Trovafloxacin

Trovafloxacin
Clinical data
AHFS/Drugs.com Micromedex Detailed Consumer Information
MedlinePlus a605016
Routes of
administration
Oral, intravenous
ATC code J01MA13 (WHO)
Legal status
Legal status
  • Withdrawn from market
Identifiers
CAS Number 147059-72-1 YesY
PubChem (CID) 62959
DrugBank DB00685 YesY
ChemSpider 16736478 YesY
UNII 9F388J00UK YesY
KEGG D08654 YesY
ChEBI CHEBI:9763 N
ChEMBL CHEMBL428 YesY
Chemical and physical data
Formula C20H15F3N4O3
Molar mass 416.353 g/mol
3D model (Jmol) Interactive image
 NYesY (what is this?)  (verify)

Trovafloxacin (sold as Trovan by Pfizer and Turvel by Laboratorios Almirall) was a broad spectrum antibiotic that inhibits the uncoiling of supercoiled DNA in various bacteria by blocking the activity of DNA gyrase and topoisomerase IV.[1] It was withdrawn from the market due to the risk of hepatotoxicity. It had better gram-positive bacterial coverage and less gram-negative coverage than the previous fluoroquinolones.

Adverse reactions

Trovafloxacin use is significantly restricted due to its high potential for inducing serious, sometimes fatal liver damage.[2]

Controversy

Nigerian clinical trial

In 1996, during a meningitis epidemic in Kano, Nigeria, the drug was administered to approximately 200 [3] infected children. Eleven children died in the trial: five after taking Trovan and six after taking an older antibiotic used for comparison in the clinical trial. Others suffered blindness, deafness and brain damage, common sequalae of meningitis that have not been seen in patients treated with trovafloxacin for other infection types.[4][5][6] An investigation by the Washington Post concluded that Pfizer had administered the drug as part of an illegal clinical trial without authorization from the Nigerian government or consent from the children's parents.[7] The case came to light in December 2000 as the result of an investigation by The Washington Post, and sparked significant public outcry. The most serious error was the falsification and backdating of an ethics approval letter by the lead investigator of the trial, Dr. Abdulhamid Isa Dutse. Dr. Dutse is now the chief medical officer of Aminu Kano Teaching Hospital. The result of the trial was that children treated with oral trovafloxacin had a 5% (5/100) mortality rate compared to a 6% (6/100) mortality rate with intramuscular ceftriaxone.

Between 2002 and 2005 the victims of the Trovan tests in Nigeria filed a series of unsuccessful lawsuits in the United States. However, in January 2009, the United States Court of Appeals for the Second Circuit ruled that the Nigerian victims and their families were entitled to bring suit against Pfizer in the United States under the Alien Tort Statute. A US$75 million settlement with the State of Kano was reached July 30, 2009.[8] Additionally two lawsuits also remain pending in New York, United States.[8] According to Wikileaked US embassy cables, Pfizer's country manager admitted that "Pfizer had hired investigators to uncover corruption links to federal attorney general Michael Aondoakaa to expose him and put pressure on him to drop the federal cases."[9]

Post approval link to hepatotoxicity

Trovan sales during its first full year on the market contributed US$160 million of Pfizer's total revenue of US$12.6 billion. Investors expected it to eventually bring in US$1 billion per year.[10]

In June 1999 the U.S. Food and Drug Administration advised doctors to limit the prescription of Trovan after it had been found "strongly associated" with 14 cases of acute liver failure and six deaths. The FDA had received over 100 reports of liver problems in people taking Trovan, which was at that time being prescribed at a rate of 300,000 patients per month in the United States. Two days later the Committee for Proprietary Medicinal Products recommended to the European Commission that marketing approval of Trovan be suspended for a year.[10][11]

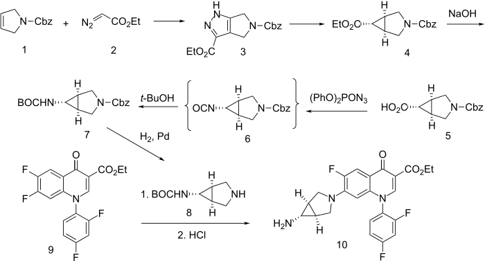
Synthesis

Trovafloxacin synthesis: K. E. Brighty, U.S. Patent 5,164,402 (1992 to Pfizer).

