List of cocaine analogues

Cocaine with its numerical substitution position locants.
2′ (6′) = ortho, 3′ (5′) = meta & 4′ = para

This is a list of cocaine analogues. A cocaine analogue is a (usually) artificial construct of a novel chemical compound from (often the starting point of natural) cocaine's molecular structure, with the result product sufficiently similar to cocaine to display similarity in, but alteration to, its chemical function. Within the scope of analogous compounds created from the structure of cocaine, so named "cocaine analogues" retain 3β-benzoyloxy or similar functionality (the term specifically used usually distinguishes from phenyltropanes, but in the broad sense generally, as a category, includes them) on a tropane skeleton, as compared to other stimulants of the kind. Many of the semi-synthetic cocaine analogues proper which have been made & studied have consisted of among the nine following classes of compounds:[lower-alpha 1]

Above: Cocaine in the chair conformation of the tropane-ring, with only its tropane locants given.

Below: Alternate two-dimensional molecular diagram of cocaine; shown specifically as a protonated, NH+, hydrochloride, and disregarding 3D stereochemistry

However strict analogues of cocaine would also include such other potential combinations as phenacyltropanes & other carbon branched replacements not listed above. The term may also be loosely used to refer to drugs manufactured from cocaine or having their basis as a total synthesis of cocaine, but modified to alter their effect & QSAR. These include both intracellular sodium channel blocker anesthetics and stimulant dopamine reuptake inhibitor ligands (such as certain, namely tropane-bridged-excised, piperidines). Additionally, researchers have supported combinatorial approaches for taking the most promising analogues currently elucidated and mixing them to the end of discovering novel & efficacious compounds to optimize their utilization for differing distinct specified purposes.[lower-alpha 2]

Two dimensional schematic drawing of cocaine's structural dynamic interaction points with dopamine transporter binding sites.

Although the carbmethoxy is denoted in its function as a hydrogen bond in this depiction, it has been found that it is primarily eletrostatic factors which dominate binding within this space of the molecular surface area over the operative principle of hydrogen bonding.[lower-alpha 3]
Two out of three potential "reverse esters" of cocaine (the third one being a single "di-substituted" structure with both the 'methyl ester' & 'benzoate' reversed in tandem)

Analogs sensu stricto

Cocaine Stereoisomers

There are eight stereoisomers of cocaine (with the internal portion of the tropane ring unchanged).[lower-alpha 4] Not counting mesomers but including the one & five to eight position bond bridge of the tropane system having R- & S- configurations potentially, containing four asymmetric carbons, cocaine can be counted as having as many as sixteen stereoisomers. However geometric constraints imparted by the bridgehead amine allow only eight to be created.
Stereoisomer S. Singh's
alphanumeric
assignation
IC50 (nM)
[3H]WIN 3542 inhibition to
rat striatal membranes
Mean error standard ≤5% in all cases
IUPAC
nomenclature
R-cocaine
(Erythroxyline)
102 methyl(1R,2R,3S,5S)-3-(benzoyloxy)-8-methyl-8-azabicyclo[3.2.1]octane-2-carboxylate
R-pseudococaine
(Delcaine, Depsococaine, Dextrocaine, Isococaine, Psicaine.[2])
172 15800 methyl(1R,2S,3S,5S)-3-(benzoyloxy)-8-methyl-8-azabicyclo[3.2.1]octane-2-carboxylate
R-allococaine 173 6160 methyl(1R,2R,3R,5S)-3-(benzoyloxy)-8-methyl-8-azabicyclo[3.2.1]octane-2-carboxylate
R-allopseudococaine 174 28500 methyl(1R,2S,3R,5S)-3-(benzoyloxy)-8-methyl-8-azabicyclo[3.2.1]octane-2-carboxylate
S-cocaine 175 15800 methyl(1S,3R,4R,5R)-3-(benzoyl)oxy-8-methyl-8-azabicyclo[3.2.1]octane-4-carboxylate
S-pseudococaine 176 22500 methyl(1S,3R,4S,5R)-3-(benzoyl)oxy-8-methyl-8-azabicyclo[3.2.1]octane-4-carboxylate
S-allococaine 177 9820 methyl(1S,3S,4R,5R)-3-(benzoyl)oxy-8-methyl-8-azabicyclo[3.2.1]octane-4-carboxylate
S-allopseudococaine 178 67700 methyl(1S,3S,4S,5R)-3-(benzoyl)oxy-8-methyl-8-azabicyclo[3.2.1]octane-4-carboxylate

Where the 2D diagrams given for the structural analogs below do not indicate stereochemistry, it should be assumed they share the conformation of R-cocaine, unless noted otherwise.

The natural isomerism of cocaine is unstable in several ways besides having a high degree of lability; for instance: the C2 carbmethoxy in its biosynthesis end-product maintains the axial position, which can undergo epimerization via saponification to obtain the former in an equatorial position.

The creation of the following analogues of cocaine have traditionally required a step which has utilized 2-CMT as an intermediate molecular product.

Benzoyl branch cleavage substitutions (excluding the exhaustive phenyl group)

Salicylmethylecgonine[3]Methylvanillylecgonine[4][5]

N.B. Fries rearrangement product of aspirin used to make salbutamol. It is relevant to the precursor here though because the migrated acetyl group can be the subject of a haloform reaction. A more direct route to vanillic acid though is just oxidation of the vanillin to a functionalized benzoic acid.

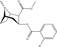
Arene benzene-ring 2′, 3′, 4′ (5′ & 6′) position (aryl) substitutions

para-substituted benzoylmethylecgonines


Carbon 4′-hydrogen Substitutions (benzene-4′ "para" substituted benzoyloxytropanes)[lower-alpha 5]
Data-set congruent to, and aggregate with, following tables
IC50 values
Structure S. Singh's
alphanumeric
assignation
(name)
4′=R DAT

[3H]WIN 35428

5-HTT

[3H]Paroxetine

NET

[3H]Nisoxetine

Selectivity

5-HTT/DAT

Selectivity

NET/DAT

(cocaine)H249 ± 37615 ± 1202500 ± 702.510.0
non-benzoyloxy analogue
comparative ligands

non-tropane analogue
comparative ligands
11b (WIN 35428)
(nisoxetine)
(fluoxetine)
F

24 ± 4
775 ± 20
5200 ± 1270
690 ± 14
762 ± 90
15 ± 3
258 ± 40
135 ± 21
963 ± 158
28.7
1.0
0.003
10.7
0.2
0.2
183a I 2522 ± 41052 ± 2318458 ± 10730.47.3
183b Ph 486 ± 63 - - - -
183c OAc 144 ± 2 - - - -
183d OH 158 ± 83104 ± 148601 ± 1119.63.8
(4′-Fluorococaine)[6] F - - - - -
(para-Isothiocyanatobenzoylecgonine
methyl ester
)[7]
(p-Isococ)
NCS - - - - -

The MAT binding pocket analogous to the lipophilic place on cocaine-like compounds, inclusive of the benzene ring, is approximate to 9 Å in length. Which is only slightly larger than a phenyl ring by itself.[lower-alpha 6]

meta-substituted benzoylmethylecgonines

Carbon 3′-hydrogen Substitutions (benzene-3′ "meta" substituted benzoyloxytropanes)[lower-alpha 7]
Data-set congruent to, and aggregate with, preceding and following tables
IC50 values
Structure S. Singh's
alphanumeric
assignation
(name)
3′=R DAT

[3H]WIN 35428

5-HTT

[3H]Paroxetine

NET

[3H]Nisoxetine

Selectivity

5-HTT/DAT

Selectivity

NET/DAT

184a I 325ɑ - - - -
184b OH 1183 ± 115793 ± 333760 ± 5890.73.2
191 OBn - - - - -
(m-Isococ) NCS - - - - -

ortho-substituted benzoylmethylecgonines

The hydroxylated 2′-OH analogue exhibited a tenfold increase in potency over cocaine.[lower-alpha 8]

Carbon 2′-hydrogen Substitutions (benzene-2′ "ortho" substituted benzoyloxytropanes)[lower-alpha 9]
Data-set congruent to, and aggregate with, preceding and following tables
IC50 values
Structure S. Singh's
alphanumeric
assignation
(name)
2′=R DAT

[3H]WIN 35428

5-HTT

[3H]Paroxetine

NET

[3H]Nisoxetine

Selectivity

5-HTT/DAT

Selectivity

NET/DAT

185a I 350ɑ - - - -
185b F 604 ± 671770 ± 3091392 ± 1732.92.3
185c
(2′-Acetoxycocaine)[8]
OAc 70 ± 1219 ± 2072 ± 93.11.0
185d
(2′-Hydroxycocaine)[3]
OH 25 ± 4143 ± 2148 ± 25.71.9

manifold benzoyloxy phenyl-substitutions

Multi-substitutions (substitutions of substitutions; e.g. meta- & para-) or manifold ("many-fold") substituted analogues are analogues where more than one modification from the parent molecule takes place (having numerous intermediary constituents). These are created with often surprising structure–activity relationship results extrapolated therefrom. It is even a common case where two separate substitutions can each yield a weaker, lower affinity or even wholly non-efficacious compound respectively; but due to findings that oftentimes, when used together, such two mutually inferior changes being added in tandem to one analogue has the potential to make the resultant derivative display much greater efficacy, affinity, selectivity &/or strength than even the parent compound; which otherwise was compromised by either of those two alternations when made alone.

For an exposition & allusion to this mechanism observe that the opioid oxycodone, derived from codeine, is 1.5×—1.7× the analgesic potency of morphine (an opioid to which codeine is by comparison only 8%—12% as potent relatively, or 0.17th its strength in rats); yet oxycodone's intermediates in its synthesis from codeine are: ⅓ the potency of codeine (i.e. codeinone); 0.13 that of morphine (i.e. 14-hydroxycodeine) in rats and less in mice (to illustrate: the former even being less than the 0.17 of morphine that codeine is); with the final possible stand alone intermediate compound between codeine & oxycodone (i.e. 7,8-dihydrocodeine) being at most 150% to 200% that of codeine.[9]

Manifold Compositions of Terminating Phenyl Ring Substitutions (Multiple benzene-2′,3′ & 4′ combined substituted benzoyloxytropanes)[lower-alpha 10]
Data-set (excepting instanced references inside table) congruent to, and aggregate with, preceding and following tables
IC50 values
Structure S. Singh's
alphanumeric
assignation
(name)
ortho-2′=R meta-3′=R para-4′=R DAT

[3H]WIN 35428

5-HTT

[3H]Paroxetine

NET

[3H]Nisoxetine

Selectivity

5-HTT/DAT

Selectivity

NET/DAT

186 HO H I 215 ± 19195 ± 101021 ± 750.94.7
(Vanillylmethylecgonine)[4] H OCH3 OH - - - - -

benzoyl phenyl-alterations

The naphthalene analogs allow for further numeric substitutions, including eight position peri substituted patterns. Many more alterations creating differing aromatic rings are possible.

Terminating Phenyl Carbon Ring Fusions & Alterations[lower-alpha 11]
Data-set congruent to, and aggregate with, preceding table
IC50 values
Structure S. Singh's
alphanumeric
assignation
(name)
C=R DAT

[3H]Cocaine (IC50)

5-HTT

[3H]Paroxetine

NET

[3H]Nisoxetine

Selectivity

5-HTT/DAT

Selectivity

NET/DAT

187 1-naphthalene 742 ± 48 - - - -
188 2-naphthalene 327 ± 63 - - - -

Benzoyl branch modifications

Parent compound of a series of spirocyclic cocaine benzoyl linkage modification analogs created by Suzuki coupling method of ortho-substituted arylboronic acids and an enol-triflate derived from cocaine. (the carbomethoxyl group should be alpha configured, which is not specified in the above depiction)[10]


A sulfur in place of the oxygen at the benzoyl ester single bond results in a lower electronegativity than that of cocaine.

