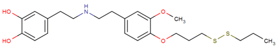
FAUC50

FAUC50 derived covalent binding dopamine based dopamine agonist.
cf. oxidopamine
FAUC50 is a template molecular skeletal super-structure that can have different joined native-head groups added to its chemical composition to make various biogenic amines, catecholamines and neurotransmitters of those aforementioned categories into covalent binding ligands.[1]
References
- ↑ Weichert, D.; Kruse, A. C.; Manglik, A.; Hiller, C.; Zhang, C.; Hubner, H.; Kobilka, B. K.; Gmeiner, P. (2014). "Covalent agonists for studying G protein-coupled receptor activation". Proceedings of the National Academy of Sciences. 111 (29): 10744–10748. doi:10.1073/pnas.1410415111. ISSN 0027-8424. Full article.
|
|---|
|
| α1 | | |
- Antagonists
- Abanoquil
- Adimolol
- Ajmalicine
- Alfuzosin
- Amosulalol
- Anisodamine
- Arotinolol
- Atiprosin
- Atypical antipsychotics (e.g., clozapine, olanzapine, quetiapine, risperidone)
- Benoxathian
- Buflomedil
- Bunazosin
- Carvedilol
- Corynanthine
- Dapiprazole
- Domesticine
- Doxazosin
- Ergolines (e.g., ergotamine, dihydroergotamine, lisuride, terguride)
- Etoperidone
- Eugenodilol
- Fenspiride
- Hydroxyzine
- Indoramin
- Ketanserin
- L-765,314
- Labetalol
- mCPP
- Mepiprazole
- Metazosin
- Monatepil
- Moxisylyte
- Naftopidil
- Nantenine
- Nefazodone
- Neldazosin
- Niaprazine
- Nicergoline
- Niguldipine
- Pardoprunox
- Pelanserin
- Phendioxan
- Phenoxybenzamine
- Phentolamine
- Piperoxan
- Prazosin
- Quinazosin
- Ritanserin
- Silodosin
- Spiperone
- Talipexole
- Tamsulosin
- Terazosin
- Tiodazosin
- Tolazoline
- Trazodone
- Tetracyclic antidepressants (e.g., amoxapine, maprotiline, mianserin)
- Tricyclic antidepressants (e.g., amitriptyline, clomipramine, doxepin, imipramine, trimipramine)
- Trimazosin
- Typical antipsychotics (e.g., chlorpromazine, fluphenazine, loxapine, thioridazine)
- Urapidil
- WB-4101
- Zolertine
|
|
|---|
|
| α2 | | |
- Antagonists
- 1-PP
- Adimolol
- Aptazapine
- Atipamezole
- Atypical antipsychotics (e.g., asenapine, clozapine, lurasidone, paliperidone, quetiapine, risperidone, zotepine)
- Azapirones (e.g., buspirone, tandospirone)
- BRL-44408
- Buflomedil
- Cirazoline
- Efaroxan
- Esmirtazapine
- Fenmetozole
- Fluparoxan
- Idazoxan
- mCPP
- Mianserin
- Mirtazapine
- NAN-190
- Olanzapine
- Pardoprunox
- Phentolamine
- Phenoxybenzamine
- Piperoxan
- Piribedil
- Rauwolscine
- Rotigotine
- SB-269970
- Setiptiline
- Spiroxatrine
- Sunepitron
- Tolazoline
- Typical antipsychotics (e.g., chlorpromazine, fluphenazine, loxapine, thioridazine)
- Yohimbine
|
|
|---|
|
| β | |
|---|
|
- See also: Dopaminergics
- Melatonergics
- Serotonergics
- Monoamine reuptake and release modulators
- Monoamine metabolism modulators
- Monoamine neurotoxins
|
|
|---|
|
| D1-like | |
|---|
|
| D2-like | |
|---|
|
- See also: Adrenergics
- Melatonergics
- Serotonergics
- Monoamine reuptake and release modulators
- Monoamine metabolism modulators
- Monoamine neurotoxins
|
|
|---|
|
| Types | |
|---|
|
| Classes | | see Enzyme inhibition |
|---|
| | |
|---|
| | |
|---|
| Miscellaneous | |
|---|
|
|---|