Aromatase inhibitor



Aromatase inhibitors (AIs) are a class of drugs used in the treatment of breast cancer in postmenopausal women and gynecomastia in men. They may also be used off-label to reduce increase of estrogen conversion during cycle with external testosterone. They may also be used for chemoprevention in high risk women.
Aromatase is the enzyme that synthesizes estrogen. As breast and ovarian cancers require estrogen to grow, AIs are taken to either block the production of estrogen or block the action of estrogen on receptors.
Medical uses
Cancer
In contrast to premenopausal women, in whom most of the estrogen is produced in the ovaries, in postmenopausal women estrogen is mainly produced in peripheral tissues of the body. Because some breast cancers respond to estrogen, lowering estrogen production at the site of the cancer (i.e. the adipose tissue of the breast) with aromatase inhibitors has been proven to be an effective treatment for hormone-sensitive breast cancer in postmenopausal women.[1] Aromatase inhibitors are generally not used to treat breast cancer in premenopausal women. When aromatase inhibitors are used in premenopausal women, the decrease in estrogen activates the hypothalamus and pituitary axis to increase gonadotropin secretion, which in turn stimulates the ovary to increase androgen production. The heightened gonadotropin levels also upregulate the aromatase promoter, increasing aromatase production in the setting of increased androgen substrate. This counteracts the effect of the aromatase inhibitor in premenopausal women since total estrogen is increased. Ongoing areas of clinical research is optimizing adjuvant hormonal therapy in postmenopausal women with breast cancer. Although tamoxifen (SERM) had been the traditional drug treatment of choice, the ATAC trial has shown that clinical results are superior with an AI in postmenopausal women with localized breast cancer that is estrogen receptor positive. Trials of AIs in the adjuvant setting (given to prevent relapse after surgery for breast cancer) show that they are associated with a better disease-free survival than tamoxifen, but few conventionally-analyzed clinicals trials have shown that AIs have an overall survival advantage compared with tamoxifen, and there is no good evidence they are better tolerated.[2]
Gynecomastia
Aromatase inhibitors such as testolactone have been approved for the treatment of gynecomastia in children and adolescents.[3]
Unexplained female infertility
Ovarian stimulation with the aromatase inhibitor letrozole has been proposed as one of the treatments for unexplained female infertility. In a multi-center study funded by the National Institute of Child Health and Development, ovarian stimulation with letrozole resulted in a significantly lower frequency of multiple gestation (i.e., twins or triplets) but also a lower frequency of live birth, as compared with gonadotropin but not with clomiphene.[4]
Side effects
Side effects include an increased risk for developing osteoporosis and joint disorders such as arthritis, arthrosis, and joint pain. Bisphosphonates are sometimes prescribed to prevent the osteoporosis induced by aromatase inhibitors, but also have another serious side effect, osteonecrosis of the jaw. As statins have a bone strengthening effect, combining a statin with an aromatase inhibitor could help prevent fractures and suspected cardiovascular risks, without potential of causing osteonecrosis of the jaw.[5][6] The more common adverse events associated with the use of aromatase inhibitors include decreased rate of bone maturation and growth, infertility, aggressive behavior, adrenal insufficiency, kidney failure, and liver dysfunction. Patients with liver, kidney or adrenal abnormalities are at a higher risk of developing adverse events.[7]
Types
There are 2 types of aromatase inhibitors (AIs) approved to treat breast cancer:[8]
- Irreversible steroidal inhibitors, such as exemestane (Aromasin), forms a permanent and deactivating bond with the aromatase enzyme.
- Non-steroidal inhibitors, such as anastrozole (Arimidex) and letrozole (Femara), inhibit the synthesis of estrogen via reversible competition for the aromatase enzyme.
Mechanism of action
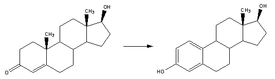
Aromatase inhibitors work by inhibiting the action of the enzyme aromatase, which converts androgens into estrogens by a process called aromatization. As breast tissue is stimulated by estrogens, decreasing their production is a way of suppressing recurrence of the breast tumor tissue. The main source of estrogen is the ovaries in premenopausal women, while in post-menopausal women most of the body's estrogen is produced in peripheral tissues (outside the CNS), and also a few CNS sites in various regions within the brain. Estrogen is produced and acts locally in these tissues, but any circulating estrogen, which exerts systemic estrogenic effects in men and women, is the result of estrogen escaping local metabolism and spreading to the circulatory system.[9]
Members

Available aromatase inhibitors (AIs) include:
Non-selective
- Aminoglutethimide, also inhibits the enzyme P450scc and so decreases synthesis of all steroid hormones.
- Testolactone (Teslac)
Selective
- Anastrozole (Arimidex)
- Letrozole (Femara)
- Exemestane (Aromasin)
- Vorozole (Rivizor)
- Formestane (Lentaron)
- Fadrozole (Afema)
Unknown
- 1,4,6-Androstatrien-3,17-dione (ATD)
- 4-Androstene-3,6,17-trione ("6-OXO")
In addition to pharmaceutical AIs, some natural elements have aromatase inhibiting effects, such as damiana leaves.
Research

