Phenols
In organic chemistry, phenols, sometimes called phenolics, are a class of chemical compounds consisting of a hydroxyl group (—OH) bonded directly to an aromatic hydrocarbon group. The simplest of the class is phenol, which is also called carbolic acid C
6H
5OH. Phenolic compounds are classified as simple phenols or polyphenols based on the number of phenol units in the molecule.[1][2][3]





Synonyms are arenols[4] or aryl alcohols.[5]
Phenolic compounds are synthesized industrially; they also are produced by plants and microorganisms, with variation between and within species.[6]
Although similar to alcohols, phenols have unique properties and are not classified as alcohols (since the hydroxyl group is not bonded to a saturated carbon atom). They have higher acidities due to the aromatic ring's tight coupling with the oxygen and a relatively loose bond between the oxygen and hydrogen. The acidity of the hydroxyl group in phenols is commonly intermediate between that of aliphatic alcohols and carboxylic acids (their pKa is usually between 10 and 12).
Loss of a positive hydrogen ion (H+) from the hydroxyl group of a phenol forms a corresponding negative phenolate ion or phenoxide ion, and the corresponding salts are called phenolates or phenoxides, although the term aryloxides is preferred according to the IUPAC Gold Book. Phenols can have two or more hydroxy groups bonded to the aromatic ring(s) in the same molecule. The simplest examples are the three benzenediols, each having two hydroxy groups on a benzene ring.
Organisms that synthesize phenolic compounds do so in response to ecological pressures such as pathogen and insect attack, UV radiation and wounding.[7] As they are present in food consumed in human diets and in plants used in traditional medicine of several cultures, their role in human health and disease is a subject of research.[1][7][8][9]:104 Some phenols are germicidal and are used in formulating disinfectants. Others possess estrogenic or endocrine disrupting activity.
Classification
There are various classification schemes.[10]:2 A commonly used scheme is based on the number of carbons and was devised by Jeffrey Harborne and Simmonds in 1964 and published in 1980:[10]:2[11]
| Number of carbon atoms | Basic skeleton | Number of phenolic cycles | Class | Examples |
|---|---|---|---|---|
| 6 | C6 | 1 | Simple phenols, Benzoquinones | Catechol, Hydroquinone, 2,6-Dimethoxybenzoquinone |
| 7 | C6-C1 | 1 | Phenolic acids, Phenolic aldehydes | Gallic, salicylic acids |
| 8 | C6-C2 | 1 | Acetophenones, Tyrosine derivatives, Phenylacetic acids | 3-Acetyl-6-methoxybenzaldehyde, Tyrosol, p-Hydroxyphenylacetic acid, Homogentisic acid |
| 9 | C6-C3 | 1 | Hydroxycinnamic acids, Phenylpropenes, Coumarins, Isocoumarins, Chromones | Caffeic, ferulic acids, Myristicin, Eugenol, Umbelliferone, aesculetin, Bergenon, Eugenin |
| 10 | C6-C4 | 1 | Naphthoquinones | Juglone, Plumbagin |
| 13 | C6-C1-C6 | 2 | Xanthonoids | Mangiferin |
| 14 | C6-C2-C6 | 2 | Stilbenoids, Anthraquinones | Resveratrol, Emodin |
| 15 | C6-C3-C6 | 2 | Chalconoids, Flavonoids, Isoflavonoids, Neoflavonoids | Quercetin, cyanidin, Genistein |
| 16 | C6-C4-C6 | 2 | Halogenated algal phenolic compounds | Kaviol A, colpol |
| 18 | (C6-C3)2 | 2 | Lignans, Neolignans | Pinoresinol, Eusiderin |
| 30 | (C6-C3-C6)2 | 4 | Biflavonoids | Amentoflavone |
| many | (C6-C3)n, (C6)n, (C6-C3-C6)n |
n > 12 | Lignins, Catechol melanins, Flavolans (Condensed tannins), Polyphenolic proteins, Polyphenols |
Raspberry ellagitannin, Tannic acid |
Not in this Harborne classification are the C6-C7-C6 diarylheptanoids.
They can also be classified on the basis of their number of phenol groups. They can therefore be called simple phenols or monophenols, with only one phenolic group, or di- (bi-), tri- and oligophenols, with two, three or several phenolic groups respectively.
The largest and best studied natural phenols are the flavonoids, which include several thousand compounds, among them the flavonols, flavones, flavan-3ol (catechins), flavanones, anthocyanidins and isoflavonoids.[12]
The phenolic unit can be found dimerized or further polymerized, creating a new class of polyphenol. For example, ellagic acid is a dimer of gallic acid and forms the class of ellagitannins, or a catechin and a gallocatechin can combine to form the red compound theaflavin, a process that also results in the large class of brown thearubigins in tea.
Two natural phenols from two different categories, for instance a flavonoid and a lignan, can combine to form a hybrid class like the flavonolignans.
Nomenclature of polymers:
| Base Unit: | ![]() |
![]() |
![]() |
|---|---|---|---|
| Class/Polymer: | Hydrolyzable tannins | Flavonoid, Condensed tannins | |
Hybrid chemical classes
Plants in the genus Humulus and Cannabis produce terpenophenolic metabolites, compounds that are meroterpenes.[13] Phenolic lipids are long aliphatic chains bonded to a phenolic moiety.
Chemistry
Chemical properties

The majority of these compounds are solubles molecules but the smaller molecules can be volatiles.
Many natural phenols present chirality within their molecule. An example of such molecules is catechin. Cavicularin is an unusual macrocycle because it was the first compound isolated from nature displaying optical activity due to the presence of planar chirality and axial chirality.
Natural phenols chemically interact with many other substances. Stacking, a chemical property of molecules with aromaticity, is seen occurring between phenolic molecules. When studied in mass spectrometry, phenols easily form adduct ions with halogens. They can also interact with the food matrices or with different forms of silica (mesoporous silica, fumed silica[14] or silica-based sol gels[15]).
UV visible absorbance
Natural phenols spectral data show a typical UV absorbance characteristic of benzene aromaticity at 270 nm. However, according to Woodward's rules, bathochromic shifts often also happen suggesting the presence of delocalised π electrons arising from a conjugation between the benzene and vinyls groups.[16]
As molecules with higher conjugation levels undergo this bathochromic shift phenomenon, a part of the visible spectrum is absorbed. The wavelengths left in the process (generally in red section of the spectrum) recompose the color of the particular substance. Acylation with cinnamic acids of anthocyanidins shifted color tonality (CIE Lab hue angle) to purple.[17]
Here is a series of UV visible spectra of molecules classified from left to right according to their conjugation level:
| |
UV visible spectrum of ferulic acid, with lambda max at 321 and a shoulder at 278 nm. |
UV visible spectrum of quercetin, with lambda max at 369 nm. |
UV visible spectrum of cyanidin-3-O-glucoside (chrysanthemin), with lambda max at 518 nm. |
![]() Chemical structure of gallic acid, a phenolic acid. |
![]() Chemical structure of ferulic acid, a hydroxycinnamic acid. |
![]() Chemical structure of quercetin, a flavonol. |
![]() Chemical structure of cyanidin, an anthocyanidin. |
The absorbance pattern responsible for the red color of anthocyanins may be complementary to that of green chlorophyll in photosynthetically active tissues such as young Quercus coccifera leaves.[18]
Oxidation
Natural phenols are reactive species toward oxidation, notably the complex mixture of phenolics, found in food for example, can undergo autoxidation during the ageing process. Simple natural phenols can lead to the formation of B-type procyanidins in wines[19] or in model solutions.[20][21] This is correlated to the non enzymatic browning color change characteristic of this process.[22] This phenomenon can be observed in foods like carrot purees.[23]
Browning associated with oxidation of phenolic compounds has also been given as the cause of cells death in calli formed in in vitro cultures. Those phenolics originate both from explant tissues and from explant secretions.