C1-tropane-ring hydrogen substitutions

C1 substitutions[12]
HEK-293 heterologously expressed human monoamine transporter cells for Ki values of compounds inhibiting neurotransmitter uptake.[13]
Structure Trivial name R
(C1 moiety)
Ki (nM) @ DAT Ki (nM) @ SERT Ki (nM) @ NET σ1 affinity
Ki
σ2 affinity
Ki
IC50 (μM) Na+ inhibition
(Vertridine-Stimulated
influx of sodium channels
in Neocortical neurons)c
LogP
(XLogP3 algorithm, Cheng et al., 2007)
(—)-Cocaine H 326 ± 106513 ± 143358 ± 696.7 ± 0.3 μMd[14]6.99 ± 2.432.30
(—)-1-methyl-cocaine Me 163 ± 23435 ± 77488 ± 101"unappreciable"1.13 μM16.01 ± 1.902.67
(—)-1-ethyl-cocaine Et 95.1 ± 17.0ɑ1,106 ± 112598 ± 1793.20
(—)-1-propyl-cocainen-Pr 871 ± 205ɑ2,949 ± 462b796 ± 1953.56
(—)-1-pentyl-cocainen-C5H11 1,272 ± 199b1,866 ± 400ɑ1,596 ± 21b4.64
(—)-1-phenyl-cocaine Ph 32.3 ± 5.7b974 ± 3081,980 ± 99b524 nM198 nM0.29 ± 0.073.77

Cocaine analogs substituting the C1-tropane ring position, requiring sulfinimine (N-sulfinyl-imine) chemistry (before the innovation of which were untenable) which bind unlike the typical configuration at DAT (open to out) as cocaine (with its terminal D79-Y156 distance of 6.03 Å), or in the atypical (closed to out) conformation of the benztropines (3.29 Å). Though closer to the open to out: (—)-1-methyl-cocaine = 4.40 Å & (—)-1-phenyl-cocaine = 4.89 Å, and exhibiting preferential interaction with outward facing DAT conformation, they appear to have the lack of behavioral stimulation as-like the closed to out type. Despite having non-stimulant behavior profiles, they still seem to have anti-depressant behavioral profiles.[13]

The C1 phenyl analog is ten times stronger than cocaine as a dopamine reuptake pump ligand, and twenty four times stronger as a local anesthetic (voltage-dependent Na+ channel blocker), whereas the C1 methyl analog is 2.3 times less potent as a local anesthetic.[13]

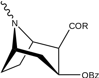
2β-substitutions (including transesterification metabolite substitution cocaethylene)


The consideration that large, bulky C2 substituents would alter the tropane by distorting the piperidine ring part of its skeleton sufficiently enough to impair its functionality, or that in said event such would hamper binding, in particular at the 8-aza end to ease steric strain going toward its place from the 2-position,[lower-alpha 12] appear to in many cases be unfounded.[lower-alpha 13] (examples shown in collapsed/bundled table of images below)

Intermediate compound #203

Compound 197b displayed a 1,131-fold increased selectivity in affinity over the serotonin transporter, with only slight reductions in potency for the dopamine & norepinephrine transporters.[lower-alpha 14] Whereas 197c had a 469× increase at SERT, with greater affinity for DAT than cocaine & was approximately equipotent to NET.[lower-alpha 15] 197b was 137×, and 196c 27× less potent at binding to the serotonin transporter, but both had a NET / DAT ratio that made for a better dopaminergic than cocaine.[lower-alpha 16]

Direct 2β Substitutions[lower-alpha 17]
(IC50 nM values)
Structure S. Singh's
alphanumeric
assignation
(name)
R DAT

[3H]WIN 35428

5-HTT

[3H]Paroxetine

NET

[3H]Nisoxetine

Selectivity

5-HTT/DAT

Selectivity

NET/DAT

(Cocaine) Me 89 ± 4.81045 ± 893298 ± 29311.737.0
196a
(Cocaethylene)
Et 195 ± 455801 ± 49310000 ± 75129.751.3
196b n-Pr 196 ± 464517 ± 4306124 ± 26223.331.2
196c i-Pr 219 ± 4825224 ± 149830384 ± 1685115139
196d Ph 112 ± 3133666 ± 333031024 ± 1909300277
196e Bn257 ± 14302 ± 2320794 ± 9501.280.9
196f β-phenethyl 181 ± 10615 ± 5219944 ± 10263.4110
196g γ-phenylpropyl 147 ± 19374 ± 154893 ± 3442.533.3
196h cinnamyl 371 ± 15368 ± 6.368931 ± 34761.0186
196i p-NO2-β-phenethyl 601 ± 28 - - - -
196j p-Cl-β-phenethyl 271 ± 12 - - - -
196k p-NH2-β-phenethyl 72 ± 7 - - - -
196l p-NCS-β-phenethyl196 ± 14 - - - -
196m p-azido-β-phenethyl 227 ± 19 - - - -
196n (p-NHCOCH2Br)β-phenethyl 61 ± 6 - - - -
196o (p-NHCO(CH2)2CO2Et)β-phenethyl 86 ± 4 - - - -
197a NH2 753 ± 41.313725 ± 12563981 ± 22918.25.3
197b -NMe2 127 ± 6.36143713 ± 88547329 ± 158113157.7
197c -N(OMe)Me 60 ± 6.428162 ± 25653935 ± 26646965.6
197d -NHMe 2424 ± 11844798 ± 21054213 ± 20618.51.7
197e
(Benzoylecgonine)
-OH 195000 - - - -
197f HOCH2- 561 ± 149 - - - -
197g
(Tropacocaine)
H 5180 ± 1160 - - - -

Bioisostere 2-position carbmethoxy-ester functional replacements


Benzoylecgonine, i.e. compound 197e, (differing from its cocaine parent only by de-methylation of the C2 carbmethoxy to that of a carboxy) has an extreme loss in potency (its approximate affinity being 195,000 nM) as displayed by in vitro methodologies for determining binding efficacy (wherein BBB penetration does not factor-in on the matter in the manner as in vivo studies) and is posited to be due possibly to zwitterion formation.[lower-alpha 18]

2β-isoxazole and isoxazoline ring containing analogues[lower-alpha 19]
Data-set congruent to, and aggregate with, following tables
IC50 nM values
Structure S. Singh's
alphanumeric
assignation
(name)
R [3H]Mazindol [3H]DA Selectivity

Uptake/Binding

(Cocaine) (H) 580 ± 70570 ± 1801.0
198a H 520 ± 40260 ± 700.5
198b CO2Et (5′-carboethoxy-)120 ± 10290 ± 402.4
198c BOC 2230 ± 2201820 ± 8100.8
198d Ph 2000 ± 6402920 ± 16201.5
198e CH=CHCO2Me 3600 ± 4003590 ± 11801.0
2-[(2-methoxy-2-oxoethoxy)methyl] cocaine analogue.[16]

[2H3-N-methyl]-cocaine: reagent analogue used in radio-labeling ligand binding sites.
nonplanar 2β-isoxazoline ring containing analogues[lower-alpha 20]
Data-set congruent to, and aggregate with, preceding and following tables
IC50 nM values
Structure S. Singh's
alphanumeric
assignation
R [3H]Mazindol [3H]DA Selectivity

Uptake/Binding

199a β(or R)CO2Et 710 ± 1501060 ± 3401.5
199b α(or S)CO2Et 5830 ± 6308460 ± 6201.4
C2-ethyl-OSO2CF2 cocaine analogue.[16]

2β-isoxazoline atomically N/O reversed analogues[lower-alpha 21]
Data-set congruent to, and aggregate with, preceding and following tables
IC50 nM values
Structure S. Singh's
alphanumeric
assignation
R [3H]Mazindol [3H]DA Selectivity

Uptake/Binding

200 880 ± 350400 ± 1400.4

Vinylogous 2β-position carbmethoxy-ester functional replacements

201b & 201c show significant increased potency over cocaine; whereas 201a, 201d & 201e are considerably less so. This infers the hydrogen bond acceptor at the 2β position to not necessarily be of exclusive import in creation of higher binding analogues of cocaine.

[2H5-phenyl]-cocaine: reagent analogue, as above thumbnail of similar compound: rendered from its cocaine parent by replacing a cluster of several adjacent hydrogens (from among the hydrogens that comprise the entire circumference common to every basic molecular perimeter) with deuterium, in an equivalent but localized spread or cluster.
vinylogous 2β analogues[lower-alpha 22]
Data-set congruent to, and aggregate with, preceding table
IC50 nM values
Structure S. Singh's
alphanumeric
assignation
R [3H]Mazindol [3H]DA Selectivity

Uptake/Binding

201a H 1730 ± 5501120 ± 3900.6
201b Cl 222 ± 49368 ± 1901.6
201c CO2Et 50 ± 10130 ± 102.6
201d CH=CHCO2Et 1220 ± 100870 ± 500.7
201e PO(OEt)2 4850 ± 4705500 ± 701.1

N-modifications

8-oxa cocaine analogs:[17] (cf Meltzer with PTs)
Eight position carba N6 & N7 analogues.[16]
ortho-phenyl of the moved nitrogen.[16]
Nitrogen Substitutions
Mazindol comparison table
(ɑβ-CFT comparison notation)[lower-alpha 23]
Compound S. Singh's
alphanumeric
assignation
(name)
N8-R [3H]Mazindol
binding
[3H]DA
uptake
Selectivity

Uptake/Binding

217
(Cocaine methiodide)
-10700 ± 1530ɑ - -
(Cocaine) CH3 280 ± 60
102ɑ
320 ± 101.1
218
(Norcocaine)
H 303 ± 59ɑ - -
219a Bn 668 ± 67ɑ - -
219b Ac 3370 ± 1080ɑ - -
219c CH2CH2OH 700 ± 1001600 ± 2002.3
219d CH2CO2CH3 480 ± 401600 ± 1003.3
219e CH2CO2H 380 ± 202100 ± 4005.5
220a SO2CH3 (Ms) 1290 ± 801970 ± 701.5
220b SO2CF3 (Tf) 330 ± 30760 ± 202.3
220c SO2NCO 120 ± 10160 ± 101.3
220d SO2Ph 20800 ± 3500 61000 2.9
220e SO2C6H4-4-NO2 (nosyl) 5720 ± 114018800 ± 903.3
220f SO2C6H4-4-OCH3 6820 ± 58016400 ± 14002.4
221a NO 99500 ± 12300231700 ± 395002.3
221b NO2 7500 ± 90021200 ± 6002.8
221c NHCOCH3 >1000000 >1000000 -
221d NH2 - - -

Tropane fused/bridged (N-constrained/tethered) analogues

A selection of "front bridged" & "back bridged" cocaine analogs.
Derivations upon fusions of the tropane's nitrogen bridge[lower-alpha 24]
Compound S. Singh's
alphanumeric
assignation
R [3H]Mazindol [3H]DA Selectivity

Uptake/Binding

222 44900 ± 6200115000 ± 157002.6

Back-bridged cocaine analogues are considered more akin to untethered cocaine analogs & phenyltropane derivatives (where the nitrogen lone pair is not fixed or constrained) and better mimics their affinities. This is due to when the eighth carbon tropane position is freely rotatable and unbound it preferably occupies the axial position as defining its least energy & most unhindered state. In front-bridged analogs the nitrogen lone pairings rigid fixity makes it reside in an equatorial placing for the piperidine ring-part of the tropane nucleus, pointing to the two-carbon & three methylene unit bridgehead; giving the attested front-bridged cocaine analogues preference for SERT over DAT.[lower-alpha 25]

Constrained thiophene tropane[18][19] Note the pi symmetry of the partially hydrogen-unsaturated cyclopentane substitutes the benzene place with the other tricyclic tropanes to the right.
Tricyclic tropanes, values in Ki (nM)[20]
1st structure (di-chloro benzene, 2β-CH2OCOMe) SERT = 1.6, DAT = 1870, NET = 638
2nd structure (para-bromo, meta-chloro, 2β-CO2Me) SERT = 2.3, DAT = 5420, NET = 459
3rd structure (para-iodo, meta-chloro, 2β-CH2OCOPh) SERT = 0.06, DAT/NET both = >10K

Azabornane tropane ring contraction

Alterations shortening the tropane ring system while including the benzoyloxy length at the C3 have been made, contrasting the azabornane phenyltropanes;[16] likely remedying the shallow penetration (for good efficacy) of the latter.

