Novobiocin
![]() | |
![]() | |
| Clinical data | |
|---|---|
| AHFS/Drugs.com | International Drug Names |
| Routes of administration | intravenous |
| ATCvet code | QJ01XX95 (WHO) |
| Pharmacokinetic data | |
| Bioavailability | negligible oral bioavailability |
| Metabolism | excreted unchanged |
| Biological half-life | 6 hours |
| Excretion | renal |
| Identifiers | |
| |
| CAS Number |
303-81-1 |
| PubChem (CID) | 9346 |
| DrugBank |
DB01051 |
| ChemSpider |
10226117 |
| UNII |
17EC19951N |
| KEGG |
C05080 |
| ChEMBL |
CHEMBL36506 |
| ECHA InfoCard | 100.005.589 |
| Chemical and physical data | |
| Formula | C31H36N2O11 |
| Molar mass | 612.624 |
| 3D model (Jmol) | Interactive image |
| |
| |
| (verify) | |
Novobiocin, also known as albamycin or cathomycin, is an aminocoumarin antibiotic that is produced by the actinomycete Streptomyces niveus, which has recently been identified as a subjective synonym for S. spheroides[1] a member of the order Actinobacteria. Other aminocoumarin antibiotics include clorobiocin and coumermycin A1.[2] Novobiocin was first reported in the mid-1950s (then called streptonivicin).[3][4]
Clinical use
It is active against Staphylococcus epidermidis and may be used to differentiate it from the other coagulase-negative Staphylococcus saprophyticus, which is resistant to novobiocin, in culture.
Novobiocin was licensed for clinical use under the tradename Albamycin (Pharmacia And Upjohn) in the 1960s. Its efficacy has been demonstrated in preclinical and clinical trials.[5][6] The oral form of the drug has since been withdrawn from the market due to lack of efficacy.[7] Novobiocin is effective antistaphylococcal agent used in the treatment of MRSA.[8]
Mechanism of action
The molecular basis of action of novobiocin, and other related drugs clorobiocin and coumermycin A1 has been examined.[2][9][10][11][12] Aminocoumarins are very potent inhibitors of bacterial DNA gyrase and work by targeting the GyrB subunit of the enzyme involved in energy transduction. Novobiocin as well as the other aminocoumarin antibiotics act as competitive inhibitors of the ATPase reaction catalysed by GyrB. The potency of novobiocin is considerably higher than that of the fluoroquinolones that also target DNA gyrase, but at a different site on the enzyme. The GyrA subunit is involved in the DNA nicking and ligation activity.
Structure
Novobiocin is an aminocoumarin. Novobiocin may be divided up into three entities; a benzoic acid derivative, a coumarin residue, and the sugar novobiose.[9] X-ray crystallographic studies have found that the drug-receptor complex of Novobiocin and DNA Gyrase shows that ATP and Novobiocin have overlapping binding sites on the gyrase molecule.[13] The overlap of the coumarin and ATP-binding sites is consistent with aminocoumarins being competitive inhibitors of the ATPase activity.[14]
Structure–activity relationship
In structure activity relationship experiments it was found that removal of the carbamoyl group located on the novobiose sugar lead to a dramatic decrease in inhibitory activity of novobiocin.[14]
Biosynthesis
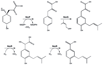
This aminocoumarin antibiotic consists of three major substituents. The 3-dimethylallyl-4-hydroxybenzoic acid moiety, known as ring A, is derived from prephenate and dimethylallyl pyrophosphate. The aminocoumarin moiety, known as ring B, is derived from L-tyrosine. The final component of novobiocin is the sugar derivative L-noviose, known as ring C, which is derived from glucose-1-phosphate. The biosynthetic gene cluster for novobiocin was identified by Heide and coworkers in 1999 (published 2000) from Streptomyces spheroides NCIB 11891.[15] They identified 23 putative open reading frames (ORFs) and more than 11 other ORFs that may play a role in novobiocin biosynthesis.
The biosynthesis of ring A (see Fig. 1) begins with prephenate which is a derived from the shikimic acid biosynthetic pathway. The enzyme NovF catalyzes the decarboxylation of prephenate while simultaneously reducing nicotinamide adenine dinucleotide phosphate (NADP+) to produce NADPH. Following this NovQ catalyzes the electrophilic substitution of the phenyl ring with dimethylallyl pyrophosphate (DMAPP) otherwise known as prenylation.[16] DMAPP can come from either the mevalonic acid pathway or the deoxyxylulose biosynthetic pathway. Next the 3-dimethylallyl-4-hydroxybenzoate molecule is subjected to two oxidative decarboxylations by NovR and molecular oxygen.[17] NovR is a non-heme iron oxygenase with a unique bifunctional catalysis. In the first stage both oxygens are incorporated from the molecular oxygen while in the second step only one is incorporated as determined by isotope labeling studies. This completes the formation of ring A.

