Glucosinolate

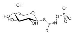
Glucosinolate structure; side group R varies

The glucosinolates are natural components of many pungent plants such as mustard, cabbage, and horseradish. The pungency of those plants is due to mustard oils produced from glucosinolates when the plant material is chewed, cut, or otherwise damaged. These natural chemicals most likely contribute to plant defence against pests and diseases, but are also enjoyed in small amounts by humans and are believed to contribute to the health promoting properties of cruciferous vegetables.

Chemistry

Glucosinolates constitute a natural class of organic compounds that contain sulfur and nitrogen and are derived from glucose and an amino acid. They are water-soluble anions and can be leached into the water during cooking.[1] Glucosinolates belong to the glucosides. Every glucosinolate contains a central carbon atom, which is bound via a sulfur atom to the thioglucose group and via a nitrogen atom to a sulfate group (making a sulfated aldoxime). In addition, the central carbon is bound to a side group; different glucosinolates have different side groups, and it is variation in the side group that is responsible for the variation in the biological activities of these plant compounds. Some glucosinolates:

Plants with glucosinolates

Glucosinolates occur as secondary metabolites of almost all plants of the order Brassicales (e.g. families Brassicaceae = Cruciferae, Capparidaceae, and Caricaceae), but also in the genus Drypetes (family Euphorbiaceae).[2] For example, glucosinolates occur in cabbages (white cabbage, Chinese cabbage, broccoli), watercress, horseradish, capers and radishes. They are typically in parts consumed, with the pungent taste of these vegetables due to breakdown products (isothiocyanates or mustard oils) of glucosinolates. The glucosinolates are also found in the seeds of these plants.[3]

Biochemistry

Natural diversity from a few amino acids

About 132 different glucosinolates are known to occur naturally in plants. They are synthesized from certain amino acids: So-called aliphatic glucosinolates derived from mainly methionine, but also alanine, leucine, isoleucine, or valine. (Most glucosinolates are actually derived from chain-elongated homologues of these amino acids, e.g. glucoraphanin is derived from dihomomethionine, which is methionine chain-elongated twice). Aromatic glucosinolates include indolic glucosinolates, such as glucobrassicin, derived from tryptophan and others from phenylalanine, its chain-elongated homologue homophenylalanine, and sinalbin derived from tyrosine.[4]

Enzymatic activation

The plants contain the enzyme myrosinase, which, in the presence of water, cleaves off the glucose group from a glucosinolate. The remaining molecule then quickly converts to an isothiocyanate, a nitrile, or a thiocyanate; these are the active substances that serve as defense for the plant. Glucosinolates are also called mustard oil glycosides. The standard product of the reaction is the isothiocyanate (mustard oil); the other two products mainly occur in the presence of specialised plant proteins that alter the outcome of the reaction.[5]

A mustard oil glycoside 1 is converted to an isothiocyanate 3 (mustard oil). Glucose 2 is liberated as well, only the β-form is shown.– R = allyl, benzyl, 2-phenylethyl etc.

To prevent damage to the plant itself, the myrosinase and glucosinolates are stored in separate compartments of the cell and come together only or mainly under conditions of physical injury.

Biological effects

Humans and other mammals

Toxicity

The use of glucosinolate-containing crops as primary food source for animals can have negative effects if the concentration of glucosinolate is higher than what is acceptable for the animal in question. Some glucosinolates have been shown to have toxic effects (mainly as goitrogens) in both humans and animals at high doses.[6] However, tolerance level to glucosinolates varies even within the same genus (e.g. Acomys cahirinus and Acomys russatus).[7]

Taste and eating behavior

The glucosinolate sinigrin, among others, was shown to be responsible for the bitterness of cooked cauliflower and Brussels sprouts.[8] Glucosinolate have been shown to alter animal eating behavior.[9]

