Tazarotene
![]() | |
![]() | |
| Clinical data | |
|---|---|
| Trade names | Tazorac |
| AHFS/Drugs.com | Monograph |
| Pregnancy category |
|
| Routes of administration | Topical |
| ATC code | D05AX05 (WHO) |
| Legal status | |
| Legal status |
|
| Pharmacokinetic data | |
| Protein binding | >99% |
| Biological half-life | 19 Hours |
| Identifiers | |
| |
| CAS Number |
118292-40-3 |
| PubChem (CID) | 5381 |
| IUPHAR/BPS | 6952 |
| DrugBank |
DB00799 |
| ChemSpider |
5188 |
| UNII |
81BDR9Y8PS |
| KEGG |
D01132 |
| ChEBI |
CHEBI:32184 |
| ChEMBL |
CHEMBL1657 |
| Chemical and physical data | |
| Formula | C21H21NO2S |
| Molar mass | 351.463 g/mol |
| 3D model (Jmol) | Interactive image |
| |
| |
| (verify) | |
Tazarotene (marketed as Tazorac, Avage, Zorac, and Fabior) is a third-generation prescription topical retinoid sold as a cream, gel, or foam. Tazarotene is a member of the acetylenic class of retinoids. This medication is approved for treatment of psoriasis, acne, and sun damaged skin (photodamage). It is commonly sold in two concentrations: 0.05% and 0.1%.
Mechanism of action
Tazarotene is a retinoid prodrug which is converted to its active form, the cognate carboxylic acid of tazarotene, by rapid deesterification in animals and humans. Tazarotenic acid binds to all three members of the retinoic acid receptor (RAR) family: RARα, RARβ, and RARγ but shows relative selectivity for RARβ, and RARγ and may modify gene expression. The clinical significance of these findings is unknown.
Side effects
Common side effects include worsening of acne, increased sensitivity to sunlight, dry skin, itchiness, redness and in some cases extreme drying and cracking of skin. For most patients these side effects are uncomfortable but mild and decrease markedly after the first 2–4 weeks of use except for increased sensitivity to sunlight.
For best results dermatologists recommend applying the cream or gel once daily before bedtime after washing the face with a mild cleanser. Dermatologists recommend using a moisturizer so that skin will not be as dry and flaky.
Uses
Tazarotene is rated pregnancy category X, and should not be used by pregnant women.
"There is limited evidence that tazarotene and isotretinoin benefit patients with moderate photodamage on the face: both are associated with skin irritation and erythema." [1]
In addition to tretinoin, which has been associated with greater skin improvements with high concentrations, tazarotene and isotretinoin creams are also found to be effective for photodamage, but at the expense of skin irritation. More evidence is needed before any recommendations can be made on oral or topical polysaccharides or hydroxy acids. Evidence from one trial suggests that the effectiveness of 0.05% tretinoin, is equivalent to the effects of 0.05% and 0.1% tazarotene.[1] However, for acne vulgaris, several recent double blind studies have shown consistently superior efficacy for tazarotene and roughly equal tolerability for both treatments.[2]
"Specifically, tazarotene reduced the number of noninflammatory and inflammatory lesions at 4, 8, and 12 weeks -- all timepoints examined during treatment. Although the reduction of inflammatory lesions compared with tretinoin did not achieve statistical significance, the reduction of open comedones at 12 weeks was 65% for tazarotene vs 44% for tretinoin (P = .034). Tazarotene also proved superior in the reduction of noninflammatory lesions at 12 weeks (55% vs 42% for tretinoin, P = .042)." [2]
Synthesis
Acetylenic retinoid prodrug converted to the active metabolite, tazarotenic acid, with selective affinity for retinoic acid receptors RARβ and RARγ.

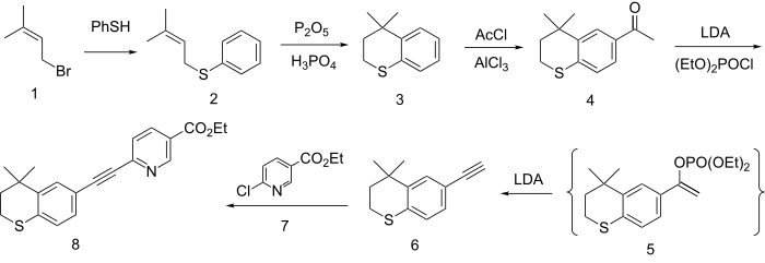
The formation of the ring system involves first alkylation of the anion from thiophenol with dimethylallyl bromide (1) to give the thioether (2). Friedel-Crafts cyclization of the olefin with the equivalent of PPA then gives the thiopyran (3). Acylation with acetyl chloride in the presence of aluminium chloride gives the methyl ketone (4). Reaction of the enolate of that ketone with diethyl chlorophosphate gives the enol phosphate 5 as a transient intermediate. This eliminates diethyl phosphite in the presence of excess base to give the corresponding acetylene 6. The anion from the reaction of the acetylene with base is then used to displace chlorine from Ethyl 6-chloronicotinate (7). This reaction affords the coupling product tazarotene (8).
Notes
- 1 2 Samuel M, Brooke RC, Hollis S, Griffiths CE (2005). Samuel, Miny, ed. "Interventions for photodamaged skin". Cochrane Database Syst Rev (1): CD001782. doi:10.1002/14651858.CD001782.pub2. PMID 15674885.
- 1 2 http://www.medscape.org/viewarticle/459255_4(subscriptionrequired)[]
- ↑ Prepn: R. A. S. Chandraratna, EP 284288; idem, U.S. Patent 5,089,509 (1988, 1992 both to Allergan).

