Elfazepam
![]() | |
| Clinical data | |
|---|---|
| ATC code | none |
| Identifiers | |
| |
| CAS Number |
52042-01-0 |
| PubChem (CID) | 65445 |
| ChemSpider |
58907 |
| UNII |
RM53R5R2BL |
| Chemical and physical data | |
| Formula | C19H18ClFN2O3S |
| Molar mass | 408.87 |
| 3D model (Jmol) | Interactive image |
| |
| |
| (verify) | |
Elfazepam[1] is a drug which is a benzodiazepine derivative.[2] Presumably it has sedative and anxiolytic actions like those of other benzodiazepines.
It has appetite stimulating properties in animals.[3][4] The mechanism for increasing feed intake is not clear and has been subject of investigation.[5] It has been found that elfazepam suppresses gastric acid secretion.[6]
Synthesis

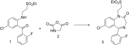
Elfazepam synthesis: U.S. Patent 4,010,154
Benzophenone derivative 1 is reacted with a glycine equvalent masked as an oxazolidine-2,5-dione.
References
- ↑ U.S. Patent 4,010,154
- ↑ Psychotropics.dk
- ↑ Baile, CA.; McLaughlin, CL. (Nov 1979). "A review of the behavioral and physiological responses to elfazepam, a chemical feed intake stimulant.". J Anim Sci. 49 (5): 1371–95. PMID 396294.
- ↑ Baile, CA.; Naylor, J.; McLaughlin, CL.; Catanzaro, CA. (Aug 1981). "Endotoxin-elicited fever and anorexia and elfazepam-stimulated feeding in sheep.". Physiol Behav. 27 (2): 271–7. doi:10.1016/0031-9384(81)90269-9. PMID 7029576.
- ↑ Keim, DA.; Baile, CA.; Bolton, JR.; Wangsness, PJ.; Della Fera, MA. (Jan 1979). "Abomasal function following injections of elfazepam and 9-aza-cannabinol.". Pharmacol Biochem Behav. 10 (1): 63–70. doi:10.1016/0091-3057(79)90170-9. PMID 35793.
- ↑ Van Den Broek, GW.; Robertson, J.; Keim, DA.; Baile, CA. (Jul 1979). "Feeding and depression of abomasal secretion in sheep elicited by elfazepam and 9-aza-cannabinol.". Pharmacol Biochem Behav. 11 (1): 51–6. doi:10.1016/0091-3057(79)90296-x. PMID 493298.
This article is issued from Wikipedia - version of the 4/2/2016. The text is available under the Creative Commons Attribution/Share Alike but additional terms may apply for the media files.
