Nilvadipine
![]() | |
| Clinical data | |
|---|---|
| AHFS/Drugs.com | International Drug Names |
| ATC code | C08CA10 (WHO) |
| Identifiers | |
| |
| PubChem (CID) | 4494 |
| DrugBank |
DB06712 |
| ChemSpider |
4338 |
| UNII |
0214FUT37J |
| KEGG |
D01908 |
| ChEMBL |
CHEMBL517427 |
| ECHA InfoCard | 100.232.871 |
| Chemical and physical data | |
| Formula | C19H19N3O6 |
| Molar mass | 385.370 g/mol |
| 3D model (Jmol) | Interactive image |
| |
| |
| | |
Nilvadipine is a calcium channel blocker (CCB) used for the treatment of hypertension and chronic major cerebral artery occlusion.
Pathohistochemical studies have revealed that the volume of the infarction in the middle cerebral artery occlusion model could be decreased by nilvadipine.
Nilvadipine was tested in clinical trial as a possible treatment for Alzheimer's Disease in Ireland by the Roskamp Institute, Florida, USA and Trinity College, Ireland.[1]
Following this study, an international research consortium led by Trinity College Dublin (Ireland) in May 2011 announced the selection for funding of a large-scale European clinical trial of nilvadipine. More than 500 Alzheimer’s patients will participate in the multicenter phase III clinical trial designed to study the effectiveness of nilvadipine.[2]
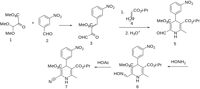
Synthesis

The product from the condensation of meta-nitrobenzaldehyde with dimethyl acetal from methyl 4-formylacetoacetate (1) provides the starting material for a dihydropyridine in which one of the methyl groups is replaced with by a nitrile. Rxn of 3 with the enamine from isopropyl acetoacetate (4) affords the corresponding dihydropyridine; hydrolysis of the ketal with aqueous acid affords the aldehyde (5). That function is then converted to the oxime (6) by reaction with hydroxylamine. Treatment of this intermediate with hot acetic acid causes the oxime to dehydrate to a nitrile. There is thus obtained nilvadipine (5).
Notes
- See for Flordipine.