Phenolic compounds
- For a full list, see Category:Phenols
Naturally occurring
| Cannabinoids | the active constituents of cannabis |
| Capsaicin | the pungent compound of chili peppers |
| Carvacrol | found in, i.a., oregano; antimicrobial and neuroprotectant[24] |
| Cresol | found in coal tar and creosote |
| Estradiol | estrogen - hormones |
| Eugenol | the main constituent of the essential oil of clove |
| Gallic acid | found in galls |
| Guaiacol | (2-methoxyphenol) - has a smokey flavor, and is found in roasted coffee, whisky, and smoke |
| Methyl salicylate | the major constituent of the essential oil of wintergreen |
| Raspberry ketone | a compound with an intense raspberry smell |
| Salicylic acid | precursor compound to Aspirin (chemical synthesis is used in manufacturing) |
| Serotonin / dopamine / adrenaline / noradrenaline | natural neurotransmitters |
| Thymol | (2-Isopropyl-5-methyl phenol) - found in thyme; an antiseptic that is used in mouthwashes |
| Tyrosine | an amino acid |
| Sesamol | a naturally occurring compound found in sesame seeds |
Synthetic
| Phenol | the parent compound, used as a disinfectant and for chemical synthesis |
| Bisphenol A | and other bisphenols produced from ketones and phenol / cresol |
| BHT | (butylated hydroxytoluene) - a fat-soluble antioxidant and food additive |
| 4-Nonylphenol | a breakdown product of detergents and nonoxynol-9 |
| Orthophenyl phenol | a fungicide used for waxing citrus fruits |
| Picric acid | (trinitrophenol) - an explosive material |
| Phenolphthalein | pH indicator |
| Xylenol | used in antiseptics & disinfectants |
Drugs, present and past
| Diethylstilbestrol | a synthetic estrogen with a stilbene structure; no longer marketed |
| L-DOPA | a dopamine prodrug used to treat Parkinson's Disease |
| Propofol | a short-acting intravenous anesthetic agent |
Chemical properties
The majority of these compounds are soluble molecules but the smaller molecules can be volatile.
Phenols often have chiral centers.[25] An example of such a molecule is catechin. Cavicularin is an unusual macrocycle because it was the first compound isolated from nature displaying optical activity due to the presence of planar chirality and axial chirality.
Phenols chemically interact with many other substances. Stacking, a chemical property of molecules with aromaticity, is seen occurring between phenolic molecules. When studied in mass spectrometry, phenols easily form adduct ions with halogens. They can also interact with the food matrices or with different forms of silica (mesoporous silica, fumed silica[14] or silica-based sol gels[15]).
Phenols are reactive species toward oxidation, notably the complex mixture of phenolics, found in food for example, can undergo autoxidation during the ageing process. Simple natural phenols can lead to the formation of B-type procyanidins in wines[19] or in model solutions.[20][21] This is correlated to the non enzymatic browning color change characteristic of this process.[22] This phenomenon can be observed in foods like carrot purees.[23]
Biosynthesis
Phenolics are formed by three different biosynthetic pathways: (i) the shikimate/chorizmate or succinylbenzoate pathway, which produces the phenyl propanoid derivatives (C6–C3); (ii) the acetate/malonate or polyketide pathway, which produces the side-chain-elongated phenyl propanoids, including the large group of flavonoids (C6–C3–C6) and some quinones; and (iii) the acetate/mevalonate pathway, which produces the aromatic terpenoids, mostly monoterpenes, by dehydrogenation reactions.[26][27] The aromatic amino acid phenylalanine, synthesized in the shikimic acid pathway, is the common precursor of phenol containing amino acids and phenolic compounds.
In plants, the phenolic units are esterified or methylated and are submitted to conjugation, which means that the natural phenols are mostly found in the glycoside form instead of the aglycone form.
In olive oil, tyrosol forms esters with fatty acids.[28] In rye, alkylresorcinols are phenolic lipids.
Some acetylations involve terpenes like geraniol.[29] Those molecules are called meroterpenes (a chemical compound having a partial terpenoid structure).
Methylations can occur by the formation of an ether bond on hydroxyl groups forming O-methylated polyphenols. In the case of the O-methylated flavone tangeritin, all of the five hydroxyls are methylated, leaving no free hydroxyls of the phenol group. Methylations can also occur on directly on a carbon of the benzene ring like in the case of poriol, a C-methylated flavonoid.
Synthesis of phenols
Several laboratory methods for the synthesis of phenols:
- by an ester rearrangement in the Fries rearrangement
- by a rearrangement of N-phenylhydroxylamines in the Bamberger rearrangement
- by hydrolysis of phenolic esters or ethers
- by reduction of quinones
- by replacement of an aromatic amine by an hydroxyl group with water and sodium bisulfide in the Bucherer reaction
- by hydrolysis of diazonium salts
- by oligomerisation with formaldehyde + base catalysed reaction with epichlorohydrin to epoxi resin components
- by reaction with acetone/ketones to e.g. Bisphenol A, an important monomer for resins, e.g. polycarbonate (PC), epoxi resins
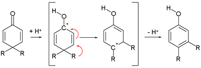
- by a rearrangement reaction of dienones [30] in the dienone phenol rearrangement:[31]
- by the oxidation of aryl silanes—an aromatic variation of the Fleming-Tamao oxidation [32]
- by the addition of benzene and propene in H
3PO
4 to form cumene then O
2 is added with H
2SO
4 to form phenol (Hock process) - enzymatic polymerization[33]
Reactions of phenols
Phenols react in a wide variety of ways.
- Esterfication reactions and ether formation
- Electrophilic aromatic substitutions as the hydroxyl group is activating, for example synthesis of calixarenes [34]
- Reaction of naphtols and hydrazines and sodium bisulfite in the Bucherer carbazole synthesis
- Oxidative cleavage, for instance cleavage of 1,2-dihydroxybenzene to the monomethylester of 2,4 hexadienedioic acid with oxygen, copper chloride in pyridine [35]
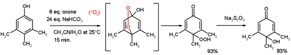
- Oxidative de-aromatization to quinones also known as the Teuber reaction. Oxidizing reagents are Fremy's salt [36] and oxone.[37] In reaction depicted below 3,4,5-trimethylphenol reacts with singlet oxygen generated from oxone/sodium carbonate in an acetonitrile/water mixture to a para-peroxyquinole. This hydroperoxide is reduced to the quinole with sodium thiosulfate.
- Phenols are oxidized to hydroquinones in the Elbs persulfate oxidation
- Phenolate anions (deriving from phenols by the loss of H+) can act as ligands towards metal cations.
Biodegradation
The white rot fungus Phanerochaete chrysosporium can remove up to 80% of phenolic compounds from coking waste water.[38]
Applications
Phenols are important raw materials and additives for industrial purposes in:
- laboratory processes
- chemical industry
- chemical engineering processes
- wood processing
- plastics processing
Tannins are used in the tanning industry.
Some natural phenols can be used as biopesticides. Furanoflavonoids like karanjin or rotenoids are used as acaricide or insecticide.
Enological tannins are important elements in the flavor of wine.[39]
Some phenols are sold as dietary supplements. Phenols have been investigated as drugs. For instance, Crofelemer (USAN, trade name Fulyzaq) is a drug under development for the treatment of diarrhea associated with anti-HIV drugs. Additionally, derivatives have been made of phenolic compound, combretastatin A-4, an anticancer molecule, including nitrogen or halogens atoms to increase the efficacy of the treatment.[40]
Industrial processing and analysis
Phenol extraction
Phenol extraction is a processing technology used to prepare phenols as raw materials, compounds or additives for industrial wood processing and for chemical industries.
Extraction can be performed using different solvents. There is a risk that polyphenol oxidase (PPO) degrades the phenolic content of the sample therefore there is a need to use PPO inhibitors like potassium dithionite (K2S2O4) or to perform experiment using liquid nitrogen or to boil the sample for a few seconds (blanching) to inactivate the enzyme. Further fractionation of the extract can be achieved using solid phase extraction columns, and may lead to isolation of individual compounds.
The recovery of natural phenols from biomass residue is part of biorefining.[41]
Separation
pKa of phenolic compounds can be calculated from the retention time in liquid chromatography.[42][43]
Analytical methods
Studies on evaluating antioxidant capacity can used electrochemical methods.[44]
Detection can be made by recombinant luminescent bacterial sensors.[45]
Profiling
Phenolic profiling can be achieved with liquid chromatography–mass spectrometry (LC/MS).[46]
Quantification
A method for phenolic content quantification is volumetric titration. An oxidizing agent, permanganate, is used to oxidize known concentrations of a standard solution, producing a standard curve. The content of the unknown phenols is then expressed as equivalents of the appropriate standard.
Some methods for quantification of total phenolic content are based on colorimetric measurements. Total phenols (or antioxidant effect) can be measured using the Folin-Ciocalteu reaction. Results are typically expressed as gallic acid equivalents (GAE). Ferric chloride (FeCl3) test is also a colorimetric assay.
