Cyclothiazide
Cyclothiazide|
|
| Clinical data |
|---|
| ATC code |
C03AA09 (WHO) |
|---|
| Legal status |
|---|
| Legal status |
|
|---|
| Identifiers |
|---|
- 3-(bicyclo[2.2.1]hept-5-en-2-yl)-6-chloro-3,4-dihydro-2H-1,2,4-benzothiadiazine-7-sulfonamide 1,1-dioxide
|
| CAS Number |
2259-96-3 Y |
|---|
| PubChem (CID) |
2910 |
|---|
| IUPHAR/BPS |
4167 |
|---|
| DrugBank |
DB00606 N |
|---|
| ChemSpider |
4535011 N |
|---|
| UNII |
P71U09G5BW Y |
|---|
| KEGG |
D01256 Y |
|---|
| ChEMBL |
CHEMBL61593 N |
|---|
| ECHA InfoCard |
100.017.146 |
|---|
| Chemical and physical data |
|---|
| Formula |
C14H16ClN3O4S2 |
|---|
| Molar mass |
389.88 g/mol |
|---|
| 3D model (Jmol) |
Interactive image |
|---|
O=S(=O)(c1c(Cl)cc2c(c1)S(=O)(=O)NC(N2)C4[C@@H]3\C=C/[C@@H](C3)C4)N
|
InChI=1S/C14H16ClN3O4S2/c15-10-5-11-13(6-12(10)23(16,19)20)24(21,22)18-14(17-11)9-4-7-1-2-8(9)3-7/h1-2,5-9,14,17-18H,3-4H2,(H2,16,19,20)/t7-,8+,9?,14?/m0/s1 NKey:BOCUKUHCLICSIY-QJWLJZLASA-N N
|
N Y (what is this?) (verify) |
|---|
Cyclothiazide (Anhydron, Acquirel, Doburil, Fluidil, Renazide, Tensodiural, Valmiran) is a benzothiadiazide (thiazide) diuretic and antihypertensive that was originally introduced in the United States in 1963 by Eli Lilly and was subsequently also marketed in Europe and Japan.[1][2] Related drugs include diazoxide, hydrochlorothiazide, and chlorothiazide.[3]
In 1993, it was discovered that cyclothiazide is a positive allosteric modulator of the AMPA and kainate receptors, capable of reducing or essentially eliminating rapid desensitization of the former receptor, and potentiating AMPA-mediated glutamate currents by as much as 18-fold at the highest concentration tested (100 μM).[3][4][5][6] Additionally, in 2003, cyclothiazide was also found to act as a GABAA receptor negative allosteric modulator, potently inhibiting GABAA-mediated currents.[7] In animals it is a powerful convulsant, robustly enhancing epileptiform activity and inducing seizures, but without producing any apparent neuronal death.[8][9]
Cyclothiazide has been found to act as a non-competitive antagonist of the mGluR1.[10] It is selective for mGluR1 over other metabotropic glutamate receptors.[10]
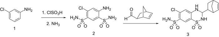
Synthesis
References
- ↑ Swiss Pharmaceutical Society (2000). Index Nominum 2000: International Drug Directory (Book with CD-ROM). Boca Raton: Medpharm Scientific Publishers. p. 1932. ISBN 3-88763-075-0.
- ↑ Sittig, Marshall (1988). Pharmaceutical manufacturing encyclopedia. Park Ridge, N.J., U.S.A: Noyes Publications. p. 1756. ISBN 0-8155-1144-2.
- 1 2 Skolnick, Phil; Palfreyman, Michael G.; Reynolds, Ian J. (1994). Direct and allosteric control of glutamate receptors. Boca Raton: CRC Press. p. 174. ISBN 0-8493-8307-2.
- ↑ Yamada KA, Tang CM (September 1993). "Benzothiadiazides inhibit rapid glutamate receptor desensitization and enhance glutamatergic synaptic currents". Journal of Neuroscience. 13 (9): 3904–15. PMID 8103555.