5-benzoatic (left) & 6-benzoatic (right)

6/7 tropane position methoxycocaine & methoxypseudococaine analogues

Phenylsulfanyl, C2-C3 unsaturated nonisomeric (C2 inclusive) C4 chloro analog.[16]
Substitutions upon the 6 & 7 positions of the tropane[lower-alpha 26]
Compound S. Singh's
alphanumeric
assignation
(name)
X Ki (nM)
[3H]Mazindol binding
Ki (nM)
[3H]DA uptake
Selectivity

Uptake/Binding

(Cocaine) 280 ± 60320 ± 101.1
(Pseudococaine) 10400 ± 30013800 ± 15001.3
225a 2β, 6β-OCH3 98000 ± 1200068000 ± 50000.7
225b 2α, 6β-OCH3 190000 ± 11000510000 ± 1100002.7
225c 2β, 7β-OCH3 4200 ± 1006100 ± 2001.4
225d 2α, 7β-OCH3 45000 ± 5000110000 ± 40002.4
225e 2α, 7α-OCH3 54000 ± 3000200000 ± 700003.7

3β-position 2′—(6′) & 2β-substitution combination analogues


4′-Iodococaine-2β-substituted analogues[lower-alpha 27]
Compound S. Singh's
alphanumeric
assignation
2β-R C2′-R IC50 (nM)
(displacement of [3H]WIN 35428)
211a CO2OH H 6214 ± 1269
211b CH2OCOCH3 H 2995 ± 223
211c CONHCH3 H >100000
211d CO2Et H 2031 ± 190
211e CO2-i-Pr H 1377 ± 10
211f CO2Ph H 2019 ± 253
211g CO2CH2Ph H 4602 ± 325
211h 3-phenyl-1,2,4-oxadiazole H 3459 ± 60
211i CH=CH2 H 2165 ± 253
211j CH2CH3 H 2692 ± 486
212 CO2-i-Pr HO 663 ± 70
4507 ± 13ɑ
34838 ± 796b

3β-Carbamoyl analogues



3-position carbamoyl linkage substituting benzoyloxy analogues[lower-alpha 28]
Compound S. Singh's
alphanumeric
assignation
(name)
X IC50 (nM)
inhibition of [3H]Cocaine binding
(Rat Striatal Tissue)
IC50 (nM)
inhibition of [3H]DA uptake
(Rat Striatal Tissue)
Selectivity
uptake/binding
(Cocaine) (H) 70 ± 10210 ± 703.0
223a H 5600 ± 70052600 ± 30009.4
223b 4-NO2 1090 ± 2505700 ± 12005.2
223c 4-NH2 63300 ± 12200 >100000 -
223d 4-N3 1000 ± 2401180 ± 3601.2
223e 4-NCS 260 ± 60490 ± 801.9
223f 3-NO2 37 ± 10178 ± 234.8
223g 3-NH2 2070 ± 34023100 ± 90011.1
223h 3-N3 630 ± 1503900 ± 15906.2
223i 3-NCS 960 ± 2104900 ± 4205.1

Phenyl 3-position linkage substitutions

A 3-Dimensional (stick-&-ball) rendering of Troparil: A structural analogue of cocaine with omitted -COO- linkage – a parent compound of many MAT ligands; those of the phenyltropane class. (Here it is depicted in an unfavourable conformation of the O-Me; The methyl has to be at the other oxygen and trans to optimize its functional stimulation.)
The top image above is a 2-Dimensional emulation of the orientation for the animated 3D image to the far right, with a methoxy that is distal from the phenyl group and cis. While the alternate image below that to its bottom shown above is one with the carboxyl methyl group proximal to the phenyl, in its optimum conformation, with a likewise optimum trans configuration.

See: List of phenyltropanes (Many phenyltropanes are derived from cocaine metabolites, such as methylecgonidine, as precursors. Whereas fully synthetic methods have been devised from the starting material of vinylcarbenoids & pyrroles.)[21]

The difference in the length of the benzoyloxy and the phenyl linkage contrasted between cocaine and phenyltropanes makes for a shorter distance between the centroid of the aromatic benzene and the bridge nitrogen of the tropane in the latter PTs. This distance being on a scale of 5.6 Å for phenyltropanes and 7.7 Å for cocaine or analogs with the benzoyloxy intact.[lower-alpha 29] This may account for PTs increased behavioral stimulation profile over cocaine.[lower-alpha 30] Differences in binding potency have also been explained considering solvation effects; cocaine containing 2β,3β-ester groups being calculated as more solvated than the WIN-type compounds (i.e. troparil). Higher pKɑs of the tropane nitrogen (8.65 for cocaine, 9.55 for troparil & 11.95 for vinyl analogue 43a), decreased aqueous solvation & decreased conformational flexibility added to increased binding affinity.[lower-alpha 31]

Despite the observation of increased stimulation, phenyltropanes lack the local anesthetic sodium channel blocking effect that the benzoyloxy imparts to cocaine. Beside topical affect, this gives cocaine an affinity for binding to sites on the dopamine and serotonin sodium dependent transport areas that are distinct & specific to MAT in contrast to the general sodium channels; creating a separate mechanism of relational affinity to the transporters in addition to its inhibition of the reuptake for those transporters; this is unique to the local anesthetic value in cocaine & analogues with a similar substitute for the benzoyloxy that leaves the sodium channel blockage ability intact. Rendering such compounds as different functionally in their relation to MAT contrasted to phenyltropane analogues which have the local anesthetic bridge removed.[22] In addition, it even has been postulated that a crucial role regarding the electron energy imparted via voltage sensitization (and thus action potential blockage with a molecule capable of intersecting its specific channel, in the case of cocaine a sodium channel, then acting upon atomic scale triboelectric effect that potentially serves in re-quantifying its charge) upon a receptor binding site may attenuate the mediating influence of the inhibitory regulation that autoreceptors play by their slowing neurotransmitter release when an efflux is created through an instance of agonism by a compound; allowing said efflux to be continued without the body's attempt to maintain homeostasis enacting in as readily responsive a manner to its conformational change.[23]

3β-Alkylphenyltropane & 3β-Alkenyl analogues

The compound 224e, the 3β-styrene analogue, had the highest potency in its group. While 224b & 224c showed the most selectivity, with 224b having a ten-fold greater potency for the dopamine transporter than cocaine.[lower-alpha 32]


3β-styrene alkylphenyl cocaine analog image showing stereochemistry.
(i.e. compound "224e")
3-position alkylphenyl linkage substituting benzoyloxy analogues[lower-alpha 33]
Compound S. Singh's
alphanumeric
assignation
(name)
n IC50 (nM)
[3H]Cocaine binding
IC50 (nM)
[3H]DA uptake
Selectivity
uptake/binding
(Cocaine) 101 ± 26209 ± 202.1
224a 1 885 ± 181020 ± 521.1
224b 2 9.9 ± 0.3370.5 ± 1.07.1
224c 3 344 ± 122680 ± 1907.8
224d 71.6 ± 0.7138 ± 91.9
224e 2.10 ± 0.045.88 ± 0.092.8

6-Alkyl-3-benzyltropane analogues

6-Alkyl-3-benzyl-2[(methoxycarbonyl)methyl]tropane analogues[lower-alpha 34]
Compound S. Singh's
alphanumeric
assignation
(name/WIN number)
R Ki (nM)
[3H]WIN 35428 binding
IC50 (nM)
[3H]DA uptake
Selectivity

uptake/binding

(Cocaine) 32 ± 5
338 ± 221
405 ± 91
405 ± 91
12.6
1.2
11a
(WIN 35065-2)
33 ± 17
314 ± 222
373 ± 1011.3
(−)-229a H 33 ± 5161 ± 1004.9
229a H 91 ± 1094 ± 261.0
229b Me 211 ± 23 - -
229c Et 307 ± 28 - -
229d n-Pr 4180 ± 418 - -
229e n-Bu 8580 ± 249 - -
229f Bn 3080 ± 277 - -
(+)-230a H 60 ± 6208 ± 633.5
230a H 108 ± 14457 ± 1044.2
230b Me 561 ± 64 - -
230c Et 1150 ± 135 - -
230d n-Pr 7240 ± 376 - -
230e n-Bu 19700 ± 350 - -
230f Bn 7590 ± 53 - -
231b Me 57 ± 5107 ± 361.9
231c Et 3110 ± 187 - -
231d n-Pr 5850 ± 702 - -
231f Bn 1560 ± 63 - -
232b Me 294 ± 29532 ± 1361.8
232c Et 6210 ± 435 - -
232d n-Pr 57300 ± 3440 - -
232f Bn 3080 ± 277 - -
241 Bn 4830 ± 434 - -
Benzylidene derivatives of 6-alkyl-3-benzyltropanes[lower-alpha 35]
Sub-category
(S. Singh compound #)
a
R=H
b
R=Me
c
R=Et
d
R=n-Pr
e
R=n-Bu
f
R=Bn
6α-isomers:
237a—f
6β-isomers (exo):
238a—f

3β-benzyl derivatives:
239a—f
intermediate
alkylidene esters:
240a—f

N.B. that 237a and 238a are the same compound as both are the parent for either series with a hydrogen saturated in their respective substitution place.

Direct 2,3-pyrimidino fused

above: Strobamine, a DARI functional cocaine analog with structural semblance.[24]

below: Chalcostrobamine

cf. strobamine (at right) for a more efficacious compound as like the below.

2,3-direct fused "di-hetero-benzene" rigidified cocaine analogs.[25]
(Binding values @ biogenic amine transporters (BATs) for rigid and semi-rigid analogs)
Structure alphanumeric
assignation
R1 R2 hDAT
IC50 (nM)
hSERT
IC50 (nM)
hNET
IC50 (nM)
(—)-3a H C6H5 58,300 (20,200) 6140 (3350) NA
(+)-3a H C6H5 48,700 (20,100) 6030 (3400) NA
(—)-3b H NH2 NA NA NA
(+)-3b H NH2 NA NA NA
(—)-3c H CH3 NANANA
(+)-3c H CH3 NANANA
(—)-3d H H NANANA
(+)-3d H H NANANA
(+/—)-3e C6H5 C6H5 30,000 (11,200) 3650 (1700) NA

Direct di-hetero-benzene (pyrimidino) 2,3-fused and thus rigidified cocaine analogs.[25]

Piperidine cocaine-homologues

Tricyclo benzoyloxy dibenzene cocaine analogue. cf. benztropine compound #277, tropatepine, etc.[16]

cf. phenyltropane piperidine-homologues for compounds with a more optimized conformation that yield higher affinities when binding to MAT.

binding potency of piperidine homologues for displacement of [3H]WIN 35428[lower-alpha 36]
Compound S. Singh's
alphanumeric
assignation
(name)
2β-R IC50 (nM)
(Cocaine) CO2CH3
(i.e. CO2Me)
249 ± 37
183a CO2CH32522 ± 4
242 H 11589 ± 4
243 CO2CH3 8064 ± 4

Cocaine hapten analogues

"GNC", a cocaine analog designed to minimize the formation of noncocaine-like structures through its chemical coupling to the Ad proteins; all while maintaining the element of its antigenic determinant from the moiety of cocaine.[26]
Cocaine analogs which elicit noncatalytic antibodies[lower-alpha 37]
Compound S. Singh's
alphanumeric
assignation
(name)
2β-R
394
(GNC)ɑ
CO2(CH2)5CO2H
395
(Succinyl Norcocaine)[27]
CO2CH3
GNEb[28]
including carrier proteins:
GNE-FLiC
GNE-KLH
GNE-BSA
396CONH(CH2)5CO2H
Tetrahedral-intermediate cocaine-hapten compound #400
Cocaine transition state analogues (TSAs) which generate catalytic antibodies[lower-alpha 38]
Compound S. Singh's
alphanumeric
assignation
(name)
R
401a CH3
401b (CH2)5CO2H
401c CH2CO2H
401d COCH2CH2CO2H
401e H
401f CH2CH2Br
385g (CH2)2NHCO(CH2)2CONH2
402a O(CH2)4NHCO(CH2)2CO2…2,3-dihydro-1H-isoindole-1,3-dione
402b OH
402c O(CH2)2…1,4-xylene…NH2
402d NH(CH2)5CO2H
402e O(CH2)4NHCO(CH2)2CONH2
403a NH2
403b NHCOCH2Br
403c NHCO(CH2)3CO2H
403d (CH2)3NHCO(CH2)2CONH2