Research

Plants producing large amounts of glucosinolates are under basic research for potential actions against cancer. The hydrolysis product of the glucoraphanin (the primary glucosinolate in broccoli), sulforaphane, being the best known example.[10][11] Most recently, a randomized controlled study evaluating the effects of broccoli seed supplementation on autism spectrum disorder is underway.[12]

The make up of glucosinolates and their hydrolysis products varies by vegetable.[13]

Insects

Substances derived from plants producing large amounts of glucosinolates can serve as natural pesticides.[14]

A characteristic, specialised insect fauna is found on glucosinolate-containing plants, including familiar butterflies such as large white, small white, and orange tip, but also certain aphids, moths, saw flies, flea beetles, etc. For instance, the large white butterfly oviposits its eggs on these glucosinolate-containing plants because they help the larvae survive.[15] The biochemical basis of these specialisations are being unraveled. The whites and orange tips all possess the so-called nitrile specifier protein, which diverts glucosinolate hydrolysis toward nitriles rather than reactive isothiocyanates.[16] In contrast, the diamondback moth (Plutella xylostella) possesses a completely different protein, glucosinolate sulfatase, which desulfates glucosinolates, thereby making them unfit for degradation to toxic products by myrosinase.[17]

Other kinds of insects (specialised sawflies and aphids) sequester glucosinolates.[18] In specialised aphids, but not in sawflies, a distinct animal-myrosinase is found in muscle tissue, leading to degradation of sequestered glucosinolates upon aphid tissue destruction.[19] This diverse panel of biochemical solutions to the same plant chemical plays a key role in current attempts to understand the evolution of plant-insect relationships.[20]

