Demoxepam
![]() | |
| Pharmacokinetic data | |
|---|---|
| Biological half-life | 35–40 hours |
| Identifiers | |
| |
| CAS Number |
963-39-3 |
| PubChem (CID) | 13756 |
| ChemSpider |
10441314 |
| UNII |
8X1XP5M0SB |
| KEGG |
D02600 |
| ChEMBL |
CHEMBL1597677 |
| ECHA InfoCard | 100.012.287 |
| Chemical and physical data | |
| Formula | C15H11ClN2O2 |
| Molar mass | 286.713 |
| 3D model (Jmol) | Interactive image |
| |
| |
| | |
Demoxepam[1] is a drug which is a benzodiazepine derivative. It is a metabolite of chlordiazepoxide and has anticonvulsant properties[2][3] and presumably other characteristic benzodiazepine properties.
Synthesis
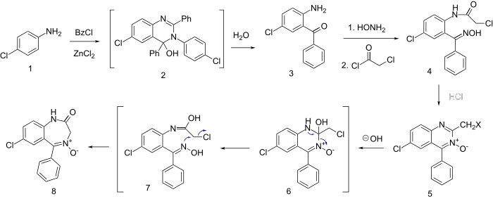
Demoxepam is also an intermediate in the synthesis of oxazepam; it is also used in one of the syntheses of medazepam. It can be considered directly analogous/synonoymous with the synthesis of chlordiazepoxide, with the exception that instead of methylamine, hydroxide ion is the choice of base; here acid is not used for the cyclodehydration step though.

Demoxepam synthesis: Reeder Earl, Sternbach Leo Henryk, U.S. Patent 3,136,815 (1959 to Hoffmann La Roche).
See also
References
- ↑ US Patent 3136815
- ↑ "nortetrazepam". psychotropics.dk. 2003. Retrieved 7 December 2009.
- ↑ "LIST OF INTERNATIONAL NON-PROPRIETARY NAMES (INNS), PROVIDED FOR PHARMACEUTICAL SUBSTANCES BY THE WORLD HEALTH ORGANIZATION, WHICH ARE FREE OF DUTY" (PDF). Official Journal of the European Communities. eur-lex.europa.eu. 23 October 2001. Retrieved 7 December 2009.
This article is issued from Wikipedia - version of the 5/8/2016. The text is available under the Creative Commons Attribution/Share Alike but additional terms may apply for the media files.
