Mebutamate
![]() | |
| Clinical data | |
|---|---|
| ATC code | N05BC04 (WHO) |
| Legal status | |
| Legal status |
|
| Identifiers | |
| |
| CAS Number |
64-55-1 |
| PubChem (CID) | 6151 |
| ChemSpider |
5919 |
| UNII |
5H8F175RER |
| KEGG |
D01807 |
| ChEMBL |
CHEMBL1200922 |
| ECHA InfoCard | 100.000.534 |
| Chemical and physical data | |
| Formula | C10H20N2O4 |
| Molar mass | 232.277 g/mol |
| 3D model (Jmol) | Interactive image |
| |
| |
| | |
Mebutamate (Capla, Dormate) is an anxiolytic and sedative drug with antihypertensive effects of the carbamate class.[1][2] It has effects comparable to those of barbiturates such as secobarbital, but is only around 1/3 the potency of secobarbital as a sedative. Side effects include dizziness and headaches.[3]
Mebutamate is one of many GABAergic drugs which act via allosteric agonism of the GABAA receptor at the β-subreceptor similar to barbiturates. In contrast, benzodiazepines act at the α-subreceptor. As such, carbamates and barbiturates, possess analgesic properties which the benzodiazepine class of drugs do not.
Other carbamates with the same mechanism of action and pharmacological properties include meprobamate, carisoprodol, felbamate, and tybamate).
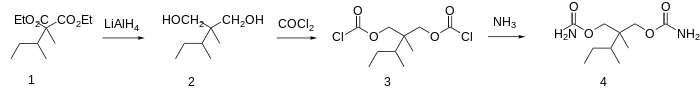
Synthesis

Structural analogs
- Lorbamate
- Carisoprodol
- Pentabamate
- Mebutamate
- Meprobamate
- Felbamate
- Tybamate
References
- ↑ Index Nominum 2000: International Drug Directory. Taylor & Francis. January 2000. p. 634. ISBN 978-3-88763-075-1.
- ↑ The Merck Index (14 ed.). Merck Publishers. 5813. ISBN 978-0-911910-00-1.
- ↑ Tetreault, L.; Richer, P.; Bordeleau, J. M. (1967). "Hypnotic properties of mebutamate: A comparative study of mebutamate, secobarbital and placebo in psychiatric patients". Canadian Medical Association journal. 97 (8): 395–398. PMC 1923261
. PMID 6037393.