Cocaine haptens that create catalytic anti-bodies require transitional states as affected in vivo.[29][30]

Anti-idiotypic & butyl-cholinesterase mediated immunopharmacotherapy cocaine analogs[31]
Compound Name
K1-KLH/BSA[32]
K2-KLH/BSA

Structural/Functional intermediate analogues

Tropane (non-ecgonine) analogues

The first compound of those categorized as an "intermediate analog" in the series presented immediately below (para-fluoro-benzoyl-tropane), although several modifications distant from its cocaine parent structure, fits every technical criteria of a strict analog type to cocaine. It is given here, however, as the nearest relational structure along the instanced spectrum trajectory of substituent permutations of those following from it (in this first section), and set it as the beginning ingress point for the range of those comparable but sufficiently divergent from those in full homogeneity of structure and function to distinguish a more median class that is not in as much a rigid stereotyped placement to both (and not yet approaching the fringe or outermost terms allowing inclusion)

Tematropium, an anticholinergic that diverges from the MAT relational criteria for being a functional analog to cocaine.[33] (cf. tropatepine)

pFBT: Zatosetron: Tropanserin: Bemesetronum:

cf. Tropisetron

Convolamine: Phyllalbine:
Similarly, many natural tropane alkaloids found in plants of various families have benzoyl tropane structures. Including; catuabine, convolamine of the convolvulaceae & phyllalbine of euphorbiaceae (Phyllanthus discoïdes) families. The latter is a central and peripheral sympathomimetic drug.[35] Phyllalbine is also to methylvanillylecgonine what tropacocaine, as a metabolite, is to cocaine. Likewise vanillin would be a hydrolytic degradation product of phyllalbine just as methyl benzoate is for cocaine.

Other tropanyl compounds (naturally found or otherwise) begin to fall outside the spectrum of functional analogues to cocaine altogether; having negligible affinity of any kind for the monoamine system. Compare for example ipratropium, mirisetron, technepine, levomepate or scopolamine & atropine. Many of the natural varieties being deliriants.

NK-1145: EGIS-3886: cpd #278[lower-alpha 39] (mono-phenyl benztropine):
The benzoyloxy can even be replaced with other branch formations (terminating in a benzene ring) and the bridge between will still serve to create a parasympatholytic drug compound that causes behavioral stimulation, as the above: NK-1145 "tropine-3β-phenyl ether."[36] Deramciclane (EGIS-3886) is a camphor derived serotonergic. Similar to several other kinds of aromatics in structure and being an inverse agonist at the 5-HT2C receptor as well as an antagonist at the 5-HT2A.

Azaprocin: Pseudotropinearylether:

Piperidine Analogues

3-dimensional (space-filling) rendering of piperidine structure-based, MAT re-uptake inhibiting functional stimulant: "methylphenidate" (MPH)

See: List of methylphenidate analogues

Many of the piperidine analogues of cocaine serve as the 'missing link' between the cocaine structure and that of the methylphenidate class of drugs. For example, DMNPC preserves an orientation similar to the phenyltropanes, but is a structural isomer of methylnaphthidate.

The above depicts the 3D structure of the above-mentioned methylnaphthidate shown with the same modeling for the cocaine derivative WIN 35428, a simple phenyltropane with a short addition to its para position. This overlay shows the closeness of where the two hold their respective oxygen and nitrogens in their structure (also their benzene & cycloalkane ring formations) and is meant to convey a sense of their similarity for binding to MAT. Correspondingly most other monoamine reuptake inhibitors bind to the dopamine transporter substrate recognition site at Tm loci 1, 7 & 10—12; whereas cocaine & methylphenidate similarly share the 1 & 7 places, but diverge from the usual ligand site of the latter and instead cohabit the 9—11 loci.[lower-alpha 40] Site-directed mutagenesis techniques have elucidated that the hydrophobic putative transmembrane regions at one & seven contain aspartate and serine residues, and that the carboxyl-group interacts with the former aspartic acid residue 79 which engages with cocaine & methylphenidate's protonated nitrogen at the transporter.[lower-alpha 41] Previous theories of an allosteric site for cocaine and related compounds which do not overlap with the binding site of dopamine itself are less prevalent in light of more recent observations since LeuT became feasible as a modeling template.[38]

One rationale to denote the subjective preference for cocaine over methylphenidate in animal habituation & human addiction models has to do with the respective difference in their entropy of binding: cocaine being —5.6 kcal/mol & methylphenidate being —25.5 kcal/mol (Δs°, measured using [³H]GBR 1278 @ 25 °C)[lower-alpha 42]



A somewhat recent occurrence among tentative modern folklore which has traversed the circling of rumors mostly confined to the likes of universities and popular culture trivia has been that cocaine is one element, or molecule increment of weight or charge etc., away from the molecular structure of sugar.[40] Though such a statement is false as a general pretense, there is a dextrose based super-structure that has a vaguely similar overlay with cocaine which is "benzoyl-beta-D-glucoside."


Benztropine (3α-Diphenylmethoxy Tropane) Analogs

Unlike cocaine & phenyltropanes, the benztropines & GBR compounds (and, as an exception to the cocaine pharmacophore itself, allotropacocaine) among others are considered "atypical" DAT re-uptake pump ligands because they stabilize the dopamine transporter in an inward-facing or closed-to-out conformation, this contrasts what is considered "cocaine-like" affinity to DAT; which would instead keep DAT stable in an open-to-out conformation. This means the binding of many dopamine reuptake inhibitors is atypical of cocaine's method of binding to DAT and significantly diverges from it.[43]

"Difluoropine" is not a phenyltropane but actually belongs to the benzatropine family of DRIs. Not to be confused for the "diaryl"-phenyltropanes.

In certain respects these are important because they share SAR overlap with GBR 12909 and related analogs.

SARs have shown that 4′,4′-difluorination is an excellent way to boost DAT activity of benztropine, and gives excellent selectivity over the SERT and the NET.[44][45]

Furthermore, replacing the N-Me with, e.g. n-phenylpropyl helps to bring muscarinic activity down to something that is the same as DRI affinity.[44]

This is remarkable considering unmodified (native) benztropine is 60 times more active as an anticholinergic than as a dopaminergic.[44]

M1 receptor considerations aside, analogues of this benztropine class still won't substitute for cocaine, and have no propensity to elevate locomotor activity.

Compound 276
3α-Diphenylmethoxy tropanes
(Benztropine analog affinities binding to DAT & DA uptake)[lower-alpha 43]
Compound S. Singh's
alphanumeric
assignation
(name)
R R′ Ki (nM)
[3H]WIN 35428 binding
IC50 (nM)
[3H]DA

uptake

Selectivity

uptake/binding

(Cocaine) 388 ± 47 - -
(GBR 12909) 11.6 ± 31 - -
(Benztropine) H H 118 ± 9403 ± 1153.4
249a 4′-F H 32.2 ± 10 48 1.5
249b
(AHN 1-055)
4′-F 4′-F 11.8 ± 1 71 6.0
249c 3′,4′-di-F H 27.9 ± 11181 ± 45.76.5
249d 4′-Cl H 30.0 ± 12 115 3.8
249e 4′-Cl 4′-Cl 20.0 ± 14 75 3.8
249f 3′,4′-di-Cl H 21.1 ± 19 47 2.2
249g 3′,4′-di-Cl F 18.9 ± 14 24 1.3
249h 4′-Br H 37.9 ± 7 29 0.8
249i 4′-Br 4′-Br 91.6 34 0.4
249j 4′-NO2 H 197 ± 8 219 1.1
249k 4′-CN H 196 ± 9 222 1.1
249l 4′-CF3 H 635 ± 10 2155 3.4
249m 4′-OH H 297 ± 13 677 2.3
249n 4′-OMe H 78.4 ± 8 468 6.0
249o 4′-OMe 4′-OMe 2000 ± 7 2876 1.4
249p 4′-Me H 187 ± 5 512 2.7
249q 4′-Me 4′-Me 420 ± 7 2536 6.0
249r 4′-Et H 520 ± 8 984 1.9
249s 4′-t-Bu H 1918 4456 2.3
250a 3′-F H 68.5 ± 12250 ± 64.73.6
250b 3′-F 3′-F 47.4 ± 1407 ± 63.98.6
250c 3′-Cl H 21.6 ± 7228 ± 77.110.5
250d 3′-CF3 H 187 ± 5457 ± 72.02.4
251a 2′-F H 50.0 ± 12140 ± 17.22.8
251b 2′-Cl H 228 ± 9997 ± 1094.4
251c 2′-Me H 309 ± 61200 ± 1.643.9
251d 2′-NH2 H 840 ± 8373 ± 1170.4
3α-Diphenylmethoxy-2β-carbomethoxybenztropine
(Benztropine affinities to DAT & 5-HTT in cynomologous monkey caudate-putamen)[lower-alpha 44]
Compound S. Singh's
alphanumeric
assignation
(name)
R R′ IC50 (nM)
DAT
(Binding of [3H]WIN 35428)
IC50 (nM)
5-HTT
(Binding of [3H]Citalopram)
Selectivity
5-HTT/DAT
(benztropine) 312 ± 1.1 24100 ± 1480077.2
(WIN 35428) 12.9 ± 1.1160 ± 2012.4
R-256 2040 ± 2831460 ± 2550.7
S-257a H H 33.5 ± 4.510100 ± 1740301
S-257b H F 13.2 ± 1.94930 ± 1200373
S-257c
(difluoropine)
F F 10.9 ± 1.23530 ± 1480324
S-257d H Cl 15.8 ± 0.955960 ± 467377
S-257e Cl Cl 91.4 ± 0.853360 ± 148036.8
S-257f H Br 24.0 ± 4.65770 ± 493240
S-257g Br Br 72.0 ± 3.652430 ± 33933.7
S-257h H I 55.9 ± 10.39280 ± 1640166
S-257i Br I 389 ± 29.44930 ± 8212.7
S-257j I I 909 ± 798550 ± 4429.4
S-257k H Me 49.5 ± 6.0 13200 266
S-257l Me Me 240 ± 18.49800 ± 268040.8
Compound 277
N-Modified 2-carbomethoxybenztropines
(Benztropine affinities to DAT & 5-HTT in cynomologous monkey caudate-putamen)[lower-alpha 45]
Compound S. Singh's
alphanumeric
assignation
(name)
R n IC50 (nM)
DAT
(Binding of [3H]WIN 35428)
IC50 (nM)
5-HTT
(Binding of [3H]Citalopram)
Selectivity
5-HTT/DAT
258a 20.3 ± 3.5 - -
258b H 1 223 ± 534970 ± 70022.3
258c H 3 22.0 ± 11.919.7 ± 30.9
258d Br 3 80.2 ± 8.8234 ± 0.52.9
258e I 3 119 ± 112200 ± 125018.5
258f H 5 99.0 ± 28550 ± 635.5
259 616 ± 8855200 ± 2000089.3
N-substituted 3α[bis(4′-fluorophenyl)methoxy]tropanes
(Benztropine affinities to DAT & 5-HTT)[lower-alpha 46]
Compound S. Singh's
alphanumeric
assignation
(name)
R Ki (nM)
DAT
(Binding of [3H]WIN 35428)
IC50 (nM)
5-HTT
(Uptake of [3H]DA)
Selectivity
uptake/binding
260
(AHN 2-003)
H 11.2 ± 11 9.7 0.9
261a 3-phenylpropyl 41.9 ± 11 230 5.5
261b indole-3-ethyl 44.6 ± 11 1200 26.9
261c 4-phenylbutyl 8.51 ± 14 39 4.6
261d 4-(4′-nitrophenyl)butyl 20.2 ± 11 650 32.2
261e 3-(4′-fluorophenyl)propyl 60.7 ± 12 - -
262a n-butyl 24.6 ± 8 370 15.0
262b cyclopropylmethyl 32.4 ± 9 180 5.5
262c allyl 29.9 ± 10 14 0.5
262d benzyl 82.2 ± 15 290 3.5
262e 4-fluorobenzyl 95.6 ± 10 200 2.1
262f cinnanyl 86.4 ± 12 180 2.1
262g [bis(4-fluorophenyl)methoxy]ethyl 634 ± 23 - -
262h [(4-nitrophenyl)phenylmethoxy]ethyl 57.0 ± 17 - -
263 acetyl 2340 4600 2.0
264 formyl 2020 ± 13 5400 2.7
265a Ts 0%ɑ - -
265b Ms 18%ɑ - -
(AHN 2-005)[46] CH2CH=CH2 - - -
(JHW 007)[46] CH2CH2CH2CH3 - - -
(GA 2-99)[46] CH2CH2NH2 - - -
(GA 103)[46] CH2CH2CH2CH2Ph - - -
266 108 ± 12 130 1.2

ɑInhibition at 10 µM

Deuterium labeled radio-ligand of benztropine analog JHW-007; a di-para-fluoro benztropine, and hybrid between benzatropine & difluoropine (with fluorine groups in the former to breach the difference or the latter being descarbmethoxy to approach identification with the former).
8-Oxa-2-carbomethoxy norbenztropines
(8-Oxanortropane benztropine analog affinities to DAT & 5-HTT)[lower-alpha 47]
Compound S. Singh's
alphanumeric
assignation
(name)
IC50 (nM)
DAT
(Binding of [3H]WIN 35428)
IC50 (nM)
5-HTT
(Binding of [3H]Citalopram)
R/S-268 2β,3β >10000 >1660
R/S-269 2α,3β 20300 >1660
R/S-270 2α,3α 22300 >1660
R/S-271 2β,3α 520 >1660

8-Aminopentacyclo (σ receptor ligand) Trishomocubane Analogs

cf. other trishomocubanes such as basketane.