See also

References

  1. Bongoni, R; Verkerk, R; Steenbekkers, B; Dekker, M; Stieger. "Evaluation of Different Cooking Conditions on Broccoli (Brassica oleracea var. italica) to Improve the Nutritional Value and Consumer Acceptance.". Plant foods for human nutrition. 69: 228–234. doi:10.1007/s11130-014-0420-2.
  2. James E. Rodman; Kenneth G. Karol; Robert A. Price; Kenneth J. Sytsma (1996). "Molecules, Morphology, and Dahlgren's Expanded Order Capparales". Systematic Botany. 21 (3): 289. doi:10.2307/2419660. JSTOR 2419660.
  3. Agerbirk N, Olsen CE (2012). "Glucosinolate structures in evolution". Phytochemistry. 77: 16–45. doi:10.1016/j.phytochem.2012.02.005. PMID 22405332.
  4. Niels Agerbirk; Carl Erik Olsen (2012). "Glucosinolate structures in evolution". Phytochemistry. 77: 16–45. doi:10.1016/j.phytochem.2012.02.005. PMID 22405332.
  5. Burow, M; Bergner, A; Gershenzon, J; Wittstock, U (2007). "Glucosinolate hydrolysis in Lepidium sativum--identification of the thiocyanate-forming protein.". Plant molecular biology. 63 (1): 49–61. doi:10.1007/s11103-006-9071-5. PMID 17139450.
  6. Cornell University Department of Animal Science
  7. Samuni Blank, M; Arad, Z; Dearing, MD; Gerchman, Y; Karasov, WH; Izhaki, I (2013). "Friend or foe? Disparate plant–animal interactions of two congeneric rodents". Evolutionary Ecology. 27 (6): 1069–1080. doi:10.1007/s10682-013-9655-x.
  8. Van Doorn, Hans E; Van Der Kruk, Gert C; Van Holst, Gerrit-Jan; Raaijmakers-Ruijs, Natasja C M E; Postma, Erik; Groeneweg, Bas; Jongen, Wim H F (1998). "The glucosinolates sinigrin and progoitrin are important determinants for taste preference and bitterness of Brussels sprouts". Journal of the Science of Food and Agriculture. 78: 30–38. doi:10.1002/(SICI)1097-0010(199809)78:1<30::AID-JSFA79>3.0.CO;2-N.
  9. Samuni-Blank, M; Izhaki, I; Dearing, MD; Gerchman, Y; Trabelcy, B; Lotan, A; Karasov, WH; Arad, Z (2012). Intraspecific directed deterrence by the mustard oil bomb in a desert plant. Current Biology. 22:1-3.
  10. Srinibas Das; Amrish Kumar Tyagi; Harjit Kaur (2000). "Cancer modulation by glucosinolates: A review" (PDF). Current Science. 79 (12): 1665.
  11. Navarro SL, Li F, Lampe JW (2011). "Mechanisms of action of isothiocyanates in cancer chemoprevention: an update". Food Funct. 2 (10): 579–87. doi:10.1039/c1fo10114e. PMC 3204939Freely accessible. PMID 21935537.
  12. "Sulforaphane Treatment of Children With Autism Spectrum Disorder (ASD) - Full Text View - ClinicalTrials.gov". clinicaltrials.gov. Retrieved 2016-11-16.
  13. Carlson, Diana; Daxenbichler, ME (1987). "Glucosinolates in Crucifer Vegetables: Broccoli, Brussels Sprouts, Cauliflower, Collards, Kale, Mustard Greens, and Kohlrabi". J. AMER. SOC. HORT. SCI. 112: 173–178 via National Agricultural Library Digital Collections.
  14. "The efficacy of biofumigant meals and plants to control wireworm populations". Industrial Crops and Products. 31: 245–254. doi:10.1016/j.indcrop.2009.10.012.
  15. Chun, Ma Wei. Dynamics of Feeding Responses in Pieris Brassicae Linn as a Function of Chemosensory Input: A Behavioural, Ultrastructural and Electrophysiological Study. Wageningen: H. Veenman, 1972. Print.
  16. Wittstock, U; Agerbirk, N; Stauber, EJ; Olsen, CE; Hippler, M; Mitchell-Olds, T; Gershenzon, J; Vogel, H (2004). "Successful herbivore attack due to metabolic diversion of a plant chemical defense". Proceedings of the National Academy of Sciences of the United States of America. 101 (14): 4859–64. Bibcode:2004PNAS..101.4859W. doi:10.1073/pnas.0308007101. PMC 387339Freely accessible. PMID 15051878.
  17. Ratzka, A.; Vogel, H.; Kliebenstein, D. J.; Mitchell-Olds, T.; Kroymann, J. (2002). "Disarming the mustard oil bomb". Proceedings of the National Academy of Sciences. 99 (17): 11223–11228. Bibcode:2002PNAS...9911223R. doi:10.1073/pnas.172112899.
  18. Müller, C; Agerbirk, N; Olsen, CE; Boevé, JL; Schaffner, U; Brakefield, PM (2001). "Sequestration of host plant glucosinolates in the defensive hemolymph of the sawfly Athalia rosae". Journal of chemical ecology. 27 (12): 2505–16. doi:10.1023/A:1013631616141. PMID 11789955.
  19. Bridges, M.; Jones, A. M. E.; Bones, A. M.; Hodgson, C.; Cole, R.; Bartlet, E.; Wallsgrove, R.; Karapapa, V. K.; Watts, N.; Rossiter, J. T. (2002). "Spatial organization of the glucosinolate-myrosinase system in brassica specialist aphids is similar to that of the host plant". Proceedings of the Royal Society B. 269 (1487): 187–191. doi:10.1098/rspb.2001.1861.
  20. Wheat, C. W.; Vogel, H.; Wittstock, U.; Braby, M. F.; Underwood, D.; Mitchell-Olds, T. (2007). "The genetic basis of a plant insect coevolutionary key innovation". Proceedings of the National Academy of Sciences. 104 (51): 20427–31. Bibcode:2007PNAS..10420427W. doi:10.1073/pnas.0706229104. PMC 2154447Freely accessible. PMID 18077380.

External links

This article is issued from Wikipedia - version of the 11/17/2016. The text is available under the Creative Commons Attribution/Share Alike but additional terms may apply for the media files.