxoSmithKline and King Pharmaceuticals, respectively. It is available as oral capsules and injectable formulations.

Trimethobenzamide was also available as a rectal suppository, but such formulations were banned by the U.S. Food and Drug Administration on April 6, 2007 due to unproven efficacy.[2]

Synthesis

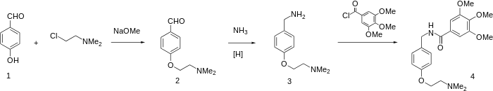
Trimethobenzamide synthesis: Hoffmann La Roche, U.S. Patent 2,879,293 (1959).

Alkylation of the sodium salt of p-hydroxybenzaldehyde (1) with 2-dimethylaminoethyl chloride affords the ether (2). Reductive amination of the aldehyde in the presence of ammonia gives diamine (3). Acylation of that product with 3,4,5-trimethoxybenzoyl chloride affords trimethobenzamide (4).

See also

References

  1. Smith HS, Cox LR, Smith BR (2012). "Dopamine receptor antagonists". Ann Palliat Med. 1 (2): 137–42. doi:10.3978/j.issn.2224-5820.2012.07.09. PMID 25841474.
  2. Waknine, Yael (April 6, 2007). "FDA Bans Suppositories With Trimethobenzamide". Medscape. Retrieved 2007-04-06.


This article is issued from Wikipedia - version of the 9/7/2016. The text is available under the Creative Commons Attribution/Share Alike but additional terms may apply for the media files.