Polycyclic cage molecules: N-substituted 8-aminopentacyclo[5.4.0.02,6.03,10.05,9]undecanes (AHDs) & related.
The 3-FPh, 14b, has 1.2 ± 0.1 Ki (nM ± SEM) @ DAT.[47]

Bicyclic Amine Analogues

Quinuclidine Analogues

Miscellaneous loosely analogous stimulants

Chromen-2-one
(SNDRI compound)

US 2011136854 
IUPAC name DA-uptake IC50(μM) NA-uptake IC50(μM) 5-HT-uptake IC50(μM)
7-(((1R,3r,5S)-9-Azabicyclo[3.3.1]nonan-3-yl)oxy)-2H-chromen-2-one0.00130.240.076
7-(((1R,3r,5S)-9-Methyl-9-azabicyclo[3.3.1]nonan-3-yl)oxy)-2H-chromen-2-one0.00290.150.27

Benzoates (Structures with both stimulant & local anesthetic effects)

See some of Robert Clarke's contributions

Organochlorides

Org 6582
A potent and long-lasting monoamine re-uptake inhibitor used in drug research.

Quinolizidines

2,3-Benzodiazepines

Spirocyclic tropanyl-Δ(2)-isoxazoline compound:
3′-methoxy-8-methyl-spiro(8-azabicyclo(3.2.1)octane-3,5′(4′H)-isoxazole which allosterically enhances SERT binding of other reuptake ligands. Construed as a potentiating allosteric effect (by unveiling occluded configured serotonin uptake-area ligand-site on surface of transporter that allows for binding by exogenous ligand, when SERT is otherwise conformed in a transitional manner where a SERT ligand cannot bind, this effect with compound in question occurs) at concentrations of 10μM—30μM (wherein it acts by interconverting the conformational state of unexposed SERTs to ones exposing the SSRI binding site via a shift to the equilibrium of the MAT) while exerting an inhibitory orthosteric effect when concentrations reach >30μM and above. This is the only known compound to allosterically modulate SERT in such a way within in vitro conditions (tianeptine has been shown to do similar, but has only shown efficacy doing so in living in vivo tissue samples). Considering its noncompetitive inhibition of 5-HT transporters decreasing Vmax with small change in the Km for serotonin, putatively stabilizing the cytoplasm-facing conformation of SERT: in such respect it is considered to have the opposite effect profile of the anti-addiction drug ibogaine (save for the function by which its anti-addictive properties are thought to be mediated, i.e. α3β4 nicotinic channel blockage. cf. 18-Methoxycornaridine for such nicotinergic activity without the likewise SERT affinity).[48]

Phenethylamines

Methylenedioxypyrovalerone: Prolintane: α-Pyrrolidinopropiophenone:

Many phenethylamines are dopamine releasers, however, certain drugs of the family inhibit dopamine reuptake & transport which may be loosely classed as cocaine analogs. Dependent upon their specific configurations. Like has been shown with cocaine, methylenedioxypyrovalerone (MDPV) has been shown to similarly be neuroprotective against the neural damage caused by amphetamine type drugs (i.e. releasers)[49]

Adamantanes

Pyridines

Nicotinic agonist which stimulates the release of dopamine.

Naphthyridines

Desmethoxyyangonin (5,6-dehydrokawain), reversible MAO-B inhibitor believed to contribute to mediating dopamine release in nucleus accumbens.


Being a carboxylic acid, amfonelic acid could potentially be used as a carboxylate for the protonation to the free base of another compound; even conceivably creating a 'cocaine amfonelate' or 'cocaine AFA' as opposed to cocaine HCl, cocaine citrate or cocaine HBr et cetera wherein such a case it's conjugate used to form it as a salt would additionally be dopaminergic.

Quinazolinamines (Allosteric functional DAT reuptake inhibitors)

cf. the benztropine phenyltropanes:

SoRI-20041 is a functional, but not structural, cocaine analog which violates traditional structure analog categorization in its case that it has an entirely other binding site. It is however an analog to cocaine in the sense that it functions as a partial DARI on DAT, although doing so when said DAT is compromised by amphetamine-type mediated release of DA. Something unaugmented cocaine cannot do. It nevertheless performs the role of an analogous adjunct to cocaine's function for phosphorylated DAT. It is however worth noting that as for its structure, it displays a certain degree of shared conformation with the benztropine phenyltropanes.

Piperazines (Aryl-1,4-dialkyl piperazines)

Methylphenidate rendered in 3D (in blue) overlaid with 1-(2-Phenylethyl) piperazine skeleton (turquoise) showing the basic 3- point pharmacophore shared between them and other dopamine reuptake inhibitors such as 3C-PEP (that itself is only a 3-chlorophenyl more than 1-(2-Phenylethyl) piperazine).

GBR-13098: 281 (decanoate 5):

GBR compounds were derived from the benztropines by replacing their tropane nucleus with a piperazine ring (and therefore constitute being congeners with cocaine).[lower-alpha 48] The name "GBR" is derived from its maker Gist-Brocades (now DSM), Netherlands.

cf. to the GBRs the non-diphenyl and still quite highly specific dopaminergic (selective) stimulant 3C-PEP; shown to be roughly 10,000× more potent than cocaine as a DAT reuptake inhibitor. There are other related stimulants structurally.[50]

GBR compounds are sometimes broadly classed as being, and referred to by the term, "rimcazole analogs"[51] - for example the compounds: JJC 1-059, JJC 2-010, and JJC 2-006.[46]

