Sulpiride

Sulpiride
Clinical data
Trade names Eglonyl, Dolmatil, Sulpor
AHFS/Drugs.com International Drug Names
Routes of
administration
Oral (tablets, capsules, oral solution), IM
ATC code N05AL01 (WHO)
Legal status
Legal status
  • UK: POM (Prescription only)
  • ℞ (Prescription only)
Pharmacokinetic data
Bioavailability 25–40%[1][2]
Protein binding <40%[1]
Metabolism Not metabolised[3]
Biological half-life 6-8 hours[1]
Excretion Renal (70–90%),[2] Fecal (~95% as the unchanged drug)[1]
Identifiers
CAS Number 15676-16-1 YesY
PubChem (CID) 5355
IUPHAR/BPS 5501
DrugBank DB00391 YesY
ChemSpider 5162 YesY
UNII 7MNE9M8287 YesY
KEGG D01226 YesY
ChEMBL CHEMBL26 YesY
ECHA InfoCard 100.036.124
Chemical and physical data
Formula C15H23N3O4S
Molar mass 341.427 g/mol
3D model (Jmol) Interactive image
  (verify)

Sulpiride (brand names Dogmatil (HK, SG, PH), Dolmatil (IE, UK), Eglonyl (RU, ZA), Espiride (ZA), Modal (IL), Prometar (UY), Sulpor (UK) and others) is an atypical antipsychotic drug (although some texts have referred to it as a typical antipsychotic[4]) of the benzamide class used mainly in the treatment of psychosis associated with schizophrenia and major depressive disorder, and sometimes used in low dosage to treat anxiety and mild depression. Sulpiride is commonly used in Europe, Russia and Japan. Levosulpiride is its purified levo-isomer and is sold in India for similar purpose. So far it has not been approved in the United States, Canada and Australia. The drug is chemically and clinically similar to amisulpride.

Medical uses

Sulpiride's primary use in medicine is in the management of the symptoms of schizophrenia.[1] It has been used as both a monotherapy and adjunctive therapy (in case of treatment-resistance) in schizophrenia.[1][5][6][7][8][9] It has also been used in the treatment of dysthymia.[10] Augmentation with sulpiride has also been tried as a strategy for accelerating antidepressant response in patients with major depressive disorder.[11] There is also evidence of its efficacy in treating panic disorder.[12][13]

Pregnancy and lactation

Adverse effects

Sulpiride is usually well-tolerated, producing few adverse effects. Their incidences are as follows:[1][5][14][15][16][17][18][19][20]

Common (>1%) adverse effects
- Tremor
- Dystonia
- Akathisia — a sense of inner restlessness that presents itself with the inability to stay still
- Parkinsonism
- Dry mouth
- Constipation
- Blurred vision
Rare (<1% incidence) adverse effects
- Agranulocytosis — a significant drop in white blood cell count, leaving individuals wide open to life-threatening opportunistic infections
- Neutropenia
- Leucopenia
- Leukocytosis[21]
Unknown incidence adverse effects include

Contraindications and cautions

Contraindications[1]

Cautions[1]

Overdose

Sulpiride has a relatively low order of acute toxicity. Substantial amounts may cause severe but reversible dystonic crises with torticollis, protrusion of the tongue, and/or trismus. In some cases all the classical symptoms typical of severe Parkinson's disease may be noted; in others, over-sedation/coma may occur. The treatment is largely symptomatic. Some or all extrapyramidal reactions may respond to the application of anticholinergic drugs such as biperiden or benzatropine. All patients should be closely monitored for signs of long QT syndrome and severe arrhythmias.

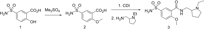
Synthesis

Sulpiride synthesis: E.L. Engelhardt, Ch.S. Miller, DE 1595915  (1965) E.L. Engelhardt, Ch.S. Miller, DE 1795723  (1965) E.L. Engelhardt, M.L. Thominet, U.S. Patent 3,342,826 (1969) G. Bulteau, J. Acher, U.S. Patent 4,077,976 (1978) F. Mauri, DE 2903891  (1979).

Sulpiride can be synthesized from 5-aminosulfosalicylic acid. Methylating this with dimethylsulfate gives 2-methoxy-5-aminosulfonylbenzoic acid, which is transformed into an amide using 2-aminomethyl-1-ethylpyrrolidine as the amine component and carbonyldiimidazole (CDI) as a condensing agent.

Pharmacology

Sulpiride is a selective antagonist at dopamine D2 and D3 receptors. This action dominates in doses exceeding 600 mg daily. In doses of 600 to 1,600 mg sulpiride shows mild sedating and antipsychotic activity. Its antipsychotic potency compared to chlorpromazine is only 0.2 (1/5). In low doses (in particular 50 to 200 mg daily) its prominent feature is antagonism of presynaptic inhibitory dopamine receptors accounting for some antidepressant activity and a stimulating effect. Therefore, it is in these doses used as a second line antidepressant. Additionally, it alleviates vertigo.

