Lynestrenol
![]() | |
| Clinical data | |
|---|---|
| AHFS/Drugs.com | International Drug Names |
| ATC code |
G03AC02 (WHO) G03DC03 (WHO); G03AA03 (WHO) G03AB02 (WHO) G03FA07 (WHO) G03FB02 (WHO) (combinations with estrogens) |
| Identifiers | |
| |
| Synonyms | Lynenol;[1] 19-Nor-17α-pregn-4-en-20-yn-17-ol[1] |
| CAS Number |
52-76-6 |
| PubChem (CID) | 5857 |
| ChemSpider |
5648 |
| UNII |
N2Z8ALG4U5 |
| KEGG |
D01580 |
| Chemical and physical data | |
| Formula | C20H28O |
| Molar mass | 284.436 g/mol |
| 3D model (Jmol) | Interactive image |
| |
| |
| (verify) | |
Lynestrenol (INN, USAN, BAN, JAN), also known as 17α-ethynyl-3-desoxy-19-nortestosterone or 17α-ethynylestr-4-en-17β-ol, is a steroidal progestin of the 19-nortestosterone group. It is a synthetic, orally active progestogen and has a strong progestogenic effect on the uterine endometrium (transforming proliferative endometrium into secretory one), inhibits secretion of gonadotropins, suppresses maturation of follicles in the ovaries and ovulation, and reduces menstrual bleeding. It is used as an oral contraceptive and in the treatment of gynecological disorders.
Pharmacology
Lynestrenol itself does not bind to the progesterone receptor and is inactive as a progestogen.[2][3] It is a prodrug, and upon oral administration, is rapidly and almost completely converted into norethisterone, a potent progestogen, in the liver during first-pass metabolism.[2][3] No other metabolites besides norethisterone are formed from lynestrenol.[3] As such, its pharmacological activity is essentially identical to that of norethisterone.[4] The conversion of lynestrenol into norethisterone is catalyzed by CYP2C9 (28.0%), CYP2C19 (49.8%), and CYP3A4 (20.4%), while other cytochrome P450 enzymes are each responsible for no more than 1.0% of the total conversion.[3] It appears that lynestrenol first undergoes hydroxylation of the C3 position, forming etynodiol as an intermediate,[5] followed by oxygenation of the hydroxyl group to form norethisterone.[6]
The peak blood are reached within 2 to 4 hours after oral administration, 97% of the administered dose being bound to plasma proteins. Lynestrenol and its metabolites are predominantly excreted in the urine, less through feces, active metabolite norethisterone elimination half-life being 16 to 17 hours.
Chemistry
Lynestrenol is a derivative of 19-nortestosterone, and is a member of the estrane subgroup.[4][7] It differs from norethisterone and etynodiol only by the lack of a ketone group and hydroxyl group at the C3 position, respectively.[6]
Synthesis
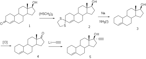
In another approach to analogs, nortestosterone (1) is first converted to the dithioketal (2) by treatment with dithioglycol in the presence of boron trifluoride. (The mild conditions of this reaction compared to those usually employed in preparing the oxygen ketals probably accounts for the double bond remaining at 4,5). Treatment of this derivative with sodium in liquid ammonia affords the 3-desoxy analog (3). Oxidation by means of Jones reagent followed by ethynylation of the 17-ketone leads to the orally active progestin (6).
History
Lynestrenol was developed by the Dutch pharmaceutical company Organon in the late 1950s.[10] It received a Dutch patent for lynestrenol in 1957,[10] and lynestrenol subsequently became a component of Lyndiol, the first Dutch contraceptive pill, in the early 1960s.[10][1] Around this time, pre- and post-marketing clinical trials of lynestrenol were conducted, and in 1965, a study consisting of 200 Dutch women was published.[10] Lynestrenol was approved, in the United Kingdom, in combination with mestranol in 1963 and in combination with ethinyl estradiol in 1969.[11]
Lynestrenol has been marketed alone as Exluton and Exlutona, in combination with mestranol as Anacyclin, Lyndiol, Lyndiol 1, Lyndiol 2.5, Nonovul, and Noracycline, and in combination with ethinyl estradiol as Anacyclin, Fysioquens, and Minilyn, among other formulations and brand names.[12][13] It has been used mainly in Europe[14] and is marketed in many other countries throughout the world.[15] The drug was never marketed in the United States.[11][16]
References
- 1 2 3 Consolidated List of Products Whose Consumption And/or Sale Have Been Banned, Withdrawn, Severely Restricted Or Not Approved by Governments. United Nations Publications. 1983. pp. 134–. ISBN 978-92-1-130230-1.
- 1 2 Odlind V, Weiner E, Victor A, Johansson ED (1979). "Plasma levels of norethindrone after single oral dose administration of norethindrone and lynestrenol". Clin. Endocrinol. (Oxf). 10 (1): 29–38. PMID 436304.
- 1 2 3 4 Korhonen T, Turpeinen M, Tolonen A, Laine K, Pelkonen O (2008). "Identification of the human cytochrome P450 enzymes involved in the in vitro biotransformation of lynestrenol and norethindrone". J. Steroid Biochem. Mol. Biol. 110 (1-2): 56–66. doi:10.1016/j.jsbmb.2007.09.025. PMID 18356043.
- 1 2 Schindler AE, Campagnoli C, Druckmann R, Huber J, Pasqualini JR, Schweppe KW, Thijssen JH (2008). "Classification and pharmacology of progestins". Maturitas. 61 (1-2): 171–80. PMID 19434889.
- ↑ Hammerstein J (1990). "Prodrugs: advantage or disadvantage?". Am. J. Obstet. Gynecol. 163 (6 Pt 2): 2198–203. PMID 2256526.
- 1 2 Stanczyk FZ (2002). "Pharmacokinetics and potency of progestins used for hormone replacement therapy and contraception". Rev Endocr Metab Disord. 3 (3): 211–24. PMID 12215716.
- ↑ Stanczyk FZ (2003). "All progestins are not created equal". Steroids. 68 (10-13): 879–90. PMID 14667980.
- ↑ M. S. de Winter, C. M. Siegmann and S. A. Szpilfogel, Chem. Ind. , 905 (1959).
- ↑ http://www.chemspider.com/Search.aspx?q=Cingestol
- 1 2 3 4 Marijke Gijswijt-Hofstra; G. M. van Heteren; E. M. Tansey (2002). Biographies of Remedies: Drugs, Medicines and Contraceptives in Dutch and Anglo-American Healing Cultures. Rodopi. pp. 128–129. ISBN 90-420-1577-2.
- 1 2 Annetine Gelijns (1991). Innovation in Clinical Practice: The Dynamics of Medical Technology Development. National Academies. pp. 167–. NAP:13513.
- ↑ Muller (19 June 1998). European Drug Index: European Drug Registrations, Fourth Edition. CRC Press. pp. 74,467,525. ISBN 978-3-7692-2114-5.
- ↑ http://pdf.usaid.gov/pdf_docs/pnaap426.pdf
- ↑ Rogerio A. Lobo; Jennifer Kelsey; Robert Marcus (22 May 2000). Menopause: Biology and Pathobiology. Academic Press. pp. 585–. ISBN 978-0-08-053620-0.
- ↑ https://www.drugs.com/international/lynestrenol.html
- ↑ https://www.accessdata.fda.gov/scripts/cder/drugsatfda/index.cfm