- ↑ Bertolino M, Baraldi M, Parenti C, et al. (1993). "Modulation of AMPA/kainate receptors by analogues of diazoxide and cyclothiazide in thin slices of rat hippocampus". Receptors & Channels. 1 (4): 267–78. PMID 7915948.
- ↑ Ströhle, Andreas; Bilkei-Gorzo, A.; Holsboer, Florian (2005). Anxiety and anxiolytic drugs. Berlin: Springer. p. 566. ISBN 3-540-22568-4.
- ↑ Deng L, Chen G (October 2003). "Cyclothiazide potently inhibits gamma-aminobutyric acid type A receptors in addition to enhancing glutamate responses". Proceedings of the National Academy of Sciences of the United States of America. 100 (22): 13025–9. doi:10.1073/pnas.2133370100. PMC 240738
. PMID 14534329. - ↑ Qi J, Wang Y, Jiang M, Warren P, Chen G (March 2006). "Cyclothiazide induces robust epileptiform activity in rat hippocampal neurons both in vitro and in vivo". The Journal of Physiology. 571 (Pt 3): 605–18. doi:10.1113/jphysiol.2005.103812. PMC 1805799
. PMID 16423850. - ↑ Kong S, Qian B, Liu J, Fan M, Chen G, Wang Y (July 2010). "Cyclothiazide induces seizure behavior in freely moving rats". Brain Research. 1355: 207–213. doi:10.1016/j.brainres.2010.07.088. PMC 2947190
. PMID 20678492. - 1 2 Surin A, Pshenichkin S, Grajkowska E, Surina E, Wroblewski JT (2007). "Cyclothiazide selectively inhibits mGluR1 receptors interacting with a common allosteric site for non-competitive antagonists". Neuropharmacology. 52 (3): 744–54. doi:10.1016/j.neuropharm.2006.09.018. PMC 1876747
. PMID 17095021. - ↑ Whitehead, C. W.; Traverso, J. J.; Sullivan, H. R.; Marshall, F. J. (1961). "Diuretics. V. 3,4-Dihydro-1,2,4-benzothiadiazine 1,1-Dioxides". The Journal of Organic Chemistry. 26 (8): 2814. doi:10.1021/jo01066a046.
|
|---|
|
Receptor (ligands) | | AMPA | |
|---|
| | NMDA |
- Antagonists: Competitive antagonists: AP5 (APV)
- AP7
- CGP-37849
- CGP-39551
- CGP-39653
- CGP-40116
- CGS-19755
- CPP
- LY-233,053
- LY-235,959
- LY-274,614
- MDL-100,453
- Midafotel (d-CPPene)
- NPC-12,626
- NPC-17,742
- PBPD
- PEAQX
- Perzinfotel
- PPDA
- SDZ-220581
- Selfotel; Noncompetitive antagonists: ARR-15,896
- Caroverine
- Dexanabinol
- FPL-12495
- FR-115,427
- Hodgkinsine
- Magnesium
- MDL-27,266
- NPS-1506
- Psychotridine
- Zinc; Uncompetitive pore blockers: 2-MDP
- 3-HO-PCP
- 3-MeO-PCE
- 3-MeO-PCMo
- 3-MeO-PCP
- 4-MeO-PCP
- 8A-PDHQ
- 18-MC
- α-Endopsychosin
- Alaproclate
- Amantadine
- Aptiganel
- Arketamine
- ARL-12,495
- ARL-15,896-AR
- ARL-16,247
- Budipine
- Conaridine
- Delucemine
- Dexoxadrol
- Dextrallorphan
- Dieticyclidine
- Diphenidine
- Dizocilpine
- Ephenidine
- Esketamine
- Etoxadrol
- Eticyclidine
- Fluorolintane
- Gacyclidine
- Ibogaine