The benzamide neuroleptics (including sulpiride, amisulpride, and sultopride) have been shown to activate the endogenous gamma-hydroxybutyrate receptor in vivo at therapeutic concentrations.[24] Sulpiride was found in one study in rats to upregulate GHB receptors.[25] GHB has neuroleptic properties and it is believed binding to this receptor may contribute to the effects of these neuroleptics.

Sulpiride, along with clozapine, has been found to activate DNA demethylation in the brain.[26]

Protein Binding affinity (Ki [nM]) towards cloned human receptors[27]
5-HT1A >10000
D1 >10000
D2 9.8
D3 8.05
D4 54
V3 >10000

History

Sulpiride discovered as a result of a research program by Justin-Besançon and C. Laville at Laboratoires Delagrange who were working to improve the anti-dysrhythmic properties of procainamide; the program led first to metoclopramide and later to sulpiride.[28][29] Laboratoires Delagrange was acquired by Synthelabo in 1991[30][31] which eventually became part of Sanofi.[32]

See also

References

  1. 1 2 3 4 5 6 7 8 9 10 11 "Sulpiride Tablets 200mg, 400mg (SPC)". electronic Medicines Compendium (eMC). Sanofi. 21 January 2010. Retrieved 19 October 2013.
  2. 1 2 Bressolle, F; Brès, J; Fauré-Jeantis, A (January 1992). "Absolute bioavailability, rate of absorption, and dose proportionality of sulpiride in humans". Journal of Pharmaceutical Sciences. 81 (1): 26–32. doi:10.1002/jps.2600810106. PMID 1619566.
  3. Imondi, AR; Alam, AS; Brennan, JJ; Hagerman, LM (March 1979). "Metabolism of sulpiride in man and Rhesus monkey". Archives Internationales de Pharmacodynamie et de Thérapie. 232 (1): 79–91. PMID 96745.
  4. Joint Formulary Committee (2013). British National Formulary (BNF) (65 ed.). London, UK: Pharmaceutical Press. ISBN 978-0-85711-084-8.
  5. 1 2 Taylor, D; Paton, C; Shitij, K (2012). The Maudsley prescribing guidelines in psychiatry. West Sussex: Wiley-Blackwell. ISBN 978-0-470-97948-8.
  6. Wang, J; Omori, IM; Fenton, M; Soares, B (January 2010). "Sulpiride augmentation for schizophrenia". The Cochrane Database of Systematic Reviews (1): CD008125. doi:10.1002/14651858.CD008125.pub2. PMID 20091661.
  7. Chia-Cheng Lai, E; Chang, CH; Yang, YHK; Lin, SJ; Lin, CY (2013). "Effectiveness of Sulpiride in Adult Patients With Schizophrenia". Schizophrenia Bulletin. 39 (3): 673–683. doi:10.1093/schbul/sbs002.
  8. Soares, BG; Fenton, M; Chue, P (2000). "Sulpiride for schizophrenia". The Cochrane Database of Systematic Reviews (2): CD001162. doi:10.1002/14651858.CD001162. PMID 10796605.
  9. Omori, IM; Wang, J; Soares, B; Fenton, M (October 2009). "Sulpiride versus other antipsychotics for schizophrenia (Protocol)". The Cochrane Database of Systematic Reviews (4): CD008126. doi:10.1002/14651858.CD008126.
  10. Pani, L; Gessa, GL (2002). "The substituted benzamides and their clinical potential on dysthymia and on the negative symptoms of schizophrenia" (PDF). Molecular Psychiatry. 7 (3): 247–253. doi:10.1038/sj.mp.4001040. PMID 11920152.
  11. Uchida, H; Takeuchi, H; Suzuki, T; Nomura, K; Watanabe, K; Kashima, H (December 2005). "Combined treatment with sulpiride and paroxetine for accelerated response in patients with major depressive disorder". Journal of Clinical Psychopharmacology. 25 (6): 545–551. doi:10.1097/01.jcp.0000185425.00644.41. PMID 16282835.
  12. Bell, C; Bhikha, S; Colhoun, H; Carter, F; Frampton, C; Porter, R (February 2013). "The response to sulpiride in social anxiety disorder: D2 receptor function". Journal of Psychopharmacology. 27 (2): 146–151. doi:10.1177/0269881112450778. PMID 22745189.
  13. Nunes, EA; Freire, RC; Dos Reis, M; de Oliveira, E; Silva, AC; Machado, S; Crippa, JA; Dursun, SM; Baker, GB; Hallak, JE; Nardi, AE (September 2012). "Sulpiride and refractory panic disorder". Psychopharmacology. 223 (2): 247–249. doi:10.1007/s00213-012-2818-6. PMID 22864966.
  14. Lepola, U; Koskinen, T; Rimón, R; Salo, H; Gordin, A (July 1989). "Sulpiride and perphenazine in schizophrenia. A double-blind clinical trial". Acta Psychiatrica Scandinavica. 80 (1): 92–96. doi:10.1111/j.1600-0447.1989.tb01305.x. PMID 2669445.
