Albomycin
Albomycin is a naturally occurring antibiotic belonging to the class of sideromycins, which are "compounds composed of iron carriers called siderophores linked to antibiotic moieties", and is particularly effective against gram negative bacteria of the family Enterobacteriaceae and few gram positive bacteria like Streptococcus pneumoniae, Bacillus subtilis and Staphylococcus aureus.[1][2] In 2000 a group of scientists from SmithKline Beecham Pharmaceuticals, UK reported that the antibiotic part of albomycin in vitro can inhibit seryl t-RNA synthetase from both eukaryotic and prokaryotic representatives.[3]
Structure
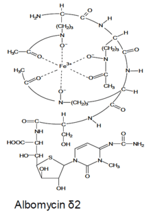
Albomycin is a naturally occurring sideromycin produced by some streptomycetes. The siderophore part of albomycin δ2 is similar to ferrichrome. It contains three molecules of δ-N-hydroxy-δ-N-acetyl ornithine linked to a serine, all by peptide linkage. The C-terminus of the serine is linked to another serine attached to the antibiotically active 4’-thio (N4-carbamoyl-3-methyl) cytidine moiety. The trihydroxamate part serves the siderophore function as it can trap Fe+3 and is essential for active transport of the antibiotic. Iron-free albomycin δ2 has a molecular weight of 992 Da, and when loaded with iron it is 1045 Da.[4]
References
- ↑ "Albomycin is an effective antibiotic, as exemplified with Yersinia enterocolitica and Streptococcus pneumoniae". International Journal of Medical Microbiology. 297 (6): 459–469. October 2007. doi:10.1016/j.ijmm.2007.03.002.
- ↑ "Albomycin Uptake via a Ferric Hydroxamate Transport System of Streptococcus pneumoniae R6". Journal of Bacteriology. 188 (11): 3878–3886. June 2006. doi:10.1128/jb.00205-06.
- ↑ "A Potent Seryl tRNA Synthetase Inhibitor SB-217452 Isolated from a Streptomyces species". The Journal of Antibiotics. 53 (12): 1346–1353. June 2000. doi:10.7164/antibiotics.53.1346.
- ↑ "Uptake and Conversion of the Antibiotic Albomycin by Escherichia coli K-12". European Journal of Biochemistry. 99 (3): 517–524. September 1979. doi:10.1111/j.1432-1033.1979.tb13283.x.