Picrotoxin
Picrotoxin|
|
|
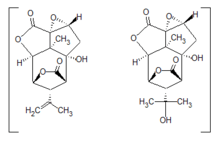
Picrotoxinin (left) and picrotin (right) |
| Clinical data |
|---|
| ATC code |
none |
|---|
| Identifiers |
|---|
| CAS Number |
124-87-8 Y |
|---|
| PubChem (CID) |
5360688 |
|---|
| IUPHAR/BPS |
4051 |
|---|
| DrugBank |
DB00466 Y |
|---|
| ChemSpider |
16736444 Y |
|---|
| UNII |
ZLT174DL7U Y |
|---|
| KEGG |
C09529 N |
|---|
| ChEMBL |
CHEMBL506977 Y |
|---|
| ECHA InfoCard |
100.004.288 |
|---|
| Chemical and physical data |
|---|
| 3D model (Jmol) |
Interactive image |
|---|
CC(=C)[C@H]1[C@@H]2C(=O)O[C@H]1[C@H]3OC(=O)[C@@]54O[C@@H]5C[C@]2(O)[C@@]34C.CC(C)(O)[C@H]5[C@@H]1C(=O)O[C@H]5[C@H]2OC(=O)[C@@]43O[C@@H]4C[C@]1(O)[C@@]23C
|
InChI=1S/C15H18O7.C15H16O6/c1-12(2,18)6-7-10(16)20-8(6)9-13(3)14(7,19)4-5-15(13,22-5)11(17)21-9;1-5(2)7-8-11(16)19-9(7)10-13(3)14(8,18)4-6-15(13,21-6)12(17)20-10/h5-9,18-19H,4H2,1-3H3;6-10,18H,1,4H2,2-3H3/t5-,6+,7-,8-,9-,13-,14-,15+;6-,7+,8-,9-,10-,13-,14-,15+/m11/s1 YKey:VJKUPQSHOVKBCO-AHMKVGDJSA-N Y
|
N Y (what is this?) (verify) |
|---|
Picrotoxin, also known as cocculin, is a poisonous crystalline plant compound, first isolated by the French pharmacist and chemist Pierre François Guillaume Boullay (1777–1869) in 1812.[1] The name "picrotoxin" is a combination of the Greek words "picros" (bitter) and "toxicon" (poison).[2]
Found primarily in the fruit of the climbing plant Anamirta cocculus, it has a strong physiological action. It acts as a non-competitive channel blocker for the GABAA receptor chloride channels.[3] It is therefore a channel blocker rather than a receptor antagonist.
On the other hand, evidence exists that picrotoxin acts as a competitive antagonist, and not as a channel blocker. For example, Newland and Cull-Candy (1992) found that when recording GABA-activated currents in neurons, picrotoxin "did not alter the amplitude of the main conductance state. However, picrotoxin did reduce the frequency of channel openings." They concluded, "Our data are consistent with a mechanism whereby picrotoxin binds preferentially to an agonist bound form of the receptor and stabilizes an agonist-bound shut state. This could, for example, mean that picrotoxin enhances the occurrence of a desensitized state or an allosterically blocked state." [4]
As GABA itself is an inhibitory neurotransmitter, infusion of picrotoxin has stimulant and convulsant effects. As such, picrotoxin can be used to counter barbiturate poisoning, that can occur during general anesthesia or during a large intake outside of the hospital.[5]
Chemical structure
Picrotoxin is an equimolar mixture of two compounds, picrotoxinin (C15H16O6; CAS# 17617-45-7) and picrotin (C15H18O7; CAS# 21416-53-5).[6]
Other uses
Picrotoxin is classified as an illegal performance-enhancing "Class 1 substance" by the American Quarter Horse Association.
References
- ↑ Boullay, P. F. G. (1812). "Analyse chimique de la Coque du Levant, Menispermum cocculus". Bulletin de Pharmacie (in French). 4: 5–34. (Note: "Menispermum cocculus" has been renamed "Anamirta cocculus".)
- ↑ (Boullay, 1812), p. 31.
- ↑ Rho, J. M.; Donevan, S. D.; Rogawski, M. A. (1996). "Direct activation of GABA-A receptors by barbiturates in cultured rat hippocampal neurons". Journal of Physiology. 497 (2): 509–522. doi:10.1113/jphysiol.1996.sp021784. PMC 1161000
. PMID 8961191. - ↑ Newland, C. F.; Cull-Candy, S. G. (1992). "On the mechanism of action of picrotoxin on GABA receptor channels in dissociated sympathetic neurones of the rat". Journal of Physiology. 447 (1): 191–213. doi:10.1113/jphysiol.1992.sp018998. PMC 1176032
. PMID 1317428. - ↑ Nilsson, E.; Eyrich, B. (1950). "On Treatment of Barbiturate Poisoning". Acta Medica Scandinavica. 137 (6): 381–389. doi:10.1111/j.0954-6820.1950.tb12129.x. PMID 15432128.