  15. Munk-Andersen, E; Behnke, K; Heltberg, J; Nielsen, H; Gerlach, J (1984). "Sulpiride versus haloperidol, a clinical trial in schizophrenia. A preliminary report". Acta Psychiatrica Scandinavica Supplementum. 311: 31–41. PMID 6367362.
  16. Gerlach, J; Behnke, K; Heltberg, J; Munk-Anderson, E; Nielsen, H (Sep 1985). "Sulpiride and haloperidol in schizophrenia: a double-blind cross-over study of therapeutic effect, side effects and plasma concentrations". British Journal of Psychiatry. 147: 283–288. doi:10.1192/bjp.147.3.283. PMID 3904885.
  17. Standish-Barry, HM; Bouras, N; Bridges, PK; Watson, JP (1983). "A randomized double blind group comparative study of sulpiride and amitriptyline in affective disorder". Psychopharmacology. 81 (3): 258–260. doi:10.1007/bf00427274. PMID 6417717.
  18. Quinn, N; Marsden, CD (August 1984). "A double blind trial of sulpiride in Huntington's disease and tardive dyskinesia" (PDF). Journal of Neurology, Neurosurgery and Psychiatry. 47 (8): 844–847. doi:10.1136/jnnp.47.8.844. PMC 1027949Freely accessible. PMID 6236286.
  19. Peselow, ED; Stanley, M (1982). "Clinical trials of benzamides in psychiatry". Advances in Biochemical Psychopharmacology. 35: 163–194. PMID 6756060.
  20. Edwards, JG; Alexander, JR; Alexander, MS; Gordon, A; Zutchi, T (December 1980). "Controlled trial of sulpiride in chronic schizophrenic patients". The British Journal of Psychiatry. 137: 522–529. doi:10.1192/bjp.137.6.522. PMID 7011469.
  21. Levkovitz, H; Abramovitch, Y; Nitzan, I (June 1994). "Leukocytosis related to the therapeutic dosage of sulpiride". Biological Psychiatry. 35 (12): 963. doi:10.1016/0006-3223(94)91244-0. PMID 8080896.
  22. Melzer, E; Knobel, B (December 1987). "Severe cholestatic jaundice due to sulpiride". Israel Journal of Medical Sciences. 23 (12): 1259–1260. PMID 3326861.
  23. Ohmoto, K; Yamamoto, S; Hirokawa, M (December 1999). "Symptomatic primary biliary cirrhosis triggered by administration of sulpiride". The American Journal of Gastroenterology. 94 (12): 3660–3661. doi:10.1111/j.1572-0241.1999.01634.x. PMID 10606349.
  24. Maitre M, Ratomponirina C, Gobaille S, Hodé Y, Hechler V (Apr 1994). "Displacement of [3H] gamma-hydroxybutyrate binding by benzamide neuroleptics and prochlorperazine but not by other antipsychotics". Eur J Pharmacol. 256 (2): 211–4. doi:10.1016/0014-2999(94)90248-8. PMID 7914168.
  25. Ratomponirina C, Gobaille S, Hodé Y, Kemmel V, Maitre M (Apr 1998). "Sulpiride, but not haloperidol, up-regulates gamma-hydroxybutyrate receptors in vivo and in cultured cells". Eur J Pharmacol. 346 (2–3): 331–7. doi:10.1016/S0014-2999(98)00068-5. PMID 9652377.
  26. Dong, E; Nelson, M; Grayson, DR; Costa, E; Guidotti, A (August 2008). "Clozapine and sulpiride but not haloperidol or olanzapine activate brain DNA demethylation" (PDF). Proceedings of the National Academy of Sciences of the United States of America. 105 (36): 13614–13619. doi:10.1073/pnas.0805493105. PMC 2533238Freely accessible. PMID 18757738.
  27. Roth, BL; Driscol, J (12 January 2011). "PDSP Ki Database". Psychoactive Drug Screening Program (PDSP). University of North Carolina at Chapel Hill and the United States National Institute of Mental Health. Retrieved 19 October 2013.
  28. Walter Sneader (31 October 2005). Drug Discovery: A History. John Wiley & Sons. pp. 205–. ISBN 978-0-470-01552-0.
  29. Sanger GJ Translating 5-HT receptor pharmacology. Neurogastroenterol Motil. 2009 Dec;21(12):1235-8. PMID 19906028 Free full text
  30. Denis Conard for Les Echos. Oct 17, 1991 Synthélabo rachète les laboratoires Delagrange
  31. Bibliothèque nationale de France Laboratoires Delagrange Page accessed Aug 24, 2016
  32. Tom Meek for PMLiVE May 24, 2013 A look back at Sanofi's merger with Synthélabo
This article is issued from Wikipedia - version of the 11/19/2016. The text is available under the Creative Commons Attribution/Share Alike but additional terms may apply for the media files.