GBR 12783 analogues inhibition of DAT binding & DA uptake[lower-alpha 49]
Compound S. Singh's
alphanumeric
assignation
(name)
R Ki (nM)
[3H]WIN 35425
IC50 (nM)
[3H]DA
Selectivity
DA/DAT
uptake/binding
(Cocaine) 224 ± 3.4208 ± 7.40.93
(WIN 35428) 24 ± 3.114 ± 1.80.58
(DA) 10000 ± 240044 ± 5.30.004
279
(GBR 12909/Vanoxerine)
27 ± 4.1
0.06 ± 0.02b
52.8 ± 4.4c
>20,000d
0.21 ± 0.060.007
880e
>333,333.3f
282
(GBR 12783)
H 12 ± 1.2ɑ - -
284a 3-NH2 12 ± 1.07 ± 3.50.58
284b 3-NCS 160 ± 17106 ± 370.67
284c 4-NH2 11 ± 0.71.6 ± 0.20.14
284d 4-NO2 26 ± 9.32.7 ± 0.10.10
284e 4-NCS 159 ± 1226 ± 1.80.16
284f 4-maleimide 2327 ± 1000476 ± 610.20
GBR analogue compounds with piperazine ring-alterations. Binding affinities and inhibition of uptake for DA & 5-HT.[lower-alpha 50]
Compound S. Singh's
alphanumeric
assignation
(name)
R X-Y (289-290)
R1 (298)
IC50 (nM)
[3H]GBR 12935 binding
IC50 (nM)
[3H]DA uptake
IC50 (nM)
[3H]5-HT uptake
Selectivity
[3H]DA uptake/DAT binding
Selectivity
[3H]5-HT/[3H]DA uptake
(Cocaine) 660 ± 30
(Ki value)
478 ± 25304 ± 10 0.72 0.64
(GBR 12935) 4.1 ± 0.63.7 ± 0.4289 ± 29 0.90 78.1
279
(GBR 12909)
5.5 ± 0.44.3 ± 0.373 ± 1.5 0.78 17.0
289a H C-C 21 ± 1.09.6 ± 1.51720 ± 70 0.46 179
289b F C-C 40 ± 115 ± 2459 ± 26 0.37 30.6
(-)289b (2S,5R) F C-C 3.6 ± 0.148.1 ± 0.3 - 2.25 -
(+)289b (2R,5S) F C-C 125 ± 7.087 ± 4.1 - 0.70 -
289c H C=C 103 ± 1320 ± 42680 ± 122 0.19 134
289d F C=C 23 ± 328 ± 51180 ± 404 1.22 42.1
290a
(LR1111)
H C-C 7.9 ± 1.77.2 ± 0.534100 ± 359 0.91 4736
290b F C-C 4.4 ± 0.43.4 ± 0.4112 ± 24 0.77 32.9
290c H C=C 8.6 ± 1.10.6 ± 0.1503 ± 103 0.07 838
290d F C=C 2.6 ± 0.43.4 ± 0.4234 ± 10 1.31 68.8
291 286 ± 887 ± 53150 ± 491 0.30 36.2
292 864 ± 9193 ± 61590 ± 60 0.11 17.1
293 27 ± 418 ± 12450 ± 57 0.67 136
294 169 ± 583 ± 71890 ± 268 0.49 22.8
295 80 ± 635 ± 2376 ± 19 0.44 10.7
296 74 ± 557 ± 102860 ± 45 0.77 50.2
297 20 ± 0.79.3 ± 1.81480 ± 69 0.46 159
(-)298a H H 5.1 ± 0.40.7 ± 0.05986 ± 34 0.14 1409
(+)298a H H 747 ± 163127 ± 103210 ± 450 0.17 25.3
(-)298b F H 104 ± 829 ± 220100 ± 2400 0.28 693
(-)298c H OH 222 ± 1331 ± 0.1857 ± 17 0.14 27.6
Heteroaromatic and fused ring GBR analogue affinities reuptake inhibition for DA & 5-HT and [125I]RTI-55 labeled DAT & 5-HTT binding affinities.[lower-alpha 51]
Compound S. Singh's
alphanumeric
assignation
(name)
R R1 IC50 (nM)
[125I]RTI-55 binding
DAT
IC50 (nM)
[125I]RTI-55 binding
5-HTT
IC50 (nM)
reuptake
[3H]DA
IC50 (nM)
reuptake
[3H]5-HT
Selectivity
binding
5-HTT/DAT
Selectivity
uptake
[3H]5-HT/[3H]DA
(GBR 12935) C6H5 3.7 ± 0.3623 ± 133.7 ± 0.4298 ± 29 168 80.5
304a 2-thienyl 5.2 ± 0.3842 ± 309.7 ± 0.21990 ± 58 162 205
304b 2-furyl 6.5 ± 0.21520 ± 478.5 ± 0.52550 ± 87 34 300
304c 2-pyridyl 78 ± 42420 ± 6570 ± 63700 ± 148 31.0 52.8
279 (GBR 12909) C6H5 3.7 ± 0.4126 ± 57.3 ± 0.273 ± 2 34.0 10.0
305a 2-thienyl 3.3 ± 0.1105 ± 26.1 ± 0.7335 ± 17 31.8 54.9
305b 2-furyl 5.9 ± 0.3204 ± 77.9 ± 0.5412 ± 9 34.6 52.1
305c 2-pyridyl 16 ± 0.22800 ± 13920 ± 0.86520 ± 293 175 326
282 (GBR 12783) C6H5 - - - - - -
306a 2-thienyl 6.4 ± 0.31170 ± 3110 ± 0.72020 ± 141 183 202
306b 2-furyl 5.0 ± 0.31840 ± 599.6 ± 0.32700 ± 136 368 281
306c 2-pyridyl 44 ± 32670 ± 6664 ± 23620 ± 179 60.7 56.6
283 (GBR 13069) C6H5 0.9 ± 0.1135 ± 711 ± 0.6576 ± 32 150 52.4
307a 2-thienyl 2.2 ± 0.188 ± 213 ± 1.4374 ± 17 40.0 28.8
307b 2-furyl 1.8 ± 0.3109 ± 47.2 ± 0.4442 ± 23 60.5 61.4
307c 2-pyridyl 13.6 ± 0.2334 ± 1214.5 ± 1.9666 ± 21 24.5 45.9
308a H (benzothiophen-2-yl)methyl 18.1 ± 12420 ± 10919 ± 13520 ± 289 134 185
308b F (benzothiophen-2-yl)methyl 4.1 ± 1.1495 ± 1834 ± 21230 ± 40 121 36.2
309a H (benzofuran-2-yl)methyl 17 ± 0.51890 ± 4822 ± 0.73040 ± 213 111 138
309b F (benzofuran-2-yl)methyl 6.4 ± 0.2286 ± 1018.6 ± 0.6767 ± 27 44.7 41.2
310a H (indol-2-yl)methyl 1.1 ± 0.1668 ± 398.8 ± 0.72120 ± 166 607 241
310b F (indol-2-yl)methyl 0.7 ± 0.1119 ± 513 ± 0.2506 ± 23 170 38.9
311a H (benzimidazol-2-yl)methyl 46 ± 11884 ± 7237 ± 24076 ± 221 41.0 110
311b F (benzimidazol-2-yl)methyl 15 ± 0.2256 ± 720 ± 0.8797 ± 43 17.1 39.8
312a H (quinolin-2-yl)methyl 199 ± 51990 ± 5192 ± 84120 ± 212 10.0 21.5
312b F (quinolin-2-yl)methyl 56 ± 151 ± 16106 ± 12339 ± 31 0.9 3.2
313a H (quinolin-3-yl)methyl 72 ± 21160 ± 27111 ± 33040 ± 252 16.1 27.4
313b F (quinolin-3-yl)methyl 16 ± 3485 ± 1674 ± 3851 ± 36 30.3 11.5
314a H (quinolin-6-yl)methyl 190 ± 6845 ± 15140 ± 41640 ± 58 4.4 11.7
314b F (quinolin-6-yl)methyl 62 ± 2551 ± 2173 ± 31040 ± 46 8.9 14.2
315a H 3-(benzimidazol-2-yl)propyl 23 ± 0.5309 ± 917 ± 0.7627 ± 12 13.4 36.9
315b F 3-(benzimidazol-2-yl)propyl 2.5 ± 0.128 ± 28.1 ± 0.374 ± 4 11.2 9.1
316a H (naphthalen-2-yl)methyl 43 ± 2903 ± 4732 ± 0.6926 ± 33 21.0 28.9
316b F (naphthalen-2-yl)methyl 8.0 ± 0.3312 ± 1530 ± 1588 ± 39 39.0 19.6
317a H (naphthalen-1-yl)methyl 114 ± 5336 ± 22406 ± 1183 ± 5 2.9 0.2
317b F (naphthalen-1-yl)methyl 31 ± 1243 ± 6312 ± 19257 ± 12 7.8 0.8
318a H 2-(naphthalen-1-yl)ethyl 92 ± 13462 ± 1742 ± 0.9578 ± 17 5.0 13.8
318b F 2-(naphthalen-1-yl)ethyl 7.8 ± 0.246 ± 125 ± 0.8119 ± 4 5.9 4.8
Piperidine analogues of piperazine GBR compounds & their affinity to bind at DAT & 5-HTT[lower-alpha 52]
Compound S. Singh's
alphanumeric
assignation
(name)
R R′ R″ IC50 (nM)
DAT
[3H]WIN 35428
IC50 (nM)
5-HTT
[3H]citalopram
Selectivity
5-HTT/DAT
279 (GBR 12909) 14.0 ± 0.682 ± 45.8
320 (O-549) 595 ± 14838 ± 1270.6
321 (O-526) F 24.9 ± 3.23248 ± 729.9
322a H 12.0 ± 0.4232 ± 2819.3
322b Cl 65.0 ± 12224 ± 103.4
322c Br 159 ± 56835 ± 1425.2
322d OCH3 255 ± 32340 ± 241.3
323a H 10.6 ± 0.85102 ± 59.6
323b F 19.9 ± 9.531.9 ± 7.11.6
323c Cl 115 ± 22414 ± 323.6
323d Br 382 ± 167638 ± 711.7
323e CH3 311 ± 71888 ± 582.8
324a H 15.2 ± 2.8743 ± 648.9
324b F 9.7 ± 0.4198 ± 720.4
325a H 14.5 ± 1.958 ± 73.7
325b F 13.0 ± 2.5112 ± 48.6
326a H 108 ± 14456 ± 904.2
326b F 13.5 ± 2.6237 ± 5317.5
327a H 702 ± 34544 ± 910.8
327b F 126 ± 13761 ± 1016.0
328a H H F 17.2 ± 4.71920 ± 233111.6
328b H H Cl 24.7 ± 5.51610 ± 11965.2
328c H H Br 31.1 ± 2.91490 ± 31947.9
328d H Cl Cl 85.7 ± 4.72880 ± 28133.6
328e H H OCH3 27.8 ± 6.81240 ± 34244.6
328f Cl H F 52.4 ± 7.81810 ± 10734.5
328g F H F 14.0 ± 3.31260 ± 7290.0
328h H H CH3 23.0 ± 3.71390 ± 24060.4
328i H Cl F 28.2 ± 3.12530 ± 5089.7
328j H H NO2 16.4 ± 3.01770 ± 305107.9
328k H H NH2 101 ± 131570 ± 20115.5
329a Ph 3-pyridyl 48.6 ± 8.4680 ± 12.014.0
329b Ph 2-benzo[b]thiophenyl 172 ± 16.41540 ± 2518.9
329c Ph 2-thienyl 59.3 ± 5.81250 ± 8721.1
329d 2-thienyl Ph 27.2 ± 0.1741 ± 10827.2
329e 2-thienyl 4-F-Ph 13.8 ± 3.41390 ± 243101
329f 2-thienyl 3-pyridyl 58.3 ± 5.7927 ± 3415.9
330a F 4-F-Ph 15.1 ± 2.075.8 ± 22.15.0
330b F Ph 41.4 ± 8.0271 ± 18.46.5
330c H Ph 10.1 ± 1.6231 ± 4.522.9
330d H 4-F-Ph 10.8 ± 3.2205 ± 13.319.0
330e H 2-thienyl 9.8 ± 2.4290 ± 6329.6
331a Ph H 4-F-Ph 6.6 ± 1.4223 ± 32.333.8
331b Ph H 3-pyridyl 29.9 ± 0.3194 ± 20.16.5
331c 2-thienyl H Ph 6.0 ± 0.5180 ± 21.630.0
331d 2-thienyl F Ph 11.7 ± 1.085.7 ± 2.67.3
332a H F 9.4 ± 2.6585 ± 10162.2
332b F H - - -

Dihydroimidazoles

Possible substitutions of the Mazindol molecular structure.

See: List of Mazindol analogues

Mazindol is usually considered a non-habituating (in humans, and some other mammals, but is habituating for e.g. Beagles[lower-alpha 53]) tetracyclic dopamine reuptake inhibitor (of somewhat spurious classification in the former).

It is a loosely functional analog used in cocaine research; due in large part to N-Ethylmaleimide being able to inhibit approximately 95% of the specific binding of [3H]Mazindol to the residues of the MAT binding site(s), however said effect of 10 mM N-Ethylmaleimide was prevented in its entirety by just 10 μM cocaine. Whereas neither 300 μM dopamine or D-amphetamine afforded sufficient protection to contrast the efficacy of cocaine.[lower-alpha 54]

The above steps in its synthesis show the similitude of its precursors to the MAT reuptake inhibitor pipradrol & related compounds.

Local anesthetics (not usually CNS stimulants)

Amylocaine, or Stovaine (above), the first synthetically constructed local anesthetic. Compare structure to dimethylaminopivalophenone (below), an analgesic (opioid). Interestingly, cocaine's classification as a narcotic under U.S. legal code, as has been stretched to be medicinally rationalized such when defining terms very broadly (due to its topical numbing affect, hindering pain signals from CNS recognition via local anesthesia) usually considered an exaggeration of traditional medicine naming convention, in this instance between the first synthetic sodium channel blocker and one of the very simplest opioids there remains a measure of apparent structural similarity between the former anesthetic and latter analgesic "narcotics"; despite the highly differing methods of action for the respective 'pain-killing' properties of either.[52]
β-Eucaine (Betacain)

In animal studies, certain of the local anesthetics have displayed residual dopamine reuptake inhibitor properties,[53] although not normally ones that are easily available. These are expected to be more cardiotoxic than phenyltropanes. For example, dimethocaine has behavioral stimulant effects (and therefore not here listed below) if a dose of it is taken that is 10 times the amount of cocaine. Dimethocaine is equipotent to cocaine in terms of its anesthetic equivalency.[53] Intralipid "rescue" has been shown to reverse the cardiotoxic effects of sodium channel blockers and presumably those effects when from cocaine administered intravenously as well.

List of local anesthetics
Name Other common names
Amylocaine Stovaine
Articaine Astracaine, Septanest, Septocaine, Ultracaine, Zorcaine
Benzocaine
Bupivacaine Marcaine, Sensorcaine, Vivacaine
Butacaine
Carticaine
Chloroprocaine Nesacaine
Cinchocaine/Dibucaine Cincain, Cinchocaine, Nupercainal, Nupercaine, Sovcaine
Cyclomethycaine Surfacaine, Topocaine
Etidocaine
Eucaine α-eucaine, ß-eucaine
Fomocaine[54]
Fotocaine[54]
Hexylcaine Cyclaine, Osmocaine
Levobupivacaine Chirocaine
Lidocaine/Lignocaine Xylocaine, Betacaine
Mepivacaine Carbocaine, Polocaine
Meprylcaine/Oracaine Epirocain
Metabutoxycaine Primacaine
Phenacaine/Holocaine
Piperocaine Metycaine
Pramocaine/Pramoxine
Prilocaine Citanest
Propoxycaine/Ravocaine
Procaine/Novocaine Borocaine (Procaine Borate), Ethocaine
Proparacaine/Alcaine
Quinisocaine Dimethisoquin
Risocaine
Ropivacaine Naropin
Tetracaine/Amethocaine Pontocaine, Dicaine
Trimecaine Mesdicain, Mesocain, Mesokain

Analogues for other purposes

Tropanes (Non-ecgonine)

Benzamides

Mefexamide is not a benzamide, but it has structure that is related and is described as a central stimulant, and therefore more correctly a "functional analog". cf. the benzoate stimulants

Toxins

Cocaine to Anatoxin-a:[55]

VFDF
Note its eight, instead of seven, sides
(not counting the nitrogen-bridge inside ring)
cf. methylecgonidine, a pyrolysis product of cocaine freebase.
cf. also: ferruginine, a compound even more analogous to the former.[56]
UB-165, a nAChR agonist of a subtype with a function leading to release of dopamine and noradrenaline in the brain.