Lamaison and Carnet have designed a test for the determination of the total flavonoid content of a sample (AlCI3 method). After proper mixing of the sample and the reagent, the mixture is incubated for 10 minutes at ambient temperature and the absorbance of the solution is read at 440 nm. Flavonoid content is expressed in mg/g of quercetin.[47]
Quantitation results produced by the mean of diode array detector-coupled HPLC are generally given as relative rather than absolute values as there is a lack of commercially available standards for every phenolic molecules. The technique can also be coupled with mass spectrometry (for example, HPLC–DAD–ESI/MS) for more precise molecule identification.
Antioxidant effect assessment
- In vitro measurements
Other tests measure the antioxidant capacity of a fraction. Some make use of the 2,2'-azino-bis(3-ethylbenzothiazoline-6-sulphonic acid) (ABTS) radical cation, which is reactive towards most antioxidants including phenolics, thiols and vitamin C.[48] During this reaction, the blue ABTS radical cation is converted back to its colorless neutral form. The reaction may be monitored spectrophotometrically. This assay is often referred to as the Trolox equivalent antioxidant capacity (TEAC) assay. The reactivity of the various antioxidants tested are compared to that of Trolox, which is a vitamin E analog.
Other antioxidant capacity assays that use Trolox as a standard include the diphenylpicrylhydrazyl (DPPH), oxygen radical absorbance capacity (ORAC), ferric reducing ability of plasma (FRAP) assays or inhibition of copper-catalyzed in vitro human low-density lipoprotein oxidation.[49]
A cellular antioxidant activity (CAA) assay also exists. Dichlorofluorescin is a probe that is trapped within cells and is easily oxidized to fluorescent dichlorofluorescein (DCF). The method measures the ability of compounds to prevent the formation of DCF by 2,2'-Azobis(2-amidinopropane) dihydrochloride (ABAP)-generated peroxyl radicals in human hepatocarcinoma HepG2 cells.[50]
Other methods include butylated hydroxytoluene (BHT), butylated hydroxyanisole (BHA), Rancimat method (rancidification assessment of fat).[51]
- In vivo models
Larvae of the model animal Galleria mellonella, also called waxworms, can be used to test the antioxidant effect of individual molecules using boric acid in food to induce induced an oxidative stress.[52] The content of malondialdehyde, an oxidative stress indicator, and activities of the antioxidant enzymes superoxide dismutase, catalase, glutathione S-transferase and glutathione peroxidase can be monitored. A prophenoloxidase can also be recovered from the insect.[53]
Genetic analysis
The phenolic biosynthetic and metabolic pathways and enzymes can be studied by mean of transgenesis of genes. The Arabidopsis regulatory gene for production of Anthocyanin Pigment 1 (AtPAP1) can be expressed in other plant species.[54]
Natural occurrences
Phenols are found in the natural world, especially in the plant kingdom.
Occurrences in prokaryotes
Orobol can be found in Streptomyces neyagawaensis (an Actinobacterium). Phenolic compounds can be found in the cyanobacterium Arthrospira maxima, used in the dietary supplement, Spirulina.[55] The three cyanobacteria Microcystis aeruginosa, Cylindrospermopsis raciborskii and Oscillatoria sp. are the subject of research into the natural production of butylated hydroxytoluene (BHT),[56] an antioxidant, food additive and industrial chemical.
The proteobacterium Pseudomonas fluorescens produces phloroglucinol, phloroglucinol carboxylic acid and diacetylphloroglucinol.[57] Another example of phenolics produced in proteobacteria is 3,5-dihydroxy-4-isopropyl-trans-stilbene, a bacterial stilbenoid produced in Photorhabdus bacterial symbionts of Heterorhabditis nematodes.
Occurrences in fungi
Phenolic acids can be found in mushroom basidiomycetes species.[58] For example, protocatechuic acid and pyrocatechol are found in Agaricus bisporus[59] as well as other phenylated substances like phenylacetic and phenylpyruvic acids. Other compounds like atromentin and thelephoric acid can also be isolated from fungi in the Agaricomycetes class. Orobol, an isoflavone, can be isolated from Aspergillus niger.
- in yeasts
Aromatic alcohols (examples: Tryptophol, tyrosol, phenethyl alcohol (Phenylethanol), benzyl alcohol) are produced by the yeast Candida albicans.[60] They are also found in beer.[61] These molecules are quorum sensing compounds for Saccharomyces cerevisiae.[62]
- Metabolism
Aryl-alcohol dehydrogenase uses an aromatic alcohol and NAD+ to produce an aromatic aldehyde, NADH and H+.
Aryl-alcohol dehydrogenase (NADP+) uses an aromatic alcohol and NADP+ to produce an aromatic aldehyde, NADPH and H+.
Aryldialkylphosphatase (also known as organophosphorus hydrolase, phosphotriesterase, and paraoxon hydrolase) uses an aryl dialkyl phosphate and H2O to produce dialkyl phosphate and an aryl alcohol.
Occurrences in lichen
Gyrophoric acid, a depside, and orcinol are found in lichen.[63]
Occurrence in algae
The green alga Botryococcus braunii is the subject of research into the natural production of butylated hydroxytoluene (BHT),[56] an antioxidant, food additive and industrial chemical.
Phenolic acids such as protocatechuic, p-hydroxybenzoic, 2,3-dihydroxybenzoic, chlorogenic, vanillic, caffeic, p-coumaric and salicylic acid, cinnamic acid and hydroxybenzaldehydes such as p-hydroxybenzaldehyde, 3,4-dihydroxybenzaldehyde, vanillin have been isolated from in vitro culture of the freshwater green alga Spongiochloris spongiosa.[64]
Phlorotannins, for instance eckol, are found in brown algae. Vidalenolone can be found in the tropical red alga Vidalia sp.[65]
Occurrence in land plants (embryophytes)
Occurrences in vascular plants
Phenolic compounds are mostly found in vascular plants (tracheophytes) i.e. Lycopodiophyta[66] (lycopods), Pteridophyta (ferns and horsetails), Angiosperms (flowering plants or Magnoliophyta) and Gymnosperms[67] (conifers, cycads, Ginkgo and Gnetales).
In ferns, compounds such as kaempferol and its glucoside can be isolated from the methanolic extract of fronds of Phegopteris connectilis[68] or kaempferol-3-O-rutinoside, a known bitter-tasting flavonoid glycoside, can be isolated from the rhizomes of Selliguea feei.[69] Hypogallic acid, caffeic acid, paeoniflorin and pikuroside can be isolated from the freshwater fern Salvinia molesta.[70]
In conifers (Pinophyta), phenolics are stored in polyphenolic parenchyma cells, a tissue abundant in the phloem of all conifers.[71]
The aquatic plant Myriophyllum spicatum produces ellagic, gallic and pyrogallic acids and (+)-catechin.[72]
Occurrences in Monocotyledons
Alkylresorcinols can be found in cereals.
2,4-Bis(4-hydroxybenzyl) phenol is a phenolic compound found in the orchids Gastrodia elata and Galeola faberi.
