CAR-226,086
![]() | |
| Identifiers | |
|---|---|
| |
| CAS Number |
64471-85-8 |
| PubChem (CID) | 3049107 |
| ChemSpider |
2311303 |
| Chemical and physical data | |
| Formula | C21H29NO3 |
| Molar mass | 343.459 g/mol |
| 3D model (Jmol) | Interactive image |
| |
| |
| | |
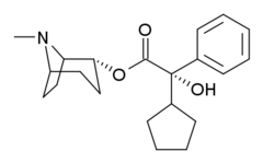
CAR-226,086 (L-2α-Tropinyl L-cyclopentylphenylglycolate) is a potent anticholinergic deliriant drug with a fairly long duration of action, related to the chemical warfare agent 3-Quinuclidinyl benzilate (QNB). It was developed under contract to Edgewood Arsenal during the 1960s as part of the US military chemical weapons program, during research to improve upon the properties of earlier agents such as QNB.
CAR-226,086 was relatively poorly researched compared to other compounds in the series, but notably was found to have the highest central to peripheral effects ratio out of all compounds tested, even higher than that of other CNS-selective agents such as EA-3443.[1][2]
See also
- EA-3167
- N-methyl-3-piperidyl benzilate
- N-ethyl-3-piperidyl benzilate
- 3-Quinuclidinyl benzilate
- Ditran
References
- ↑ Possible Long-Term Health Effects of Short-Term Exposure to Chemical Agents, Volume 1 (1982). Commission on Life Sciences. The National Academies Press. pp196-199.
- ↑ Ketchum JS. Chemical Warfare Secrets Almost Forgotton. A Personal Story of Medical Testing of Army Volunteers with Incapacitating Chemical Agents During the Cold War. ChemBooks Inc 2006. ISBN 978-1-4243-0080-8
| |||||||||||||||||
| |||||||||||||||||
| |||||||||||||||||
| |||||||||||||||||
| |||||||||||||||||
This article is issued from Wikipedia - version of the 4/2/2016. The text is available under the Creative Commons Attribution/Share Alike but additional terms may apply for the media files.