See also

Cocaine-N-oxide: Hydroxytropacocaine: m-Hydroxybenzoylecgonine:

Methylecgonine cinnamate, an alkaloid widely considered inactive in its own right, but postulated to be active under pyrolysis. (cf. alkylphenyltropane analogue "224e") It is, however, found in patents of active cocaine analogue structures.[58][59]
Cocaine HCl hydrolyzes in moist air and enucleates from on its tropane-skeleton arrangement to become the above compound; methyl benzoate

Common analogues to prototypical D-RAs:

Notes (inclu. specific locations of citations from within references used)

  1. [1]Page #969 (45th page of article) §III. ¶1. Final line. Last sentence.
  2. [1]Page #1,018 (94th page of article) 2nd column, 2nd paragraph.
  3. [1]Page #940 (16th page of article) underneath Table 8., above §4
  4. [1]Page #970 (46th page of article) Table 27. Figure 29.
  5. [1]Page #971 (47th page of article) Figure 30. & Page #973 (49th page of article) Table 28.
  6. [1]Page #982 (58th page of article)
  7. [1]Page #971 (47th page of article) Figure 30 & Page #971 (47th page of article) Figure 30 & Page #973 (49th page of article) Table 28
  8. [1]Page #972 (48th page of article) ¶2, Line 10.
  9. [1]Page #971 (47th page of article) Figure 30 & Page #971 (47th page of article) Figure 30 & Page #973 (49th page of article) Table 28
  10. [1]Page #971 (47th page of article) Figure 30 & Page #971 (47th page of article) Figure 30 & Page #973 (49th page of article) Table 28
  11. [1]Page #971 (47th page of article) Figure 30 & Page #971 (47th page of article) Figure 30 & Page #973 (49th page of article) Table 28
  12. [1]Page #974 (50st page of article) First (left) column, third ¶
  13. [1]Page #937 (13th page of article) Second (right) column, first ¶. Above/before §2
  14. [1]Page #974 (50th page of article) Final ¶ (5th), Second line.
  15. [1]Page #975 (51st page of article) First ¶, first line.
  16. [1]Page #975 (51st page of article) First ¶, 4th line.
  17. [1]Page #973 (49th page of article) §C. & Page #974 (50th page of article) Figure 31 & Page #976 (52nd page of article) Table 29.
  18. [1]Page #974 (50st page of article) First (left) column, fourth ¶
  19. [1]Page #974 (50th page of article) Figure 31 & Page #977 (53rd page of article) Table 30.
  20. [1]Page #974 (50th page of article) Figure 31 & Page #977 (53rd page of article) Table 30.
  21. [1]Page #974 (50th page of article) Figure 31 & Page #977 (53rd page of article) Table 30.
  22. [1]Page #974 (50th page of article) Figure 31 & Page #977 (53rd page of article) Table 30.
  23. [1]Page #978 (54th page of article) §D & Page #980 (56th page of article) Figure 33 & Page #981 (57th page of article) Table 32.
  24. [1]Page #980 (56th page of article) Scheme 52.
  25. [1]Page #963 (39th page of article) 2nd (right side) column, 2nd paragraph.
  26. [1]Page #982 (58th page of article) §G & Page #983 (59th page of article) Figure 36 & Page #984 (60th page of article) Table 35.
  27. [1]Page #979 (55th page of article) Table 31.
  28. [1]Page #981 (57th page of article) §E & Page #982 (58th page of article) Table 33.
  29. [1]Page #970 (46th page of article) §B, 10th line
  30. [1]Page #971 (47th page of article) 1st ¶, 10th line
  31. [1]Page #949 (25th page of article) 3rd ¶, 20th line
  32. [1]Page #982 (58th page of article) 3rd ¶, lines 2, 5 & 6.
  33. [1]Page #982 (58th page of article) §F, Table 34 & Figure 35.
  34. [1]Page #984 (60th page of article) §H, Figure 37 & Page #985 (61st page of article) Table 36.
  35. [1]Page #984 (60th page of article) Scheme 56.
  36. [1]Page #986 (62nd page of article) §I, Table 37 & Scheme 58
  37. [1]Page #1,014 (90th page of article) §VIII, A. Figure 59.
  38. [1]Page #1,016 (92nd page of article) Figure 60.
  39. [1]Page #990 (66th page of article) Figure 44
  40. [37] ←Page #31, §3.2. ¶3, 15th & 16th lines, final sentence.
  41. [1]Page #927 (3rd page of article) second ¶. Lines seven — fifteen.
  42. [1]Page #1,006 (82nd page of article) 2nd row, 1st ¶ (orig. ref.: Bonnet, J.-J.; Benmansour, S.; Costenin, J.; Parker, E. M. ;Cubeddu, L. X. J. Pharmacol. Exp. Ther. 1990, 253, 1206)
  43. [1]Page #987 (63rd page of article) §IV, Figure 39 & Page #988 (64th page of article) Table 38.
  44. [1]Page #987 (63rd page of article) Figure 40, Page #988 (64th page of article) §B & Page #989 (65th page of article) Table 39.
  45. [1]Page #987 (63rd page of article) Figure 41, Page #989 (65th page of article) §C & Page #990 (66th page of article) Table 40.
  46. [1]Page #988 (64th page of article) Figure 42, Page #990 (66th page of article) §2 & Page #992 (68th page of article) Table 41.
  47. [1]Page #988 (64th page of article) Figure 43, Page #992 (68th page of article) §3 & Table 42.
  48. [1]Page #993 (69th page of article) §V. ¶2. Fourth line. First sentence.
  49. [1]Page #993 (69th page of article) §V, Figure 46 & Table 43.
  50. [1]Page #995 (71st page of article) Figure 47 & Page #997 (73rd page of article) Table 44.
  51. [1]Page #997 (73rd page of article) §C, Page #998 (74th page of article) Figure 48 & Page #1,000 Table 45.
  52. [1]Page #1,000 (76th page of article) §D, Page #1,001 (77th page of article) Figure 49 & Page #1,005 (81st page of article) Table 46.
  53. [1]Page #1,011 (87th page of article) §VII (7) 1st ¶.
  54. [1]Page #969 (45th page of article) 2nd (right-side) column 2nd .