- ↑ "Picrotoxin". Catalog. Sigma Aldrich.
External links
- Ehrenberger, K.; Benkoe, E.; Felix, D. (1982). "Suppressive Action of Picrotoxin, a GABA Antagonist, on Labyrinthine Spontaneous Nystagmus and Vertigo in Man". Acta Oto-Laryngologica. 93 (3–4): 269–273. doi:10.3109/00016488209130882. PMID 7064710.
- Dupont, L.; Dideberg, O.; Lamotte-Brasseur, J.; Angenot, L. (1976). "Structure cristalline et moléculaire de la picrotoxine, C15H16O6·C15H18O7". Acta Crystallographica B (in French). 32 (11): 2987–2993. doi:10.1107/S0567740876009424.
- Olsen, R. W.; DeLorey, T. M. (1999). "GABA Receptor Physiology and Pharmacology". In Siegel G. J.; Agranoff, B. W.; Albers, R. W.; et al. Basic Neurochemistry: Molecular, Cellular and Medical Aspects (6th ed.). Philadelphia, PA, USA: Lippincott-Raven.
|
|---|
|
Receptor (ligands) | | Agonists | |
|---|
| PAMs |
- (Abridged; see here for a full list): α-EMTBL
- Alcohols (e.g., ethanol)
- Anabolic steroids
- Avermectins (e.g., ivermectin)
- Barbiturates (e.g., phenobarbital)
- Benzodiazepines (e.g., diazepam)
- Bromide compounds (e.g., potassium bromide)
- Carbamates (e.g., meprobamate)
- Carbamazepine
- Chloralose
- Chlormezanone
- Clomethiazole
- Dihydroergolines (e.g., ergoloid (dihydroergotoxine))
- Etazepine
- Etifoxine
- Fenamates (e.g., mefenamic acid)
- Flavonoids (e.g., apigenin, hispidulin)
- Fluoxetine
- Flupirtine
- Imidazoles (e.g., etomidate)
- Kava constituents (e.g., kavain)
- Lanthanum
- Loreclezole
- Monastrol
- Neuroactive steroids (e.g., allopregnanolone, cholesterol)
- Niacin
- Nicotinamide (niacinamide)
- Nonbenzodiazepines (e.g., β-carbolines (e.g., abecarnil), cyclopyrrolones (e.g., zopiclone), imidazopyridines (e.g., zolpidem), pyrazolopyrimidines (e.g., zaleplon))
- Norfluoxetine
- Petrichloral
- Phenols (e.g., propofol)
- Phenytoin
- Piperidinediones (e.g., glutethimide)
- Propanidid
- Pyrazolopyridines (e.g., etazolate)
- Quinazolinones (e.g., methaqualone)
- Retigabine (ezogabine)
- ROD-188
- Skullcap constituents (e.g., baicalin)
- Stiripentol
- Sulfonylalkanes (e.g., sulfonmethane (sulfonal))
- Topiramate
- Valerian constituents (e.g., valerenic acid)
- Volatiles/gases (e.g., chloral hydrate, chloroform, diethyl ether, paraldehyde, sevoflurane)
|
|---|
| Antagonists | |
|---|
| NAMs |
- 1,3M1B
- 3M2B
- 17-Phenylandrostenol
- α5IA (LS-193,268)
- β-CCB
- β-CCE
- β-CCM
- β-CCP
- β-EMGBL
- Anabolic steroids
- Amiloride
- Anisatin
- β-Lactams (e.g., penicillins, cephalosporins, carbapenems)
- Basmisanil
- Bemegride
- Bilobalide
- CHEB
- Cicutoxin
- Cloflubicyne
- Cyclothiazide
- DHEA
- DHEA-S
- Dieldrin
- (+)-DMBB
- DMCM
- DMPC
- EBOB
- Etbicyphat
- FG-7142 (ZK-31906)
- Fiproles (e.g., fipronil)
- Flavonoids (e.g., amentoflavone, oroxylin A)
- Flumazenil
- Fluoroquinolones (e.g., ciprofloxacin)
- Flurothyl
- Furosemide
- Iomazenil (123I)
- Isoallopregnanolone
- Isopregnanolone (sepranolone)
- L-655,708
- Laudanosine
- Leptazol
- Lindane
- MaxiPost
- Morphine
- Morphine-3-glucuronide
- MRK-016
- Naloxone
- Naltrexone
- Nicardipine
- Non-steroidal antiandrogens (e.g., apalutamide, bicalutamide, enzalutamide, flutamide, nilutamide)
- Oenanthotoxin
- Pentetrazol (metrazol)
- Phenylsilatrane
- Picrotoxin (i.e., picrotin and picrotoxinin)
