Oxatomide

Oxatomide
Clinical data
Trade names Tinset, Cedlips, Atoxan
AHFS/Drugs.com International Drug Names
Routes of
administration
Oral
ATC code R06AE06 (WHO)
Legal status
Legal status
  • ℞ (Prescription only)
Identifiers
CAS Number 60607-34-3 N
PubChem (CID) 4615
ChemSpider 4454 YesY
UNII J31IL9Z2EE YesY
KEGG D01773 YesY
ChEMBL CHEMBL13828 YesY
ECHA InfoCard 100.056.637
Chemical and physical data
Formula C27H30N4O
Molar mass 426.553 g/mol
3D model (Jmol) Interactive image
 NYesY (what is this?)  (verify)

Oxatomide (R35443) is a first-generation antihistamine of the diphenylmethylpiperazine (benzhydrylpiperazine) class.[1] It was discovered at Janssen Pharmaceutica in 1975. Oxatomide lacks any anticholinergic effects.[1] In addition to its H1 receptor antagonism, it also possesses antiserotonergic actions.[1]

Synthesis

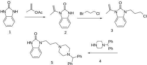
Oxatomide synthesis:[2]

Reaction of 2-Benzimidazolinone with isopropenyl acetate leads to the singly protected imidazolone derivative (2). Alkylation of this with 3-chloro-1-bromopropane affords the functionalized derivative (3). Alkylation of the monobenzhydryl derivative of piperazine (4) with 3 gives oxatomide (5), after hydrolytic removal of the protecting group.

See also

References

  1. 1 2 3 Ohmori K, Ishii H, Nito M, Shuto K, Nakamizo N (May 1983). "[Pharmacological studies on oxatomide (KW-4354). (7) Antagonistic effects on chemical mediators]". Nippon Yakurigaku Zasshi. Folia Pharmacologica Japonica (in Japanese). 81 (5): 399–409. doi:10.1254/fpj.81.399. PMID 6138301.
  2. J. Vandenberk et al., DE 2714437; eidem, U.S. Patent 4,250,176 (1977, 1981 both to Janssen).


This article is issued from Wikipedia - version of the 6/4/2016. The text is available under the Creative Commons Attribution/Share Alike but additional terms may apply for the media files.