Occurrences in non-vascular plants
Phenolics can also be found in non-vascular land plants (bryophytes). Dihydrostilbenoids and bis(bibenzyls) can be found in liverworts (Marchantiophyta), for instance, the macrocycles cavicularin and riccardin C. Though lignin is absent in mosses (Bryophyta) and hornworts (Anthocerotophyta), some phenolics can be found in those two taxa.[73] For instance, rosmarinic acid and a rosmarinic acid 3'-O-β-D-glucoside can be found in the hornwort Anthoceros agrestis.[74]
Occurrences in other eukaryotes
Occurrences in insects
The hardening of the protein component of insect cuticle has been shown to be due to the tanning action of an agent produced by oxidation of a phenolic substance forming sclerotin. In the analogous hardening of the cockroach ootheca, the phenolic substance concerned is 3:4-dihydroxybenzoic acid (protocatechuic acid).[75]
Acetosyringone is produced by the male leaffooted bug (Leptoglossus phyllopus) and used in its communication system.[76][77][78] Guaiacol is produced in the gut of Desert locusts, Schistocerca gregaria, by the breakdown of plant material. This process is undertaken by the gut bacterium Pantoea agglomerans. Guaiacol is one of the main components of the pheromones that cause locust swarming.[79] Orcinol has been detected in the "toxic glue" of the ant species Camponotus saundersi. Rhynchophorus ferrugineus (red palm weevil) use 2-methoxy-4-vinylphenol for chemical signaling (pheromones).[80] Other simple and complex phenols can be found in eusocial ants (such as Crematogaster) as components of venom.[81]
Occurrences in mammals
In female elephants, the two compounds 3-ethyl phenol and 2-ethyl 4,5 dimethylphenol have been detected in urine samples.[82] Temporal glands secretion examination showed the presence of phenol, m-cresol and p-cresol (4-methyl phenol) during musth in male elephants.[83][84][85]
p-Cresol and o-cresol are also components of the human sweat. P-cresol is also a major component in pig odor.[86]
4-Ethylphenol, 1,2-dihydroxybenzene, 3-hydroxyacetophenone, 4-methyl-1,2-dihydroxybenzene, 4-methoxyacetophenone, 5-methoxysalicylic acid, salicylaldehyde, and 3-hydroxybenzoic acid are components of castoreum, the exudate from the castor sacs of the mature North American beaver (Castor canadensis) and the European beaver (Castor fiber), used in perfumery.[87]
Roles
In some cases of natural phenols, they are present in vegetative foliage to discourage herbivory, such as in the case of Western poison oak.[88]
Role in soils
In soils, it is assumed that larger amounts of phenols are released from decomposing plant litter rather than from throughfall in any natural plant community. Decomposition of dead plant material causes complex organic compounds to be slowly oxidized lignin-like humus or to break down into simpler forms (sugars and amino sugars, aliphatic and phenolic organic acids), which are further transformed into microbial biomass (microbial humus) or are reorganized, and further oxidized, into humic assemblages (fulvic and humic acids), which bind to clay minerals and metal hydroxides. There has been a long debate about the ability of plants to uptake humic substances from their root systems and to metabolize them. There is now a consensus about how humus plays a hormonal role rather than simply a nutritional role in plant physiology.
In the soil, soluble phenols face four different fates. They might be degraded and mineralized as a carbon source by heterotrophic microorganisms; they can be transformed into insoluble and recalcitrant humic substances by polymerization and condensation reactions (with the contribution of soil organisms); they might adsorb to clay minerals or form chelates with aluminium or iron ions; or they might remain in dissolved form, leached by percolating water, and finally leave the ecosystem as part of dissolved organic carbon (DOC).[6]
Leaching is the process by which cations such as iron (Fe) and aluminum (Al), as well as organic matter are removed from the litterfall and transported downward into the soil below. This process is known as podzolization and is particularly intense in boreal and cool temperate forests that are mainly constituted by coniferous pines whose litterfall is rich in phenolic compounds and fulvic acid.[89]
Role in survival
Phenolic compounds can act as protective agents, inhibitors, natural animal toxicants and pesticides against invading organisms, i.e. herbivores, nematodes, phytophagous insects, and fungal and bacterial pathogens. The scent and pigmentation conferred by other phenolics can attract symbiotic microbes, pollinators and animals that disperse fruits.[26]
Defense against predators
Volatile phenolic compounds are found in plant resin where they may attract benefactors such as parasitoids or predators of the herbivores that attack the plant.[90]
In the kelp species Alaria marginata, phenolics act as chemical defence against herbivores.[91] In tropical Sargassum and Turbinaria species that are often preferentially consumed by herbivorous fishes and echinoids, there is a relatively low level of phenolics and tannins.[92] Marine allelochemicals generally are present in greater quantity and diversity in tropical than in temperate regions. Marine algal phenolics have been reported as an apparent exception to this biogeographic trend. High phenolic concentrations occur in brown algae species (orders Dictyotales and Fucales) from both temperate and tropical regions, indicating that latitude alone is not a reasonable predictor of plant phenolic concentrations.[93]
Defense against infection
In Vitis vinifera grape, trans-resveratrol is a phytoalexin produced against the growth of fungal pathogens such as Botrytis cinerea[94] and delta-viniferin is another grapevine phytoalexin produced following fungal infection by Plasmopara viticola.[95] Pinosylvin is a pre-infectious stilbenoid toxin (i.e. synthesized prior to infection), contrary to phytoalexins, which are synthesized during infection. It is present in the heartwood of Pinaceae.[96] It is a fungitoxin protecting the wood from fungal infection.[97]
Sakuranetin is a flavanone, a type of flavonoid. It can be found in Polymnia fruticosa[98] and rice, where it acts as a phytoalexin against spore germination of Pyricularia oryzae.[99] In Sorghum, the SbF3'H2 gene, encoding a flavonoid 3'-hydroxylase, seems to be expressed in pathogen-specific 3-deoxyanthocyanidin phytoalexins synthesis,[100] for example in Sorghum-Colletotrichum interactions.[101]
6-Methoxymellein is a dihydroisocoumarin and a phytoalexin induced in carrot slices by UV-C,[102] that allows resistance to Botrytis cinerea[103] and other microorganisms.[104]
Danielone is a phytoalexin found in the papaya fruit. This compound showed high antifungal activity against Colletotrichum gloesporioides, a pathogenic fungus of papaya.[105]
Stilbenes are produced in Eucalyptus sideroxylon in case of pathogens attacks. Such compounds can be implied in the hypersensitive response of plants. High levels of phenolics in some woods can explain their natural preservation against rot.[106]
In plants, VirA is a protein histidine kinase which senses certain sugars and phenolic compounds. These compounds are typically found from wounded plants, and as a result VirA is used by Agrobacterium tumefaciens to locate potential host organisms for infection.
Role in allelopathic interactions
Natural phenols can be involved in allelopathic interactions, for example in soil[107] or in water. Juglone is an example of such a molecule inhibiting the growth of other plant species around walnut trees. The aquatic vascular plant Myriophyllum spicatum produces ellagic, gallic and pyrogallic acids and (+)-catechin, allelopathic phenolic compounds inhibiting the growth of blue-green alga Microcystis aeruginosa.[72]
Phenolics, and in particular flavonoids and isoflavonoids, may be involved in endomycorrhizae formation.[108]
Acetosyringone has been best known for its involvement in plant-pathogen recognition,[109] especially its role as a signal attracting and transforming unique, oncogenic bacteria in genus Agrobacterium. The virA gene on the Ti plasmid in the genome of Agrobacterium tumefaciens and Agrobacterium rhizogenes is used by these soil bacteria to infect plants, via its encoding for a receptor for acetosyringone and other phenolic phytochemicals exuded by plant wounds.[110] This compound also allows higher transformation efficiency in plants, in A. tumefaciens mediated transformation procedures, and so is of importance in plant biotechnology.[111]
Content in human food
Notable sources of natural phenols in human nutrition include berries, tea, beer, olive oil, chocolate or cocoa, coffee, pomegranates, popcorn, yerba maté, fruits and fruit based drinks (including cider, wine and vinegar) and vegetables. Herbs and spices, nuts (walnuts, peanut) and algae are also potentially significant for supplying certain natural phenols.
Natural phenols can also be found in fatty matrices like olive oil.[112] Unfiltered olive oil has the higher levels of phenols, or polar phenols that form a complex phenol-protein complex.
Phenolic compounds, when used in beverages, such as prune juice, have been shown to be helpful in the color and sensory components, such as alleviating bitterness.[113]
Some advocates for organic farming claim that organically grown potatoes, oranges, and leaf vegetables have more phenolic compounds and these may provide antioxidant protection against heart disease and cancer.[114] However evidence on substantial differences between organic food and conventional food is insufficient to make claims that organic food is safer or more healthy than conventional food.[115][116]
Human metabolism
In animals and humans, after ingestion, natural phenols become part of the xenobiotic metabolism. In subsequent phase II reactions, these activated metabolites are conjugated with charged species such as glutathione, sulfate, glycine or glucuronic acid. These reactions are catalysed by a large group of broad-specificity transferases. UGT1A6 is a human gene encoding a phenol UDP glucuronosyltransferase active on simple phenols.[117] The enzyme encoded by the gene UGT1A8 has glucuronidase activity with many substrates including coumarins, anthraquinones and flavones.[118]
References
- 1 2 Khoddami, A; et al. (2013). "Techniques for analysis of plant phenolic compounds". Molecules. 18 (2): 2328–75. doi:10.3390/molecules18022328.
- ↑ Amorati, R; Valgimigli, L. (2012). "Modulation of the antioxidant activity of phenols by non-covalent interactions". Org Biomol Chem. 10 (21): 4147–58. doi:10.1039/c2ob25174d. PMID 22505046.
- ↑ Robbins, Rebecca J (2003). "Phenolic Acids in Foods: An Overview of Analytical Methodology". Journal of Agricultural and Food Chemistry. 51: 2866–2887. doi:10.1021/jf026182t.