References

  1. 1 2 3 4 5 6 7 8 9 10 11 12 13 14 15 16 17 18 19 20 21 22 23 24 25 26 27 28 29 30 31 32 33 34 35 36 37 38 39 40 41 42 43 44 45 46 47 48 49 50 51 52 53 Chemistry, Design, and Structure-Activity Relationship of Cocaine Antagonists. Satendra Singh et al. Chem. Rev. 2000, 100. 925-1024. PubMed; Chemical Reviews (Impact Factor: 45.66). 04/2000; 100(3):925-1024 American Chemical Society; 2000 ISSN 0009-2665 ChemInform; May, 16th 2000, Volume 31, Issue 20, doi:10.1002/chin.200020238. Mirror hotlink.
  2. Psicaine: An artifical cocaine. Br Med J. 1925 Jan 3;1(3340):11. PMID 20771843 PMCID: PMC2196615. Watson-Williams E.
  3. 1 2 Singh S, Basmadjian GP, Avor K, Pouw B, Seale TW. A convenient synthesis of 2′- or 4′-hydroxycocaine. Synthetic Communications. 1997;27(22):4003-4012.
    et. el-Moselhy TF, Avor KS, Basmadjian GP. 2′-substituted analogs of cocaine: synthesis and dopamine transporter binding potencies. Archiv der Pharmazie (Weinheim). 2001 Sep;334(8-9):275-8. PMID 11688137
    et. Seale TW, Avor K, Singh S, Hall N, Chan HM, Basmadjian GP. 2′-Substitution of cocaine selectively enhances dopamine and norepinephrine transporter binding. Neuroreport. 10 November 1997;8(16):3571-5. PMID 9427328
  4. 1 2 Smith, R. Martin; Poquette, Michael A.; Smith, Paula J.,
  5. "Hydroxymethoxybenzoylmethylecgonines: New metabolites of cocaine from human urine." Journal of Analytical Toxicology 1984, 8(1), pp.29-34
  6. Gatley SJ, Yu DW, Fowler JS, MacGregor RR, Schlyer DJ, Dewey SL, Wolf AP, Martin T, Shea CE, Volkow ND (March 1994). "Studies with differentially labeled [11C]cocaine, [11C]norcocaine, [11C]benzoylecgonine, and [11C]- and 4′-[18F]fluorococaine to probe the extent to which [11C]cocaine metabolites contribute to PET images of the baboon brain". Journal of Neurochemistry. 62 (3): 1154–62. doi:10.1046/j.1471-4159.1994.62031154.x. PMID 8113802.
  7. Carroll, F. I.; Lewin, A. H.; Boja, J. W.; Kuhar, M. J. (1992). "Cocaine Receptor: Biochemical Characterization and Structure-Activity Relationships of Cocaine Analogues at Dopamine Transporter". Journal of Medicinal Chemistry. 35 (6): 969–981. doi:10.1021/jm00084a001. PMID 1552510.
  8. Seale, TW; Avor, K; Singh, S; Hall, N; Chan, HM; Basmadjian, GP (1997). "2′-Substitution of cocaine selectively enhances dopamine and norepinephrine transporter binding". NeuroReport. 8 (16): 3571–5. doi:10.1097/00001756-199711100-00030. PMID 9427328.
  9. The analgesic properties of some 14-substituted derivatives of codeine and codeinone J. Pharm. Pharmacol., Royal Pharmaceutical Society of Great Britain, 1964, 16, 174—182. doi: 10.1111/j.2042-7158.1964.tb07440.x
  10. Synthesis of novel spirocyclic cocaine analogs using the Suzuki coupling. Tetrahedron Letters. Volume 41, Issue 13, 27 March 2000, Pages 2055–2058. Sukumar Sakamuri et al. doi:10.1016/S0040-4039(00)00113-1
  11. Isomura, Shigeki; Hoffman, Timothy Z.; Wirsching, Peter; Janda, Kim D. (2002). "Benzoylthio-. cocaine, analogue substitution. Synthesis, Properties, and Reactivity of Cocaine Benzoylthio Ester Possessing the Cocaine Absolute Configuration". J. Am. Chem. Soc. 124 (14): 3661–3668. doi:10.1021/ja012376y. PMID 11929256.
  12. Davis, Franklin A.; Gaddiraju, Narendra V.; Theddu, Naresh; Hummel, Joshua R.; Kondaveeti, Sandeep K.; Zdilla, Michael J. (2012). "Enantioselective Synthesis of Cocaine C-1 Analogues using Sulfinimines (N-Sulfinyl Imines)". The Journal of Organic Chemistry. 77 (5): 2345–2359. doi:10.1021/jo202652f. ISSN 0022-3263.
  13. 1 2 3 Reith, M. E. A.; Ali, S.; Hashim, A.; Sheikh, I. S.; Theddu, N.; Gaddiraju, N. V.; Mehrotra, S.; Schmitt, K. C.; Murray, T. F.; Sershen, H.; Unterwald, E. M.; Davis, F. A. (2012). "Novel C-1 Substituted Cocaine Analogs Unlike Cocaine or Benztropine". Journal of Pharmacology and Experimental Therapeutics. 343 (2): 413–425. doi:10.1124/jpet.112.193771. ISSN 1521-0103. Full article
  14. Cocaine binding at sigma receptors. Sharkey et al. Eur J Pharmacol. 1988 Apr 27;149(1-2):171-4.
  15. Involvement of the Sigma1 Receptor in Cocaine-induced Conditioned Place Preference: Possible Dependence on Dopamine Uptake Blockade Pascal Romieu et al. Neuropsychopharmacology (2002) 26 444-455.10.1038/S0893-133X(01)00391-8
  16. 1 2 3 4 5 6 7 U.S. Patent 6,479,509
  17. Kozikowski, A. P.; Simoni, D.; Roberti, M.; Rondanin, R.; Wang, S.; Du, P.; Johnson, K. M. (1999). "Synthesis of 8-oxa analogues of norcocaine endowed with interesting cocaine-like activity". Bioorganic & Medicinal Chemistry Letters. 9 (13): 1831–1836. doi:10.1016/S0960-894X(99)00273-5.
  18. Hoepping, Alexander (2000). "Novel Conformationally Constrained Tropane Analogues by 6- e ndo-trig Radical Cyclization and Stille Coupling − Switch of Activity toward the Serotonin and/or Norepinephrine Transporter". Journal of Medicinal Chemistry. 43 (10): 2064–2071. doi:10.1021/jm0001121. PMID 10821718.
  19. Zhang, Ao (2002). "Thiophene derivatives: a new series of potent norepinephrine and serotonin reuptake inhibitors". Bioorganic. 12 (7): 993–995. doi:10.1016/S0960-894X(02)00103-8.
  20. Zhang, Ao (2002). "Further Studies on Conformationally Constrained Tricyclic Tropane Analogues and Their Uptake Inhibition at Monoamine Transporter Sites: Synthesis of ( Z )-9-(Substituted arylmethylene)-7-azatricyclo[4.3.1.0 3,7 ]decanes as a Novel Class of Serotonin Transporter Inhibitors". Journal of Medicinal Chemistry. 45 (9): 1930–1941. doi:10.1021/jm0105373. PMID 11960503.
  21. Novel 2-substituted cocaine analogs: binding properties at dopamine transport sites in rat striatum. Eur J Pharmacol 1993 Jan;244(1):93-7. PMID 8420793
  22. "Drugbank website "drug card", "(DB00907)" for Cocaine: Giving ten targets of the molecule in vivo, including dopamine/serotonin sodium channel affinity & K-opioid affinity". Drugbank.ca. Retrieved 9 March 2010.
  23. Voltage sensitivities and deactivation kinetics of histamine H3 and H4 receptors. Biochimica et Biophysica Acta (BBA) - Biomembranes. Volume 1818, Issue 12, December 2012, Pages 3081–3089 Kristoffer Sahlholm, Johanna Nilsson, Daniel Marcellino, Kjell Fuxe, Peter Århem. doi:10.1016/j.bbamem.2012.07.027 …Agonist potency at some neurotransmitter receptors has been shown to be regulated by voltage, a mechanism which has been suggested to play a crucial role in the regulation of neurotransmitter release by inhibitory autoreceptors…
  24. Enantioselective synthesis of strobamine and its analogues Xing Zhang et al. Center for Organic and Medicinal Chemistry, Research Triangle Institute. Issue in Honor of Prof. James M.Cook ARKIVOC 2010 (iv)96-103
  25. 1 2 Appell, Michael; Dunn, William J.; Reith, Maarten E.A.; Miller, Larry; Flippen-Anderson, Judith L. (2002). "An Analysis of the Binding of Cocaine Analogues to the Monoamine Transporters Using Tensor Decomposition 3-D QSAR". Bioorganic & Medicinal Chemistry. 10 (5): 1197–1206. doi:10.1016/S0968-0896(01)00389-3. ISSN 0968-0896.
  26. "Cocaine Analog Coupled to Disrupted Adenovirus: A Vaccine Strategy to Evoke High-titer Immunity Against Addictive Drugs" PMCID: PMC3048190 doi: 10.1038/mt.2010.280
  27. Active immunotherapy for the Treatment of Cocaine Dependence Drugs Future. 2010 Apr 1; 35(4): 301–306. doi: 10.1358/dof.2010.035.04.1474292
  28. Novel Cocaine Vaccine Linked to a Disrupted Adenovirus Gene Transfer Vector Blocks Cocaine Psychostimulant and Reinforcing Effects Neuropsychopharmacology. 2012 Apr; 37(5): 1083–1091. doi: 10.1038/npp.2011.200 PMCID: PMC3306868 Sunmee Wee et al.
  29. Catalytic antibodies against cocaine and methods of using and producing same Google patents US 6566084 B1
  30. Deng, Shixian; Bharat, Narine; de Prada, Paloma; Landry, Donald W. (2004). "Substrate-assisted antibody catalysis". Organic & Biomolecular Chemistry. 2 (3): 288. doi:10.1039/b314264g. ISSN 1477-0520.
  31. Inhibition of Cocaine Binding to the Human Dopamine Transporter by a Single Chain Anti-Idiotypic Antibody: Its Cloning, Expression and Functional Properties Biochim Biophys Acta. 2003 Jul 30; 1638(3): 257–266. PMCID: PMC3295240 NIHMSID: NIHMS358284
  32. Exploring the feasibility of an anti-idiotypic cocaine vaccine: analysis of the specificity of anticocaine antibodies (Ab1) capable of inducing Ab2βanti-idiotypic antibodies Immunology. 2000 May; 100(1): 48–56. PMCID: PMC2326984 doi: 10.1046/j.1365-2567.2000.00004.x
  33. Soft drugs— Synthesis and anticholinergic activity of soft phenylsuccinic analogs of methatropine Bioorganic & Medicinal Chemistry: Volume 1, Issue 3, September 1993, Pages 183–187
  34. Bemesetron @ U.S. National Library of Medicine's TOXNET: Toxicology Data Network
  35. An alkaloid of Phyllanthus discoides (Euphorbiaceae) phyllalbine, a central and peripheral sympathomimetic (Impact Factor: 0.4). 01/1965; 20(4):1033-41
  36. ARZNAD Arzneimittel-Forschung. Drug Research. (Editio Cantor Verlag, Postfach 1255, W-7960 Aulendorf, Fed. Rep. Ger.) V.1-1951-Volume(issue)/page/year: 18,517,1968
  37. Dopamine reuptake transporter (DAT) ``inverse agonism´´ - A novel hypothesis to explain the enigmatic pharmacology of cocaine 2014-12-24 17:08:48 2014-12-25 00:28:27
  38. The binding sites for cocaine and dopamine in the dopamine transporter overlap Nat Neurosci. 2008 Jul; 11(7): 780–789. doi: 10.1038/nn.2146
  39. Zhou, Jia; He, Rong; Johnson, Kenneth M.; Ye, Yanping; Kozikowski, Alan P. (2004). "Piperidine-Based Nocaine/Modafinil Hybrid Ligands as Highly Potent Monoamine Transporter Inhibitors: Efficient Drug Discovery by Rational Lead Hybridization". Journal of Medicinal Chemistry. 47 (24): 5821–5824. doi:10.1021/jm040117o. ISSN 0022-2623.
  40. Skeptics Stack Exchange: Is sugar one element away from cocaine (or any other drug?)
  41. Velázquez-Sánchez, Clara; García-Verdugo, José M.; Murga, Juan; Canales, Juan J. (2013). "The atypical dopamine transport inhibitor, JHW 007, prevents amphetamine-induced sensitization and synaptic reorganization within the nucleus accumbens". Progress in Neuro-Psychopharmacology and Biological Psychiatry. 44: 73–80. doi:10.1016/j.pnpbp.2013.01.016. ISSN 0278-5846.
  42. Tanda, G; Newman, A; Ebbs, AL; Tronci, V; Green, J; Tallarida, RJ; Katz, JL (2009). "Combinations of Cocaine with other Dopamine Uptake Inhibitors: Assessment of Additivity". J Pharmacol Exp Ther. 330 (3): 802–9. doi:10.1124/jpet.109.154302. PMC 2729796Freely accessible. PMID 19483071.
  43. J Pharmacol Exp Ther. 2013 Jul; 346(1): 2–10. Fig. 1. Published online 2013 Jul. doi: 10.1124/jpet.111.191056
  44. 1 2 3 Rothman RB, Baumann MH, Prisinzano TE, Newman AH. Dopamine transport inhibitors based on GBR12909 and benztropine as potential medications to treat cocaine addiction. Biochem Pharmacol. 2008 Jan 1;75(1):2-16. doi:10.1016/j.bcp.2007.08.007 PMID 17897630
  45. Runyon SP, Carroll FI. Dopamine transporter ligands: recent developments and therapeutic potential. Curr Top Med Chem. 2006;6(17):1825-43. doi:10.2174/156802606778249775 PMID 17017960
  46. 1 2 3 4 5 Loland, C. J.; Desai, R. I.; Zou, M.-F.; Cao, J.; Grundt, P.; Gerstbrein, K.; Sitte, H. H.; Newman, A. H.; Katz, J. L.; Gether, U. (2007). "Relationship between Conformational Changes in the Dopamine Transporter and Cocaine-Like Subjective Effects of Uptake Inhibitors". Molecular Pharmacology. 73 (3): 813–823. doi:10.1124/mol.107.039800. ISSN 0026-895X.
  47. Banister, Samuel D.; Manoli, Miral; Barron, Melissa L.; Werry, Eryn L.; Kassiou, Michael (2013). "N-substituted 8-aminopentacyclo[5.4.0.02,6.03,10.05,9]undecanes as σ receptor ligands with potential neuroprotective effects". Bioorganic & Medicinal Chemistry. 21 (19): 6038–6052. doi:10.1016/j.bmc.2013.07.045. ISSN 0968-0896.
  48. Dallanoce, Clelia; Canovi, Mara; Matera, Carlo; Mennini, Tiziana; De Amici, Marco; Gobbi, Marco; De Micheli, Carlo (2012). "A novel spirocyclic tropanyl-Δ2-isoxazoline derivative enhances citalopram and paroxetine binding to serotonin transporters as well as serotonin uptake". Bioorganic & Medicinal Chemistry. 20 (21): 6344–6355. doi:10.1016/j.bmc.2012.09.004. ISSN 0968-0896.
  49. 3,4-Methylenedioxypyrovalerone prevents while methylone enhances methamphetamine-induced damage to dopamine nerve endings: β-ketoamphetamine modulation of neurotoxicity by the dopamine transporter J Neurochem. 2015 Apr; 133(2): 211–222. doi: 10.1111/jnc.13048
  50. Schmitt, Kyle C.; Zhen, Juan; Kharkar, Prashant; Mishra, Manoj; Chen, Nianhang; Dutta, Aloke K.; Reith, Maarten E. A. (2008). "Interaction of cocaine-, benztropine-, and GBR12909-like compounds with wild-type and mutant human dopamine transporters: molecular features that differentially determine antagonist-binding properties". Journal of Neurochemistry. doi:10.1111/j.1471-4159.2008.05667.x. ISSN 0022-3042.
  51. Katz, Jonathan L.; Libby, Therissa A.; Kopajtic, Theresa; Husbands, Stephen M.; Newman, Amy Hauck (2003). "Behavioral effects of rimcazole analogues alone and in combination with cocaine". European Journal of Pharmacology. 468 (2): 109–119. doi:10.1016/S0014-2999(03)01638-8. ISSN 0014-2999.
  52. Ruetsch, YA; Böni, T; Borgeat, A (Aug 2001). "From cocaine to ropivacaine: the history of local anesthetic drugs". Curr Top Med Chem. 1 (3): 175–82. doi:10.2174/1568026013395335. PMID 11895133.
  53. 1 2 Wilcox, K.M., Kimmel, H.L., Lindsey, K.P., Votaw, J.R., Goodman, M.M., Howell, L.L. In vivo comparison of the reinforcing and dopamine transporter effects of local anesthetics in rhesus monkeys. Synapse, 58: 220-228, 2005. PDF
  54. 1 2 Schoenberger, Matthias; Damijonaitis, Arunas; Zhang, Zinan; Nagel, Daniel; Trauner, Dirk (2014). "Development of a New Photochromic Ion Channel Blocker via Azologization of Fomocaine". ACS Chemical Neuroscience. 5 (7): 514–518. doi:10.1021/cn500070w. ISSN 1948-7193. nih.gov article
  55. Wegge, Thomas; Schwarz, Simone; Seitz, Gunther (2000). "A new and efficient synthetic route to enantiopure (+)-anatoxin-a from (−)-cocaine hydrochloride". Tetrahedron: Asymmetry. 11 (6): 1405–1410. doi:10.1016/S0957-4166(00)00059-8.
  56. Approaches to the enantioselective synthesis of ferrugine and its analogues Institute of Chemistry, University of Bialystok, ul. Hurtowa 1, 15-339 Bialystok, Poland
  57. Antagonism of nicotine's action by cocaine analogs. Life Sci. 1995;56(3):PL67-70.
  58. U.S. Patent 6,479,509 Patent inventor Frank Ivy Carroll, Assignee: Research Triangle Institute
  59. U.S. patent US6479509 B1 structures given for submission, 5th compound down in image.

External links

Wikimedia Commons has media related to Cocaine analogs.

This article is issued from Wikipedia - version of the 11/7/2016. The text is available under the Creative Commons Attribution/Share Alike but additional terms may apply for the media files.