- Ibogamine
- Indantadol
- Ketamine
- Ketobemidone
- Lanicemine
- Loperamide
- Memantine
- Methadone (Levomethadone)
- Methorphan (Dextromethorphan
- Levomethorphan)
- Methoxetamine
- Methoxphenidine
- Milnacipran
- Morphanol (Dextrorphan
- Levorphanol)
- NEFA
- Neramexane
- Nitromemantine
- Nitrous oxide
- Noribogaine
- Norketamine
- Orphenadrine
- PCPr
- Pethidine (meperidine)
- Phencyclamine
- Phencyclidine
- Propoxyphene
- Remacemide
- Rhynchophylline
- Rimantadine
- Rolicyclidine
- Sabeluzole
- Tabernanthine
- Tenocyclidine
- Tiletamine
- Tramadol
- Xenon; Glycine site antagonists: 4-Cl-KYN (AV-101)
- 5,7-DCKA
- 7-CKA
- ACC
- ACEA-1011
- ACEA-1328
- AV-101
- Carisoprodol
- CGP-39653
- CNQX
- DNQX
- Felbamate
- Gavestinel
- GV-196,771
- Kynurenic acid
- Kynurenine
- L-689,560
- L-701,324
- Licostinel (ACEA-1021)
- LU-73,068
- MDL-105,519
- Meprobamate
- MRZ 2/576
- PNQX
- ZD-9379; NR2B subunit antagonists: Besonprodil
- CERC-301 (MK-0657)
- CO-101,244 (PD-174,494)
- Eliprodil
- Haloperidol
- Ifenprodil
- Isoxsuprine
- Nylidrin
- Ro8-4304
- Ro25-6981
- Traxoprodil; Polyamine site antagonists: Arcaine
- Co 101676
- Diaminopropane
- Diethylenetriamine
- Huperzine A
- Putrescine
- Ro 25-6981; Unclassified/unsorted antagonists: Bumetanide
- Chloroform
- Cyclopropane
- D-αAA
- Diethyl ether
- Enflurane
- Ethanol
- Flufenamic acid
- Flupirtine
- Furosemide
- Halothane
- Isoflurane
- Metaphit
- Methoxyflurane
- Niflumic acid
- Pentamidine isethionate
- Piretanide
- Toluene
- Transcrocetin (saffron)
- Trichloroethane
- Trichloroethanol
- Trichloroethylene
- Xylene
|
|---|
| | Kainate | |
|---|
| | mGlu1 | |
|---|
| | mGlu2 | |
|---|
| | mGlu3 | |
|---|
| | mGlu4 |
- Antagonists: CPPG
- MAP4
- MPPG
- MSOP
- MTPG
- UBP-1112
|
|---|
| | mGlu5 | |
|---|
| | mGlu6 |
- Antagonists: CPPG
- MAP4
- MPPG
- MSOP
- MTPG
- UBP-1112
|
|---|
| | mGlu7 |
- Antagonists: CPPG
- MAP4
- MMPIP
- MPPG
- MSOP
- MTPG
- UBP-1112
|
|---|
| | mGlu8 |
- Antagonists: CPPG
- MAP4
- MPPG
- MSOP
- MTPG
- UBP-1112
|
|---|
|
|---|
|
Transporter (blockers) | |
|---|
|
Enzyme (inhibitors) | |
|---|
|
| Others | |
|---|
|
See also: GABAergics • GHBergics • Glycinergics |
|
|---|
|
Receptor (ligands) | | Agonists | |
|---|
| PAMs |
- (Abridged; see here for a full list): α-EMTBL
- Alcohols (e.g., ethanol)
- Anabolic steroids
- Avermectins (e.g., ivermectin)
- Barbiturates (e.g., phenobarbital)
- Benzodiazepines (e.g., diazepam)
- Bromide compounds (e.g., potassium bromide)
- Carbamates (e.g., meprobamate)
- Carbamazepine
- Chloralose
- Chlormezanone
- Clomethiazole
- Dihydroergolines (e.g., ergoloid (dihydroergotoxine))
- Etazepine