- ↑ IUPAC
- ↑ UniProt
- 1 2 Hättenschwiler, Stephan; Vitousek, Peter M. (2000). "The role of polyphenols in terrestrial ecosystem nutrient cycling". Trends in Ecology & Evolution. 15 (6): 238–243. doi:10.1016/S0169-5347(00)01861-9.
- 1 2 Klepacka, J; et al. (2011). "Phenolic Compounds as Cultivar- and Variety-distinguishing Factors in Some Plant Products". Plant Foods Hum Nutr. 66 (1): 64–69. doi:10.1007/s11130-010-0205-1. PMC 3079089
. PMID 21243436. - ↑ Mishra, BB; Tiwari, VK. (2011). "Natural products: an evolving role in future drug discovery". Eur J Med Chem. 46 (10): 4769–807. doi:10.1016/j.ejmech.2011.07.057. PMID 21889825.
- ↑ Robert E.C. Wildman, Editor. Handbook of Nutraceuticals and Functional Foods, Second Edition. CRC Press; 2 edition, 2006. ISBN 0849364094
- 1 2 Wilfred Vermerris and Ralph Nicholson. Phenolic Compound Biochemistry Springer, 2008
- ↑ Harborne, J. B. (1980). "Plant phenolics". In Bell, E. A.; Charlwood, B. V. Encyclopedia of Plant Physiology, volume 8 Secondary Plant Products. Berlin Heidelberg New York: Springer-Verlag. pp. 329–395.
- ↑ Jamison, Jennifer R. Clinical Guide to Nutrition and Dietary Supplements in Disease Management. p. 525. ISBN 0-443-07193-4.
- ↑ Chapter eight: "Biosynthesis of terpenophenolic metabolites in hop and cannabis". Jonathan E. Page and Jana Nagel, Recent Advances in Phytochemistry, 2006, Volume 40, pp. 179–210, doi:10.1016/S0079-9920(06)80042-0
- 1 2 Kulik, T. V.; Lipkovska, N. A.; Barvinchenko, V. N.; Palyanytsya, B. B.; Kazakova, O. A.; Dovbiy, O. A.; Pogorelyi, V. K. (2009). "Interactions between bioactive ferulic acid and fumed silica by UV–vis spectroscopy, FT-IR, TPD MS investigation and quantum chemical methods". Journal of Colloid and Interface Science. 339 (1): 60–8. doi:10.1016/j.jcis.2009.07.055. PMID 19691966.
- 1 2 Lacatusu, Ioana; Badea, Nicoleta; Nita, Rodica; Murariu, Alina; Miculescu, Florin; Iosub, Ion; Meghea, Aurelia (2010). "Encapsulation of fluorescence vegetable extracts within a templated sol–gel matrix". Optical Materials. 32 (6): 711–718. doi:10.1016/j.optmat.2009.09.001.
- ↑ Jeandenis, J.; Pezet, R.; Tabacchi, R. (2006). "Rapid analysis of stilbenes and derivatives from downy mildew-infected grapevine leaves by liquid chromatography–atmospheric pressure photoionisation mass spectrometry". Journal of Chromatography A. 1112 (1–2): 263–8. doi:10.1016/j.chroma.2006.01.060. PMID 16458906.
- ↑ Stintzing, F. C.; Stintzing, A. S.; Carle, R.; Frei, B.; Wrolstad, R. E. (2002). "Color and Antioxidant Properties of Cyanidin-Based Anthocyanin Pigments". Journal of Agricultural and Food Chemistry. 50 (21): 6172–6181. doi:10.1021/jf0204811. PMID 12358498.
- ↑ Karageorgou, P.; Manetas, Y. (2006). "The importance of being red when young: Anthocyanins and the protection of young leaves of Quercus coccifera from insect herbivory and excess light". Tree Physiology. 26 (5): 613–621. doi:10.1093/treephys/26.5.613. PMID 16452075.
- 1 2 "Tandem mass spectrometry of the B-type procyanidins in wine and B-type dehydrodicatechins in an autoxidation mixture of (+)-catechin and (−)-epicatechin". Weixing Sun, Miller Jack M., Journal of Mass Spectrometry, 2003, volume 38, number 4, pp. 438–446, INIST:14708334
- 1 2 He, F.; Pan, Q. H.; Shi, Y.; Zhang, X. T.; Duan, C. Q. (2009). "Identification of autoxidation oligomers of flavan-3-ols in model solutions by HPLC-MS/MS". Journal of Mass Spectrometry. 44 (5): 633–640. doi:10.1002/jms.1536. PMID 19053150.
- 1 2 Cilliers, J. J. L.; Singleton, V. L. (1989). "Nonenzymic autoxidative phenolic browning reactions in a caffeic acid model system". Journal of Agricultural and Food Chemistry. 37 (4): 890–896. doi:10.1021/jf00088a013.
- 1 2 "Nonenzymic Autoxidative Reactions of Caffeic Acid in Wine". Johannes J. L. Cilliers and Vernon L. Singleton, Am. J. Enol. Vitic., 1990, 41:1, pp. 84–86, (abstract)
- 1 2 Talcott, S. T.; Howard, L. R. (1999). "Phenolic Autoxidation is Responsible for Color Degradation in Processed Carrot Puree". Journal of Agricultural and Food Chemistry. 47 (5): 2109–2115. doi:10.1021/jf981134n. PMID 10552504.
- ↑ "Carvacrol, a Food-Additive, Provides Neuroprotection on Focal Cerebral Ischemia/Reperfusion Injury in Mice", Yu et al. 2012
- ↑ Nicholson, Ralph L.; Wilfred Vermerris; Vermerris Wilfred (2006). Phenolic compound biochemistry. Berlin: Springer. pp. 107–108. ISBN 1-4020-5163-8.
- 1 2 Bhattacharya, A; et al. (2010). "Review: The roles of plant phenolics in defence and communication during Agrobacterium and Rhizobium infection". Mol Plant Pathol. 11 (5): 705–19. doi:10.1111/j.1364-3703.2010.00625.x. PMID 20696007.
- ↑ Knaggs, Andrew R. (2001). "The biosynthesis of shikimate metabolites (1999)". Natural Product Reports. 18 (3): 334–55. doi:10.1039/b001717p. PMID 11476485.
- ↑ Lucas, Ricardo; Comelles, Francisco; Alcántara, David; Maldonado, Olivia S.; Curcuroze, Melanie; Parra, Jose L.; Morales, Juan C. (2010). "Surface-Active Properties of Lipophilic Antioxidants Tyrosol and Hydroxytyrosol Fatty Acid Esters: A Potential Explanation for the Nonlinear Hypothesis of the Antioxidant Activity in Oil-in-Water Emulsions". Journal of Agricultural and Food Chemistry. 58 (13): 8021–6. doi:10.1021/jf1009928. PMID 20524658.
- ↑ Šmejkal, Karel; Grycová, Lenka; Marek, Radek; Lemière, Filip; Jankovská, Dagmar; Forejtníková, Hana; Vančo, Ján; Suchý, Václav (2007). "C-Geranyl Compounds from Paulownia tomentosa Fruits". Journal of Natural Products. 70 (8): 1244–8. doi:10.1021/np070063w. PMID 17625893.
- ↑ Related to quinones, see for example the Zincke-Suhl reaction
- ↑ Advanced organic Chemistry, Reactions, mechanisms and structure 3ed. page Jerry March ISBN 0-471-85472-7
- ↑ Bracegirdle, Sonia; Anderson, Edward A. "Arylsilane oxidation—new routes to hydroxylated aromatics". Chem. Comm. 46: 3454. doi:10.1039/b924135c.
- ↑ Uyama, Hiroshi; Ikeda, Ryohei; Yaguchi, Shigeru; Kobayashi, Shiro (2001). "Enzymatic Polymerization of Natural Phenol Derivatives and Enzymatic Synthesis of Polyesters from Vinyl Esters in Polymers from Renewable Resources". ACS Symposium Series. 764: 113–127. doi:10.1021/bk-2000-0764.ch009. ISBN 0-8412-3646-1.
- ↑ p-tert-butylcalix[8]arene, Organic Syntheses, CV 8, 80 Article
- ↑ 2,4-Hexadienedioic acid, monomethyl ester, (Z,Z)- Organic Syntheses, Coll. Vol. 8, p.490 (1993); Vol. 66, p.180 (1988) Article
- ↑ "2,5-Cyclohexadiene-1,4-dione, 2,3,5-trimethyl". Organic Syntheses, Coll. 6: 1010. 1988.; Vol. 52, p.83 (1972) Abstract.