Investigations and research has been undertaken to study the use of aromatase inhibitors to stimulate ovulation, and also to suppress estrogen production.[12] Aromatase inhibitors have been shown to reverse age-related declines in testosterone, including primary hypogonadism.[13] Extracts of certain mushrooms have been shown to inhibit aromatase when evaluated by enzyme assays, with white mushroom having shown the greatest ability to inhibit the enzyme.[11] AIs have also been used experimentally in the treatment of adolescents with delayed puberty.[14]
See also
References
- ↑ Howell A, Cuzick J, Baum M, Buzdar A, Dowsett M, Forbes JF, Hoctin-Boes G, Houghton J, Locker GY, Tobias JS (2005). "Results of the ATAC (Arimidex, Tamoxifen, Alone or in Combination) trial after completion of 5 years' adjuvant treatment for breast cancer". Lancet. 365 (9453): 60–2. doi:10.1016/S0140-6736(04)17666-6. PMID 15639680.
- ↑ Seruga B, Tannock IF (2009). "Up-front use of aromatase inhibitors as adjuvant therapy for breast cancer: the emperor has no clothes". J. Clin. Oncol. 27 (6): 840. doi:10.1200/JCO.2008.19.5594. PMID 19139426.
- ↑ Shulman, DI; Francis, GL; Palmert, MR; Eugster, EA; Lawson Wilkins Pediatric Endocrine Society Drug and Therapeutics Committee (April 2008). "Use of aromatase inhibitors in children and adolescents with disorders of growth and adolescent development.". Pediatrics. 121 (4): e975–983. doi:10.1542/peds.2007-2081. PMID 18381525.
- ↑ Diamond MP, Legro RS, Coutifaris R, et al. (2015). "Letrozole, Gonadotropin, or Clomiphene for Unexplained Infertility". N Engl J Med. 373 (13): 1230–1240. doi:10.1056/NEJMoa1414827.
- ↑ Lehrer S (2007). "Statin use to prevent aromatase inhibitor-induced fracture and cardiovascular complications". Med. Hypotheses. 68 (6): 1417. doi:10.1016/j.mehy.2006.11.022. PMID 17196764.
- ↑ Ewer MS, Glück S (2009). "A woman's heart: the impact of adjuvant endocrine therapy on cardiovascular health". Cancer. 115 (9): 1813–26. doi:10.1002/cncr.24219. PMID 19235248.
- ↑ "Aromatase Inhibitors in Products Marketed as Dietary Supplements: Recall" (Press release). FDA. September 20, 2010. Retrieved August 9, 2012.
- ↑ Mokbel K (2002). "The evolving role of aromatase inhibitors in breast cancer". Int. J. Clin. Oncol. 7 (5): 279–83. doi:10.1007/s101470200040 (inactive 2015-02-02). PMID 12402060.
- ↑ Simpson ER (2003). "Sources of estrogen and their importance". J. Steroid Biochem. Mol. Biol. 86 (3-5): 225–30. doi:10.1016/S0960-0760(03)00360-1. PMID 14623515.
- ↑ Grube BJ, Eng ET, Kao YC, Kwon A, Chen S (2001). "White button mushroom phytochemicals inhibit aromatase activity and breast cancer cell proliferation". J. Nutr. 131 (12): 3288–93. PMID 11739882.
- 1 2 Chen S, Oh SR, Phung S, Hur G, Ye JJ, Kwok SL, Shrode GE, Belury M, Adams LS, Williams D (2006). "Anti-aromatase activity of phytochemicals in white button mushrooms (Agaricus bisporus)". Cancer Res. 66 (24): 12026–34. doi:10.1158/0008-5472.CAN-06-2206. PMID 17178902.
- ↑ Attar E, Bulun SE (2006). "Aromatase inhibitors: the next generation of therapeutics for endometriosis?". Fertil. Steril. 85 (5): 1307–18. doi:10.1016/j.fertnstert.2005.09.064. PMID 16647373.
- ↑ Leder BZ, Rohrer JL, Rubin SD, Gallo J, Longcope C (2004). "Effects of aromatase inhibition in elderly men with low or borderline-low serum testosterone levels". J. Clin. Endocrinol. Metab. 89 (3): 1174–80. doi:10.1210/jc.2003-031467. PMID 15001605.
- ↑ Hero M, Wickman S, Dunkel L (2006). "Treatment with the aromatase inhibitor letrozole during adolescence increases near-final height in boys with constitutional delay of puberty". Clin. Endocrinol. (Oxf). 64 (5): 510–3. doi:10.1111/j.1365-2265.2006.02499.x. PMID 16649968.