RU-58841
![]() | |
| Identifiers | |
|---|---|
| |
| CAS Number | 154992-24-2 |
| PubChem (CID) | 132981 |
| ChemSpider | 117358 |
| ChEMBL | CHEMBL9337 |
| Chemical and physical data | |
| Formula | C17H18F3N3O3 |
| Molar mass | 369.3 g/mol |
| 3D model (Jmol) | Interactive image |
| |
| |
RU-58841 (also known as PSK-3841 or HMR-3841) is a non-steroidal antiandrogen which was previously investigated for use as a topical treatment for acne, androgenetic alopecia, and hirsutism.[1][2] The compound is similar in structure to RU-58642 but contains a different side-chain.[3] These compounds are similar in chemical structure to nilutamide,[4] which is related to flutamide, bicalutamide, and enzalutamide. RU-58841 can be synthesized either by building the hydantoin moiety or by aryl coupling to 5,5-dimethylhydantoin [5]
Synthesis

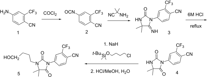
RU-58841 synthesis #1.[1]

RU-58841 synthesis #2.[5]
See also
References
- 1 2 Battmann, Bonfils A, Branche C, Humbert J, Goubet F, Teutsch G, Philibert D (January 1994). "RU 58841, a new specific topical antiandrogen: a candidate of choice for the treatment of acne, androgenetic alopecia and hirsutism". Journal of Steroid Biochemistry and Molecular Biology. 48 (1): 55–60. doi:10.1016/0960-0760(94)90250-x. PMID 8136306.
- ↑ Münster U; Nakamura C; Haberland A; Jores K; Mehnert W; Rummel S; Schaller M; Korting HC; Zouboulis ChC; Blume-Peytavi U; Schäfer-Korting M (January 2005). "RU 58841-myristate--prodrug development for topical treatment of acne and androgenetic alopecia". Pharmazie. 60 (1): 8–12. PMID 15700772.
- ↑ Van Dort ME, Jung YW (2001). "Synthesis and structure–activity studies of side-chain derivatized arylhydantoins for investigation as androgen receptor radioligands". Bioorg. Med. Chem. Lett. 11 (8): 1045–1047. doi:10.1016/s0960-894x(01)00146-9. PMID 11327585.
- ↑ "Investigational medications in the treatment of alopecia". Expert Opinion on Investigational Drugs. 14 (2): 177–184. February 2005. doi:10.1517/13543784.14.2.177.
- 1 2 M. J. Leonard, A. R. Lingham, J. O. Niere, N. R. C. Jackson, P. G. McKay and H. M. Hϋgel (6 Mar 2014). "Alternative synthesis of the anti-baldness compound RU58841". RSC Advances. 4: 14143–14148. doi:10.1039/c4ra00332b.
This article is issued from Wikipedia - version of the 6/5/2016. The text is available under the Creative Commons Attribution/Share Alike but additional terms may apply for the media files.