- ↑ Carreño, M. Carmen; González-López, Marcos; Urbano, Antonio (2006). "Oxidative De-aromatization of para-Alkyl Phenols into para-Peroxyquinols and para-Quinols Mediated by Oxone as a Source of Singlet Oxygen". Angewandte Chemie International Edition. 45 (17): 2737–2741. doi:10.1002/anie.200504605.
- ↑ Lu Y; Yan L; Wang Y; Zhou S; Fu J; Zhang J (June 2009). "Biodegradation of phenolic compounds from coking wastewater by immobilized white rot fungus Phanerochaete chrysosporium". Journal of hazardous materials. 165: 1091–7. doi:10.1016/j.jhazmat.2008.10.091. PMID 19062164.
- ↑ The Market Potential of Tannin Related Innovations in the Wine Industry, Megan Hill and Geoff Kaine, the Victorian Government Department of Primary Industries, 2007
- ↑ Carr, Miriam; Greene, Lisa M.; Knox, Andrew J.S.; Lloyd, David G.; Zisterer, Daniela M.; Meegan, Mary J. (2010). "Lead identification of conformationally restricted β-lactam type combretastatin analogues: Synthesis, antiproliferative activity and tubulin targeting effects". European Journal of Medicinal Chemistry. 45 (12): 5752–5766. doi:10.1016/j.ejmech.2010.09.033.
- ↑ Villaverde, J. J.; De Vega, A.; Ligero, P.; Freire, C. S. R.; Neto, C. P.; Silvestre, A. J. D. (2010). "Miscanthus x giganteus Bark Organosolv Fractionation: Fate of Lipophilic Components and Formation of Valuable Phenolic Byproducts". Journal of Agricultural and Food Chemistry. 58 (14): 8279–8285. doi:10.1021/jf101174x. PMID 20593898.
- ↑ Hanai, T.; Koizumi, K.; Kinoshita, T.; Arora, R.; Ahmed, F. (1997). "Prediction of pKa values of phenolic and nitrogen-containing compounds by computational chemical analysis compared to those measured by liquid chromatography". Journal of Chromatography A. 762 (1–2): 55–61. doi:10.1016/S0021-9673(96)01009-6. PMID 9098965.
- ↑ Beltran, J. (2003). "Spectrophotometric, potentiometric and chromatographic pKa values of polyphenolic acids in water and acetonitrile–water media". Analytica Chimica Acta. 484 (2): 253–264. doi:10.1016/S0003-2670(03)00334-9.
- ↑ René, Alice; Abasq, Marie-Laurence; Hauchard, Didier; Hapiot, Philippe (2010). "How Do Phenolic Compounds React toward Superoxide Ion? A Simple Electrochemical Method for Evaluating Antioxidant Capacity". Analytical Chemistry. 82 (20): 8703–10. doi:10.1021/ac101854w. PMID 20866027.
- ↑ Leedjarv, A.; Ivask, A.; Virta, M.; Kahru, A. (2006). "Analysis of bioavailable phenols from natural samples by recombinant luminescent bacterial sensors". Chemosphere. 64 (11): 1910–9. doi:10.1016/j.chemosphere.2006.01.026. PMID 16581105.
- ↑ Stobiecki, M.; Skirycz, A.; Kerhoas, L.; Kachlicki, P.; Muth, D.; Einhorn, J.; Mueller-Roeber, B. (2006). "Profiling of phenolic glycosidic conjugates in leaves of Arabidopsis thaliana using LC/MS". Metabolomics. 2 (4): 197–219. doi:10.1007/s11306-006-0031-5.
- ↑ "Teneurs en principaux flavonoides des fleurs de Cratageus monogyna Jacq et de Cratageus Laevigata (Poiret D.C.) en Fonction de la vegetation". J. L. Lamaison and A. Carnet, Plantes Medicinales Phytotherapie, 1991, XXV, pages 12–16
- ↑ Walker, Richard B.; Everette, Jace D. (2009). "Comparative Reaction Rates of Various Antioxidants with ABTS Radical Cation". Journal of Agricultural and Food Chemistry. 57 (4): 1156–61. doi:10.1021/jf8026765. PMID 19199590.
- ↑ Meyer, Anne S.; Yi, Ock-Sook; Pearson, Debra A.; Waterhouse, Andrew L.; Frankel, Edwin N. (1997). "Inhibition of Human Low-Density Lipoprotein Oxidation in Relation to Composition of Phenolic Antioxidants in Grapes (Vitis vinifera)". Journal of Agricultural and Food Chemistry. 45 (5): 1638–1643. doi:10.1021/jf960721a.
- ↑ Wolfe, K. L.; Liu, R. H. (2007). "Cellular Antioxidant Activity (CAA) Assay for Assessing Antioxidants, Foods, and Dietary Supplements". Journal of Agricultural and Food Chemistry. 55 (22): 8896–8907. doi:10.1021/jf0715166. PMID 17902627.
- ↑ Astrid; von Gadow, Elizabeth Joubert; Hansmann, Chris F. (1997). "Comparison of the Antioxidant Activity of Aspalathin with That of Other Plant Phenols of Rooibos Tea (Aspalathus linearis), α-Tocopherol, BHT, and BHA". J. Agric. Food Chem. 45 (3): 632–638. doi:10.1021/jf960281n.
- ↑ Hyršl, Pavel; Büyükgüzel, Ender; Büyükgüzel, Kemal (2007). "The effects of boric acid-induced oxidative stress on antioxidant enzymes and survivorship in Galleria mellonella". Archives of Insect Biochemistry and Physiology. 66 (1): 23–31. doi:10.1002/arch.20194. PMID 17694562.
- ↑ Kopácek, Petr; Weise, Christoph; Götz, Peter (1995). "The prophenoloxidase from the wax moth Galleria mellonella: purification and characterization of the proenzyme". Insect Biochemistry and Molecular Biology. 25 (10): 1081–1091. doi:10.1016/0965-1748(95)00040-2.
- ↑ Li, Xiang; Gao, Ming-Jun; Pan, Hong-Yu; Cui, De-Jun; Gruber, Margaret Y. (2010). "Purple Canola: ArabidopsisPAP1Increases Antioxidants and Phenolics in Brassica napus Leaves". Journal of Agricultural and Food Chemistry. 58 (3): 1639–45. doi:10.1021/jf903527y. PMID 20073469.
- ↑ Production of phenolic compounds by Spirulina maxima microalgae and their protective effects in vitro toward hepatotoxicity model. Abd El-Baky Hanaa H., El Baz Farouk K. and El-Baroty Gamal S., Advances in food sciences, 2009, volume 31, number 1, pp. 8–16, INIST:21511068
- 1 2 Babu B.; Wu J. T. (December 2008). "Production of Natural Butylated Hydroxytoluene as an Antioxidant by Freshwater Phytoplankton" (PDF). Journal of Phycology. 44 (6): 1447–1454. doi:10.1111/j.1529-8817.2008.00596.x.
- ↑ Achkar, Jihane; Xian, Mo; Zhao, Huimin; Frost, J. W. (2005). "Biosynthesis of Phloroglucinol". J. Am. Chem. Soc. 127: 5332–5333. doi:10.1021/ja042340g. PMID 15826166.
- ↑ Barros, Lillian; Dueñas, Montserrat; Ferreira, Isabel C.F.R.; Baptista, Paula; Santos-Buelga, Celestino (2009). "Phenolic acids determination by HPLC–DAD–ESI/MS in sixteen different Portuguese wild mushrooms species". Food and Chemical Toxicology. 47 (6): 1076–9. doi:10.1016/j.fct.2009.01.039. PMID 19425182.
- ↑ Delsignore, A; Romeo, F; Giaccio, M (1997). "Content of phenolic substances in basidiomycetes". Mycological Research. 101 (5): 552–6. doi:10.1017/S0953756296003206.
- ↑ Ghosh, Suman; Kebaara, Bessie W.; Atkin, Audrey L.; Nickerson, Kenneth W. (2008). "Regulation of Aromatic Alcohol Production in Candida albicans". Applied And Environmental Microbiology. 74 (23): 7211–7218. doi:10.1128/AEM.01614-08.
- ↑ Szlavko, Clara M. (1973). "Trtptophol, tyrosol and phenylethanol—The aromatic ahigher alcohols in beer". Journal of the Institute of Brewing. 79 (4): 283–288. doi:10.1002/j.2050-0416.1973.tb03541.x.