The biosynthesis of ring B (see Fig. 2) begins with the natural amino acid L-tyrosine. This is then adenylated and thioesterified onto the peptidyl carrier protein (PCP) of NovH by ATP and NovH itself.[18] NovI then further modifies this PCP bound molecule by oxidizing the β-position using NADPH and molecular oxygen. NovJ and NovK form a heterodimer of J2K2 which is the active form of this benzylic oxygenase.[19] This process uses NADP+ as a hydride acceptor in the oxidation of the β-alcohol. This ketone will prefer to exist in its enol tautomer in solution. Next a still unidentified protein catalyzes the selective oxidation of the benzene (as shown in Fig. 2). Upon oxidation this intermediate will spontaneously lactonize to form the aromatic ring B and lose NovH in the process.

The biosynthesis of L-noviose (ring C) is shown in Fig. 3. This process starts from glucose-1-phosphate where NovV takes dTTP and replaces the phosphate group with a dTDP group. NovT then oxidizes the 4-hydroxy group using NAD+. NovT also accomplishes a dehydroxylation of the 6 position of the sugar. NovW then epimerizes the 3 position of the sugar.[20] The methylation of the 5 position is accomplished by NovU and S-adenosyl methionine (SAM). Finally NovS reduces the 4 position again to achieve epimerization of that position from the starting glucose-1-phosphate using NADH.

Rings A, B, and C are coupled together and modified to give the finished novobiocin molecule. Rings A and B are coupled together by the enzyme NovL using ATP to diphosphorylate the carboxylate group of ring A so that the carbonyl can be attacked by the amine group on ring B. The resulting compound is methylated by NovO and SAM prior to glycosylation.[21] NovM adds ring C (L-noviose) to the hydroxyl group derived from tyrosine with the loss of dTDP. Another methylation is accomplished by NovP and SAM at the 4 position of the L-noviose sugar.[22] This methylation allows NovN to carbamylate the 3 position of the sugar as shown in Fig. 4 completing the biosynthesis of novobiocin.

References
- ↑ Lanoot B.; Vancanneyt M.; Cleenwerck I.; Wang L.; Li W.; Liu Z.; Swings J. (2002). "The search for synonyms among streptomycetes by with SDS-PAGE of whole-cell proteins. Emendation of the species Streptomyces aurantiacus, Streptomyces cacaoi subsp. cacaoi, Streptomyces caeruleus and Streptomyces violaceus". Int. J. Syst. Evol. Microbiol. 52 (Pt 3): 823–829. doi:10.1099/ijs.0.02008-0. PMID 12054245.
- 1 2 Alessandra da Silva Eustáquio (2004) Biosynthesis of aminocoumarin antibiotics in Streptomyces: Generation of structural analogues by genetic engineering and insights into the regulation of antibiotic production. DISSERTATION
- ↑ Hoeksema H.; Johnson J. L.; Hinman J. W. (1955). "Structural studies on streptonivicin, a new antibiotic". J Am Chem Soc. 77: 6710–6711. doi:10.1021/ja01629a129.
- ↑ Smith C. G.; Dietz A.; Sokolski W. T.; Savage G. M. (1956). "Streptonivicin, a new antibiotic. I. Discovery and biologic studies". Antibiotics & Chemotherapy. 6: 135–142.
- ↑ Raad I.; Darouiche R.; Hachem R.; Sacilowski M.; Bodey G. P. (1995). "Antibiotics and prevention of microbial colonization of catheters". Antimicrob Agents Chemother. 39 (11): 2397–2400. doi:10.1128/aac.39.11.2397. PMC 162954
. PMID 8585715. - ↑ Raad I. I.; Hachem R. Y.; Abi-Said D.; Rolston K. V. I.; Whimbey E.; Buzaid A.C.; Legha S. (1998). "A prospective crossover randomized trial of novobiocin and rifampin prophylaxis for the prevention of intravascular catheter infections in cancer patients treated with interleukin-2". Cancer. 82 (2): 403–411. doi:10.1002/(SICI)1097-0142(19980115)82:2<412::AID-CNCR22>3.0.CO;2-0. PMID 9445199.
- ↑
- ↑ Walsh T.J.; et al. (1993). "Randomized Double-Blinded Trial of Rifampin with Either Novobiocin or Trimethoprim-Sulfamethoxazole against Methicillin-Resistant Staphylococcus aureus Colonization: Prevention of Antimicrobial Resistance and Effect of Host Factors on Outcome". Antimicrobial Agents and Chemotherapy. 37 (6): 1334–1342. doi:10.1128/aac.37.6.1334. PMC 187962
. PMID 8328783. - 1 2 Maxwell A (1993). "The interaction between coumarin drugs and DNA gyrase". Mol Microbiol. 9 (4): 681–686. doi:10.1111/j.1365-2958.1993.tb01728.x. PMID 8231802.