- Pregnenolone sulfate
- Propybicyphat
- PWZ-029
- Radequinil
- Ro 15-4513
- Ro 19-4603
- RO4882224
- RO4938581
- Sarmazenil
- SCS
- Suritozole
- TB-21007
- TBOB
- TBPS
- TCS-1105
- Terbequinil
- TETS
- Thujone
- U-93631
- Zinc
- ZK-93426
|
|---|
|
|---|
| | Agonists | |
|---|
| PAMs | |
|---|
| Antagonists | |
|---|
| NAMs | |
|---|
|
|---|
| | Agonists | |
|---|
| Antagonists | |
|---|
| NAMs | |
|---|
| PAMs | |
|---|
|
|---|
|
|---|
|
Transporter (blockers) | |
|---|
|
Enzyme (inhibitors) | |
|---|
|
| Others | Precursors | |
|---|
| Analogues | |
|---|
| Others | |
|---|
|
|---|
|
See also: GHBergics • Glutamatergics • Glycinergics |
|
|---|
|
Receptor (ligands) | |
- PAMs: Alcohols (e.g., brometone, chlorobutanol (chloretone), ethanol, tert-butanol (2M2P), tribromoethanol, trichloroethanol, trifluoroethanol)
- Alkylbenzene sulfonate
- Anandamide
- Barbiturates (e.g., pentobarbital, sodium thiopental)
- Chlormethiazole
- D12-116
- Dihydropyridines (e.g., nicardipine)
- Etomidate
- Ginseng constituents (e.g., ginsenosides (e.g., ginsenoside-Rf))
- Glutamic acid (glutamate)
- Ivermectin
- Ketamine
- Neuroactive steroids (e.g., alfaxolone, pregnenolone (eltanolone), pregnenolone acetate, minaxolone, Org 20599)
- Nitrous oxide
- Penicillin G
- Propofol
- Tamoxifen
- Tetrahydrocannabinol
- Triclofos
- Tropeines (e.g., atropine, bemesetron, cocaine, LY-278584, tropisetron, zatosetron)
- Volatiles/gases (e.g., chloral hydrate, chloroform, desflurane, diethyl ether (ether), enflurane, halothane, isoflurane, methoxyflurane, sevoflurane, toluene, trichloroethane (methyl chloroform), trichloroethylene)
- Xenon
- Zinc
- Antagonists: 2-Aminostrychnine
- 2-Nitrostrychnine
- 4-Phenyl-4-formyl-N-methylpiperidine
- αEMBTL
- Bicuculline
- Brucine
- Cacotheline
- Caffeine
- Colchicine
- Colubrine
- Cyanotriphenylborate
- Dendrobine
- Diaboline
- Endocannabinoids (e.g., 2-AG, anandamide (AEA))
- Gaboxadol (THIP)
- Gelsemine
- iso-THAZ
- Isobutyric acid
- Isonipecotic acid
- Isostrychnine
- Laudanosine
- N-Methylbicuculline
- N-Methylstrychnine
- N,N-Dimethylmuscimol
- Nipecotic acid
- Pitrazepin
- Pseudostrychnine
- Quinolines (e.g., 4-hydroxyquinoline, 4-hydroxyquinoline-3-carboxylic acid, 5,7-CIQA, 7-CIQ, 7-TFQ, 7-TFQA)
- RU-5135
- Sinomenine
- Strychnine
- Thiocolchicoside
- Tutin
- NAMs: Amiloride
- Benzodiazepines (e.g., bromazepam, clonazepam, diazepam, flunitrazepam, flurazepam)
- Corymine
- Cyanotriphenylborate
- Daidzein
- Dihydropyridines (e.g., nicardipine, nifedipine, nitrendipine)
- Furosemide
- Genistein
- Ginkgo constituents (e.g., bilobalide, ginkgolides (e.g., ginkgolide A, ginkgolide B, ginkgolide C, ginkgolide J, ginkgolide M))
- Imipramine
- NBQX
- Neuroactive steroids (e.g., 3α-androsterone sulfate, 3β-androsterone sulfate, deoxycorticosterone, DHEA sulfate, pregnenolone sulfate, progesterone)
- Opioids (e.g., codeine, dextromethorphan, dextrorphan, levomethadone, levorphanol, morphine, oripavine, pethidine, thebaine)
- Picrotoxin (i.e., picrotin and picrotoxinin)
- PMBA
- Riluzole
- Tropeines (e.g., bemesetron, LY-278584, tropisetron, zatosetron)
- Verapamil
- Zinc
|
|---|
|
|---|
|
Transporter (blockers) | |
|---|
|
| Others | |
|---|
|
See also: GABAergics • GHBergics • Glutamatergics |