- ↑ Hogan, Deborah A. (2006). "Quorum Sensing: Alcohols in a Social Situation". Current Biology. 16 (12): R457–R458. doi:10.1016/j.cub.2006.05.035.
- ↑ Robiquet (1829). "Essai analytique des lichens de l'orseille". Annales de chimie et de physique. 42: 236–257.
- ↑ Onofrejová, L.; Vašíčková, J.; Klejdus, B.; Stratil, P.; Mišurcová, L.; Kráčmar, S.; Kopecký, J.; Vacek, J. (2010). "Bioactive phenols in algae: The application of pressurized-liquid and solid-phase extraction techniques". Journal of Pharmaceutical and Biomedical Analysis. 51 (2): 464–470. doi:10.1016/j.jpba.2009.03.027. PMID 19410410.
- ↑ Yoo, H. D.; Ketchum, S. O.; France, D.; Bair, K.; Gerwick, W. H. (2002). "Vidalenolone, a Novel Phenolic Metabolite from the Tropical Red AlgaVidaliasp". Journal of Natural Products. 65 (1): 51–53. doi:10.1021/np010319c. PMID 11809064.
- ↑ Pedersen, J. A.; Øllgaard, B. (1982). "Phenolic acids in the genus Lycopodium". Biochemical Systematics and Ecology. 10: 3–9. doi:10.1016/0305-1978(82)90044-8.
- ↑ Carnachan, S. M.; Harris, P. J. (2000). "Ferulic acid is bound to the primary cell walls of all gymnosperm families". Biochemical Systematics and Ecology. 28 (9): 865–879. doi:10.1016/S0305-1978(00)00009-0. PMID 10913848.
- ↑ Adam, K. P. (1999). "Phenolic constituents of the fern Phegopteris connectilis". Phytochemistry. 52 (5): 929–934. doi:10.1016/S0031-9422(99)00326-X.
- ↑ Flavonoids and a proanthrocyanidin from rhizomes of Selliguea feei. Baek Nam-In, Kennelly E. J., Kardono L. B. S., Tsauri S., Padmawinata K., Soejarto D. D. and Kinghorn A. D., Phytochemistry, 1994, vol. 36, no. 2, pp. 513–518, INIST:3300075
- ↑ Choudhary, M. I.; Naheed, N.; Abbaskhan, A.; Musharraf, S. G.; Siddiqui, H.; Atta-Ur-Rahman (2008). "Phenolic and other constituents of fresh water fern Salvinia molesta". Phytochemistry. 69 (4): 1018–1023. doi:10.1016/j.phytochem.2007.10.028. PMID 18177906.
- ↑ Krokene, P.; Nagy, N. E.; Krekling, T. (2008). "Traumatic Resin Ducts and Polyphenolic Parenchyma Cells in Conifers". Induced Plant Resistance to Herbivory. p. 147. doi:10.1007/978-1-4020-8182-8_7. ISBN 978-1-4020-8181-1.
- 1 2 Nakai, S. (2000). "Myriophyllum spicatum-released allelopathic polyphenols inhibiting growth of blue-green algae Microcystis aeruginosa". Water Research. 34 (11): 3026–3032. doi:10.1016/S0043-1354(00)00039-7.
- ↑ Erickson, M.; Miksche, G. E. (1974). "On the occurrence of lignin or polyphenols in some mosses and liverworts". Phytochemistry. 13 (10): 2295–2299. doi:10.1016/0031-9422(74)85042-9.
- ↑ Vogelsang, K.; Schneider, B.; Petersen, M. (2005). "Production of rosmarinic acid and a new rosmarinic acid 3′-O-β-D-glucoside in suspension cultures of the hornwort Anthoceros agrestis Paton". Planta. 223 (2): 369–373. doi:10.1007/s00425-005-0089-8. PMID 16133208.
- ↑ Hackman, R. H.; Pryor, M. G.; Todd, A. R. (1948). "The occurrence of phenolic substances in arthropods". The Biochemical Journal. 43 (3): 474–477. doi:10.1042/bj0430474. PMC 1274717
. PMID 16748434. - ↑ Acetosyringone on www.pherobase.com, the pheromones data base
- ↑ Aldrich, J. R.; Blum, M. S.; Duffey, S. S.; Fales, H. M. (1976). "Male specific natural products in the bug, Leptoglossus phyllopus: Chemistry and possible function". Journal of Insect Physiology. 22 (9): 1201–1206. doi:10.1016/0022-1910(76)90094-9.
- ↑ Aldrich, J. R.; Blum, M. S.; Fales, H. M. (1979). "Species-specific natural products of adult male leaf-footed bugs (Hemiptera: Heteroptera)". Journal of Chemical Ecology. 5: 53–62. doi:10.1007/BF00987687.
- ↑ Nature, Pheromones: Exploitation of gut bacteria in the locust
- ↑ Semiochemical - 2-methoxy-4-vinylphenol, Pherobase.com
- ↑ Marlier, J., Y. Quinet, and J. Debiseau. "Defensive Behaviour and Biological Activities of the Abdominal Secretion in the Ant Crematogaster Scutellaris (Hymenoptera: Myrmicinae)." Behavioural Processes 67.3 (2004): 427-40. Print.
- ↑ Urinary, temporal gland, and breath odors from Asian elephants of Mudumalai National Park. L. E. L. Rasmussen and V. Krishnamurthy, Gajah, the Journal of the Asian Elephant Specialist Group, January 2001, Number 20, pages 1-8 (article)
- ↑ Rasmussen, L. E. L.; Perrin, T. E. (1999). "Physiological Correlates of Musth". Physiology & Behavior. 67 (4): 539–49. doi:10.1016/S0031-9384(99)00114-6. PMID 10549891.
- ↑ "Musth in elephants". Deepa Ananth, Zoo's print journal, 15(5), pp. 259-262 (article)
- ↑ Adams, J.; Garcia, A.; Foote, C. S. (1978). "Some chemical constituents of the secretion from the temporal gland of the African elephant (Loxodonta africana)". Journal of Chemical Ecology. 4: 17–25. doi:10.1007/BF00988256.
- ↑
- ↑ m�Ller-Schwarze, D.; Houlihan, P. W. (1991). "Pheromonal activity of single castoreum constituents in beaver,Castor canadensis". Journal of Chemical Ecology. 17 (4): 715–34. doi:10.1007/BF00994195. PMID 24258917. replacement character in
|last1=at position 2 (help) - ↑ C.Michael Hogan (2008) Western poison-oak: Toxicodendron diversilobum, GlobalTwitcher, ed. Nicklas Stromberg
- ↑ Biogeochemistry: An Analysis of Global Change. 2nd Edition. William H. Schlesinger, Academic Press, 1997, 108, 135, 152–158, 180–183, 191–194
- ↑ Plant Resins: Chemistry, evolution, ecology, and ethnobotany, by Jean Langenheim, Timber Press, Portland, Oregon. 2003
- ↑ Steinberg, P. D. (1984). "Algal Chemical Defense Against Herbivores: Allocation of Phenolic Compounds in the Kelp Alaria marginata". Science. 223 (4634): 405–407. doi:10.1126/science.223.4634.405. PMID 17829890.
- ↑ Steinberg, P. D. (1986). "Chemical defenses and the susceptibility of tropical marine brown algae to herbivores". Oecologia. 69 (4): 628–630. doi:10.1007/BF00410374.
- ↑ Targett, Nancy M.; Coen, Loren D.; Boettcher, Anne A.; Tanner, Christopher E. (1992). "Biogeographic Comparisons of Marine Algal Polyphenolics: Evidence against a Latitudinal Trend". Oecologia. 89 (4): 464–470. doi:10.1007/BF00317150. JSTOR 4219911.
- ↑ F. Favaron, M. Lucchetta, S. Odorizzi, A. T. Pais da Cunha and L. Sella (2009). "The role of grape polyphenols on trans-resveratrol activity against Botrytis cinerea and of fungal laccase on the solubility of putative grape PR proteins," (PDF). Journal of Plant Pathology. 91 (3): 579–588. doi:10.4454/jpp.v91i3.549. Retrieved 2011-01-22.
- ↑ Timperio, A. M.; d’Alessandro, A.; Fagioni, M.; Magro, P.; Zolla, L. (2012). "Production of the phytoalexins trans-resveratrol and delta-viniferin in two economy-relevant grape cultivars upon infection with Botrytis cinerea in field conditions". Plant Physiology and Biochemistry. 50 (1): 65–71. doi:10.1016/j.plaphy.2011.07.008. PMID 21821423.