- Etifoxine
- Fenamates (e.g., mefenamic acid)
- Flavonoids (e.g., apigenin, hispidulin)
- Fluoxetine
- Flupirtine
- Imidazoles (e.g., etomidate)
- Kava constituents (e.g., kavain)
- Lanthanum
- Loreclezole
- Monastrol
- Neuroactive steroids (e.g., allopregnanolone, cholesterol)
- Niacin
- Nicotinamide (niacinamide)
- Nonbenzodiazepines (e.g., β-carbolines (e.g., abecarnil), cyclopyrrolones (e.g., zopiclone), imidazopyridines (e.g., zolpidem), pyrazolopyrimidines (e.g., zaleplon))
- Norfluoxetine
- Petrichloral
- Phenols (e.g., propofol)
- Phenytoin
- Piperidinediones (e.g., glutethimide)
- Propanidid
- Pyrazolopyridines (e.g., etazolate)
- Quinazolinones (e.g., methaqualone)
- Retigabine (ezogabine)
- ROD-188
- Skullcap constituents (e.g., baicalin)
- Stiripentol
- Sulfonylalkanes (e.g., sulfonmethane (sulfonal))
- Topiramate
- Valerian constituents (e.g., valerenic acid)
- Volatiles/gases (e.g., chloral hydrate, chloroform, diethyl ether, paraldehyde, sevoflurane)
|
|---|
| Antagonists | |
|---|
| NAMs |
- 1,3M1B
- 3M2B
- 17-Phenylandrostenol
- α5IA (LS-193,268)
- β-CCB
- β-CCE
- β-CCM
- β-CCP
- β-EMGBL
- Anabolic steroids
- Amiloride
- Anisatin
- β-Lactams (e.g., penicillins, cephalosporins, carbapenems)
- Basmisanil
- Bemegride
- Bilobalide
- CHEB
- Cicutoxin
- Cloflubicyne
- Cyclothiazide
- DHEA
- DHEA-S
- Dieldrin
- (+)-DMBB
- DMCM
- DMPC
- EBOB
- Etbicyphat
- FG-7142 (ZK-31906)
- Fiproles (e.g., fipronil)
- Flavonoids (e.g., amentoflavone, oroxylin A)
- Flumazenil
- Fluoroquinolones (e.g., ciprofloxacin)
- Flurothyl
- Furosemide
- Iomazenil (123I)
- Isoallopregnanolone
- Isopregnanolone (sepranolone)
- L-655,708
- Laudanosine
- Leptazol
- Lindane
- MaxiPost
- Morphine
- Morphine-3-glucuronide
- MRK-016
- Naloxone
- Naltrexone
- Nicardipine
- Non-steroidal antiandrogens (e.g., apalutamide, bicalutamide, enzalutamide, flutamide, nilutamide)
- Oenanthotoxin
- Pentetrazol (metrazol)
- Phenylsilatrane
- Picrotoxin (i.e., picrotin and picrotoxinin)
- Pregnenolone sulfate
- Propybicyphat
- PWZ-029
- Radequinil
- Ro 15-4513
- Ro 19-4603
- RO4882224
- RO4938581
- Sarmazenil
- SCS
- Suritozole
- TB-21007
- TBOB
- TBPS
- TCS-1105
- Terbequinil
- TETS
- Thujone
- U-93631
- Zinc
- ZK-93426
|
|---|
|
|---|
| | Agonists | |
|---|
| PAMs | |
|---|
| Antagonists | |
|---|
| NAMs | |
|---|
|
|---|
| | Agonists | |
|---|
| Antagonists | |
|---|
| NAMs | |
|---|
| PAMs | |
|---|
|
|---|
|
|---|
|
Transporter (blockers) | |
|---|
|
Enzyme (inhibitors) | |
|---|
|
| Others | Precursors | |
|---|
| Analogues | |
|---|
| Others | |
|---|
|
|---|
|
See also: GHBergics • Glutamatergics • Glycinergics |