- ↑ Maxwell A (1999). "DNA gyrase as a drug target". Biochem Soc Trans. 27 (2): 48–53. PMID 10093705.
- ↑ Lewis R. J.; Tsai F. T. F.; Wigley D. B. (1996). "Molecular mechanisms of drug inhibition of DNA gyrase". BioEssays. 18 (8): 661–671. doi:10.1002/bies.950180810. PMID 8760340.
- ↑ Maxwell A.; Lawson D. M. (2003). "The ATP-binding site of type II topoisomerases as a target for antibacterial drugs". Curr Top Med Chem. 3 (3): 283–303. doi:10.2174/1568026033452500. PMID 12570764.
- ↑ Tsai F.T.F.; Singh O.M.; Skarzynski T.; Wonacott A.J.; Weston S.; Tucker A.; Pauptit R.A.; Breeze A.L.; Poyser J.P.; O'Brien R.; et al. (1997). "The high-resolution crystal structure of a 24-kDa gyrase B fragment from E. coli complexed with one of the most potent coumarin inhibitors, clorobiocin". Proteins. 28: 41–52. doi:10.1002/(sici)1097-0134(199705)28:1<41::aid-prot4>3.3.co;2-b.
- 1 2 Flatman R.H.; Eustaquio A.; Li S.; Heide L.; Maxwell A. (2006). "Structure-Activity Relationships of Aminocoumarin-Type Gyrase and Topoisomerase IV Inhibitors Obtained by Combinatorial Biosynthesis". Antimicrob Agents Chemother. 50 (4): 1136–1142. doi:10.1128/AAC.50.4.1136-1142.2006. PMC 1426943
. PMID 16569821. - ↑ Steffensky M, Mühlenweg A, Wang ZX, Li SM, Heide L (May 2000). "Identification of the novobiocin biosynthetic gene cluster of Streptomyces spheroides NCIB 11891". Antimicrob. Agents Chemother. 44 (5): 1214–22. doi:10.1128/AAC.44.5.1214-1222.2000. PMC 89847
. PMID 10770754. - ↑ Pojer F, Wemakor E, Kammerer B, et al. (March 2003). "CloQ, a prenyltransferase involved in clorobiocin biosynthesis". Proc. Natl. Acad. Sci. U.S.A. 100 (5): 2316–21. Bibcode:2003PNAS..100.2316P. doi:10.1073/pnas.0337708100. PMC 151338
. PMID 12618544. - ↑ Pojer F, Kahlich R, Kammerer B, Li SM, Heide L (August 2003). "CloR, a bifunctional non-heme iron oxygenase involved in clorobiocin biosynthesis". J. Biol. Chem. 278 (33): 30661–8. doi:10.1074/jbc.M303190200. PMID 12777382.
- ↑ Chen H, Walsh CT (April 2001). "Coumarin formation in novobiocin biosynthesis: β-hydroxylation of the aminoacyl enzyme tyrosyl-S-NovH by a cytochrome P450 NovI". Chem. Biol. 8 (4): 301–12. doi:10.1016/S1074-5521(01)00009-6. PMID 11325587.
- ↑ Pacholec M, Hillson NJ, Walsh CT (September 2005). "NovJ/NovK catalyze benzylic oxidation of a β-hydroxyl tyrosyl-S-pantetheinyl enzyme during aminocoumarin ring formation in novobiocin biosynthesis". Biochemistry. 44 (38): 12819–26. doi:10.1021/bi051297m. PMID 16171397.
- ↑ Thuy TT, Lee HC, Kim CG, Heide L, Sohng JK (April 2005). "Functional characterizations of novWUS involved in novobiocin biosynthesis from Streptomyces spheroides". Arch. Biochem. Biophys. 436 (1): 161–7. doi:10.1016/j.abb.2005.01.012. PMID 15752721.
- ↑ Pacholec M, Tao J, Walsh CT (November 2005). "CouO and NovO: C-methyltransferases for tailoring the aminocoumarin scaffold in coumermycin and novobiocin antibiotic biosynthesis". Biochemistry. 44 (45): 14969–76. doi:10.1021/bi051599o. PMID 16274243.
- ↑ Freel Meyers CL, Oberthür M, Xu H, Heide L, Kahne D, Walsh CT (January 2004). "Characterization of NovP and NovN: completion of novobiocin biosynthesis by sequential tailoring of the noviosyl ring". Angew. Chem. Int. Ed. Engl. 43 (1): 67–70. doi:10.1002/anie.200352626. PMID 14694473.
External links
- Novobiocin bound to proteins in the PDB