- ↑ Hovelstad, H.; Leirset, I.; Oyaas, K.; Fiksdahl, A. (2006). "Screening Analyses of Pinosylvin Stilbenes, Resin Acids and Lignans in Norwegian Conifers". Molecules. 11 (1): 103–114. doi:10.3390/11010103. PMID 17962750.
- ↑ Lee, S. K.; Lee, H. J.; Min, H. Y.; Park, E. J.; Lee, K. M.; Ahn, Y. H.; Cho, Y. J.; Pyee, J. H. (2005). "Antibacterial and antifungal activity of pinosylvin, a constituent of pine". Fitoterapia. 76 (2): 258–260. doi:10.1016/j.fitote.2004.12.004. PMID 15752644.
- ↑ Sakuranetin on home.ncifcrf.gov
- ↑ Sakuranetin, a flavonone phytoalexin from ultraviolet-irradiated rice leaves, Kodama O., Miyakawa J., Akatsuka T. and Kiyosawa S., Phytochemistry, 1992, volume 31, number 11, pp. 3807–3809, INIST:4682303
- ↑ Shih, C. -H.; Chu, I. K.; Yip, W. K.; Lo, C. (2006). "Differential Expression of Two Flavonoid 3'-Hydroxylase cDNAs Involved in Biosynthesis of Anthocyanin Pigments and 3-Deoxyanthocyanidin Phytoalexins in Sorghum". Plant and Cell Physiology. 47 (10): 1412–1419. doi:10.1093/pcp/pcl003. PMID 16943219.
- ↑ "Biosynthesis and regulation of 3-deoxyanthocyanidin phytoalexins induced during Sorghum-Colletotrichum interaction: Heterologous expression in maize". Chopra Surinder, Gaffoor Iffa, Ibraheem Farag, Poster at the American Society of Plant Biologists (abstract)
- ↑ Mercier, J.; Arul, J.; Ponnampalam, R.; Boulet, M. (1993). "Induction of 6-Methoxymellein and Resistance to Storage Pathogens in Carrot Slices by UV-C". Journal of Phytopathology. 137: 44–54. doi:10.1111/j.1439-0434.1993.tb01324.x.
- ↑ Hoffman, R.; Heale, J. B. (1987). "Cell death, 6-methoxymellein accumulation, and induced resistance to Botrytis cinerea in carrot root slices". Physiological and Molecular Plant Pathology. 30: 67–75. doi:10.1016/0885-5765(87)90083-X.
- ↑ Kurosaki, F.; Nishi, A. (1983). "Isolation and antimicrobial activity of the phytoalexin 6-methoxymellein from cultured carrot cells". Phytochemistry. 22 (3): 669–672. doi:10.1016/S0031-9422(00)86959-9.
- ↑ Danielone, a phytoalexin from papaya fruit. Echeverri F., Torres F., Quinones W., Cardona G., Archbold R., Roldan J., Brito I., Luis J. G., and Lahlou U. E.-H., Phytochemistry, 1997, vol. 44, no. 2, pp. 255–256, INIST:2558881
- ↑ Hart, John H.; Hillis, W. E. (1974). "Inhibition of wood-rotting fungi by stilbenes and other polyphenols in Eucalyptus sideroxylon". Phytopathology. 64 (7): 939–48. doi:10.1094/Phyto-64-939.
- ↑ Blum, Udo; Shafer, Steven R.; Lehman, Mary E. (1999). "Evidence for Inhibitory Allelopathic Interactions Involving Phenolic Acids in Field Soils: Concepts vs. an Experimental Model". Critical Reviews in Plant Sciences. 18 (5): 673–93. doi:10.1080/07352689991309441.
- ↑ Morandi, D. (1996). "Occurrence of phytoalexins and phenolic compounds in endomycorrhizal interactions, and their potential role in biological control". Plant and Soil. 185 (2): 241–305. doi:10.1007/BF02257529.
- ↑ "Involvement of acetosyringone in plant-pathogen recognition". Baker C. Jacyn, Mock Norton M., Whitaker Bruce D., Roberts Daniel P., Rice Clifford P., Deahl Kenneth L. and Aver'Yanov Andrey A., Biochemical and biophysical research communications, 2005, volume 328, number 1, pp. 130–136, INIST:16656426
- ↑ Schrammeijer, B.; Beijersbergen, A.; Idler, K. B.; Melchers, L. S.; Thompson, D. V.; Hooykaas, P. J. (2000). "Sequence analysis of the vir-region from Agrobacterium tumefaciens octopine Ti plasmid pTi15955". Journal of Experimental Botany. 51 (347): 1167–1169. doi:10.1093/jexbot/51.347.1167. PMID 10948245.
- ↑ Sheikholeslam, S. N.; Weeks, D. P. (1987). "Acetosyringone promotes high efficiency transformation of Arabidopsis thaliana explants by Agrobacterium tumefaciens". Plant Molecular Biology. 8 (4): 291–298. doi:10.1007/BF00021308.
- ↑ Gutfinger, T. (1981). "Polyphenols in olive oils". Journal of the American Oil Chemists Society. 58 (11): 966–8. doi:10.1007/BF02659771.
- ↑ Donovan, Jennifer L.; Meyer, Anne S.; Waterhouse, Andrew L. (1998). "Phenolic Composition and Antioxidant Activity of Prunes and Prune Juice (Prunus domestica)". Journal of Agricultural and Food Chemistry. 46 (4): 1247–1252. doi:10.1021/jf970831x.
- ↑ Asami, Danny K. "Comparison of the Total Phenolic and Ascorbic Acid Content of Freeze-Dried and Air-Dried Marionberry, Strawberry, and Corn Grown Using Conventional, Organic, and Sustainable Agricultural Practices". Journal of Agricultural and Food Chemistry (American Chemical Society), 51 (5), 1237–1241, 2003. 10.1021/jf020635c S0021-8561(02)00635-0. Retrieved 10-Apr-2006.
- ↑ Smith-Spangler, C.; Brandeau, M. L.; Hunter, G. E.; Bavinger, J. C.; Pearson, M.; Eschbach, P. J.; Sundaram, V.; Liu, H.; Schirmer, P.; Stave, C.; Olkin, I.; Bravata, D. M. (September 4, 2012). "Are organic foods safer or healthier than conventional alternatives?: a systematic review". Annals of Internal Medicine. 157 (5): 348–366. doi:10.7326/0003-4819-157-5-201209040-00007. PMID 22944875.
- ↑ Blair, Robert. (2012). Organic Production and Food Quality: A Down to Earth Analysis. Wiley-Blackwell, Oxford, UK. ISBN 978-0-8138-1217-5
- ↑ "Cloning and substrate specificity of a human phenol UDP glucuronosyltransferase expressed in COS-7 cells". David Harding, Sylvie Fournel-Gigleux, Michael R. Jackson and Brian Burchell, Proc. Natl. Acad. Sci. USA, November 1988, Volume 85, pp. 8381–8385, (abstract)
- ↑ Ritter J. K.; Chen F.; Sheen Y. Y.; Tran H. M.; Kimura S.; Yeatman M. T.; Owens I. S. (Mar 1992). "A novel complex locus UGT1 encodes human bilirubin, phenol, and other UDP-glucuronosyltransferase isozymes with identical carboxyl termini". J Biol Chem. 267 (5): 3257–61. PMID 1339448.
Books
- Biochemistry of phenolic compounds, by J. B. Harborne, 1964, Academic Press (Google Books)
- Plant phenolics, by Pascal Ribéreau-Gayon, 1972, Oliver and Boyd Editions (Google Books, ISBN 0050025120, ISBN 9780050025123)
- The Biochemistry of plant phenolics, by C. F. van Sumere and P. J. Lea, Phytochemical Society of Europe, 1985, Clarendon Press (Google Books, ISBN 9780198541707)
- Biochemistry of Phenolic Compounds, by Wilfred Vermerris and Ralph Nicholson, 2006, Springer (Google book)
External links
Databases
- Phenol-Explorer (phenol-explorer.eu), a database dedicated to phenolics found in food by Augustin Scalbert, INRA Clermont-Ferrand, Unité de Nutrition Humaine (Human food unit)
- Phenols at ChEBI (Chemical Entities of Biological Interest)
- ChEMBLdb, a database of bioactive drug-like small molecules by the European Bioinformatics Institute
- Foodb, a database of compounds found in food