The key reaction in building the ring consists of 1,3-Dipolar cycloaddition of ethyl diazoacetate to N-Cbz-3-pyrroline to afford the pyrrazolidine (3). Pyrolysis results in loss of nitrogen and formation of the cyclopropylpyrrolidine ring. The stereochemistry of the ring simply reflects the thermodynamics, since cis ring fusion is by far the most stable arrangement, as is the cis configuration of the ester group. The ester is then saponified to the corresponding carboxylic acid (5). The acid undergoes a version of the Curtius rearrangement when treated with diphenylphosphoryl azide (DPPA) to afford the transient isocyanate (6). The reactive function adds t-BuOH from the reaction medium to afford the product as its tert-Butyloxycarbonyl protecting group derivative (7). Catalytic hydrogenation then removes the carbobenzyloxy protecting group to afford the secondary amine (8). In a standard quinoline reaction, this amine is then used to displace the more reactive fluorine at the 7-position in Ethyl 1-(2,4-difluorophenyl)-6,7-difluoro-4-oxo-1,4-dihydro-1,8-naphthyridine-3-carboxylate (9).[12]

See also

References

  1. Gootz, TD; Zaniewski R; Haskell S; Schmieder B; Tankovic J; Girard D; Courvalin P; Polzer RJ (December 2006). "Activity of the new fluoroquinolone trovafloxacin (CP-99,219) against DNA gyrase and topoisomerase IV mutants of Streptococcus pneumoniae selected in vitro". Antimicrob Agents Chemother. 40 (12): 2691–7. PMC 163605Freely accessible. PMID 9124824.
  2. "Acute liver failure due to trovafloxacin: CT findings". doi:10.1007/PL00011876.
  3. Report of the Investigation Committee on the Clinical Trial of Trovafloxacin (Trovan) by Pfizer, Kano, 1996. (PDF), Federal Ministry of Health, Nigeria
  4. Williams D, Hopkins S (June 1998). "Safety of trovafloxacin in treatment of lower respiratory tract infections". Eur. J. Clin. Microbiol. Infect. Dis. 17 (6): 454–8. doi:10.1007/bf01691582. PMID 9758292.
  5. Lipsky BA, Baker CA (February 1999). "Fluoroquinolone toxicity profiles: a review focusing on newer agents". Clin. Infect. Dis. 28 (2): 352–64. doi:10.1086/515104. PMID 10064255.
  6. Sabatini C, Bosis S, Semino M, Senatore L, Principi N, Esposito S (June 2012). "Clinical presentation of meningococcal disease in childhood". J Prev Med Hyg. 53 (2): 116–9. PMID 23240173.
  7. Stephens, Joe (May 7, 2006). "Panel Faults Pfizer in '96 Clinical Trial In Nigeria". The Washington Post. p. A01. Retrieved 2006-08-28.
  8. 1 2 Stephens, Joe (July 31, 2009). "Pfizer to Pay $75 Million to Settle Nigerian Trovan Drug-Testing Suit". The Washington Post. Retrieved May 26, 2010.
  9. Boseley, Sarah (9 December 2010). "WikiLeaks cables: Pfizer 'used dirty tricks to avoid clinical trial payout'". The Guardian.
  10. 1 2 Petersen, Melody (August 27, 2000). "Unforeseen Side Effects Ruined One Blockbuster". The New York Times. p. 3.11.
  11. "Suspension of Trovan Drug in Europe Is Urged". The New York Times. June 12, 1999. p. C.3.
  12. D. Lednicer, The organic chemistry of Drug Synthesis, Vol. 5, p 123 (1995).
This article is issued from Wikipedia - version of the 11/10/2016. The text is available under the Creative Commons Attribution/Share Alike but additional terms may apply for the media files.