Diels–Alder reaction

Diels–Alder reaction
Named after Otto Paul Hermann Diels
Kurt Alder
Reaction type Cycloaddition
Reaction


conjugated (substituted) Diene
+
(substituted) Olefin
(substituted) Cyclohexene
Identifiers
Organic Chemistry Portal diels-alder-reaction
RSC ontology ID RXNO:0000006 YesY

The Diels–Alder reaction is an organic chemical reaction (specifically, a [4+2] cycloaddition) between a conjugated diene and a substituted alkene, commonly termed the dienophile, to form a substituted cyclohexene system. It was first described by Otto Diels and Kurt Alder in 1928, for which work they were awarded the Nobel Prize in Chemistry in 1950.[1][2] The Diels–Alder reaction is particularly useful in synthetic organic chemistry as a reliable method for forming 6-membered systems with good control over regio- and stereochemical properties.[3][4][5] The underlying concept has also been applied to other π-systems, such as carbonyls and imines, to furnish the corresponding heterocycles, known as the hetero-Diels–Alder reaction. Diels–Alder reactions can be reversible under certain conditions; the reverse reaction is known as the retro-Diels–Alder reaction.[6]

Reaction mechanism

The reaction is an example of a concerted pericyclic reaction.[7] It is believed to occur via a single, cyclic transition state,[8] with no intermediates generated during the course of the reaction. As such, the Diels–Alder reaction is governed by orbital symmetry considerations: it is classified as a [4πS+2πS] cycloaddition, indicating that it proceeds through the suprafacial/suprafacial interaction of a 4π electron system (the diene structure) with a 2π electron system (the dienophile structure), an interaction that is thermally allowed as a 4n+2 cycloaddition.[9]

A consideration of the reactants’ frontier molecular orbitals (FMO) makes plain why this is so. We note that for a ‘normal’ electron demand Diels–Alder reaction, the electron-rich diene’s Ψ2 is the highest occupied molecular orbital (HOMO) while the electron-deficient dienophile’s π* is the lowest unoccupied molecular orbital (LUMO). However, the HOMO-LUMO energy gap is such that the roles can be reversed by switching the substitution pattern: i.e. the diene’s Ψ3 might be considered the LUMO if electron withdrawing group (EWG) substituents make it sufficiently electron-deficient and electron donating groups (EDGs) raise the dienophile’s filled π orbital’s energy sufficiently to make it the HOMO. Such a scenario is termed an inverse electron demand Diels–Alder reaction. Regardless of which situation pertains, the HOMO and LUMO of the components are in phase and a bonding interaction results as can be seen in the diagram below. Since the reactants are in their ground state, the reaction is initiated thermally and does not require activation by light.[9]

The "prevailing opinion"[10][11][12][13] is that most Diels–Alder reactions proceed through a concerted mechanism; the issue, however, has been thoroughly contested. Despite the fact that the vast majority of Diels–Alder reactions exhibit stereospecific, syn addition of the two components, a diradical intermediate has been postulated[8] (and supported with computational evidence) on the grounds that the observed stereospecificity does not rule out a two-step addition involving an intermediate that collapses to product faster than it can rotate to allow for inversion of stereochemistry.

There is a notable rate enhancement when certain Diels–Alder reactions are carried out in polar organic solvents such as dimethylformamide and ethylene glycol.[14] and even in water.[15] The reaction of cyclopentadiene and butenone for example is 700 times faster in water relative to 2,2,4-trimethylpentane as solvent.[15] Several explanations for this effect have been proposed, such as an increase in effective concentration due to hydrophobic packing[16] or hydrogen-bond stabilization of the transition state.[17]

Regioselectivity

FMO analysis has also been used to explain the regioselectivity patterns observed in Diels–Alder reactions of substituted systems. Calculation of the energy and orbital coefficients of the components’ frontier orbitals[18] provides a picture that is in good accord with the more straightforward analysis of the substituents’ resonance effects. If we assume that the centers with the largest frontier orbital coefficients will react more readily when matched than mismatched (i.e. largest HOMO coefficient will react more readily with the largest LUMO coefficient), we can easily predict the major regioisomer that will result from a given diene-dienophile pair.[9]

For example, in a normal-demand scenario, a diene bearing an EDG at C1 has its largest HOMO coefficient at C4, while the dienophile has the largest LUMO coefficient at C2. Pairing these two coefficients gives the "ortho" product as seen in case 1 in the figure below. A diene substituted at C2 as in case 2 below has the largest HOMO coefficient at C1, giving rise to the "para" product. Similar analyses for the corresponding inverse-demand scenarios gives rise to the analogous products as seen in cases 3 and 4.

Stereoselectivity

Diels–Alder reactions, as concerted cycloadditions, are stereospecific, i.e. stereochemical information in the reactants is retained in the products. E- and Z-dienophiles, for example, give rise to the adducts with corresponding syn or anti-stereochemistry:[19][20]

Unsymmetrical dienophiles imply two different possible transition states, which are called the endo and exo transition states, each leading to adducts of different stereochemistry. In the endo transition state, the substituent on the dienophile is oriented towards the diene π system, while in the exo it is oriented away from it. For normal demand Diels-Alder scenarios, with electron-withdrawing substituents such as carbonyls attached to the dienophile, the endo transition state is typically preferred, despite often being more sterically congested. This preference is known as the Alder rule. Endo selectivity is typically higher for rigid dienophiles such as maleic anhydride and benzoquinone; for others, such as acrylates and crotonates, selectivity is not very pronounced[21] The most widely accepted explanation for the origin of this effect is a favorable interaction between the dienophile substituent's π system and the diene's (termed secondary orbital effects), though dipolar and van der Waals attractions may play a part as well[7][22][23]

Oftentimes, as with highly substituted dienes or very bulky dienophiles, steric effects can greatly influence endo/exo selectivity. Dienes with bulky terminal substituents (C1 and C4) decrease the rate of reaction, presumably by impeding the approach of the diene and dienophile;[24] however, bulky substituents at the C2 or C3 position actually increase reaction rate by destabilizing the s-trans conformation and forcing the diene into the reactive s-cis conformation. 2-tert-butyl-1,3-butadiene, for example, is 27 times more reactive than simple butadiene.[7][25]

The diene

The diene component of the Diels–Alder reaction can be either open-chain or cyclic, and it can host many different types of substituents;[7] it must, however, be able to exist in the s-cis conformation, since this is the only conformer that can participate in the reaction. Though butadienes typically prefer the s-trans conformation, for most cases the barrier to rotation is small (~2–5 kcal/mol).[26]

An especially reactive diene is 1-methoxy-3-trimethylsiloxy-1,3-butadiene, otherwise known as Danishefsky's diene.[27] It has particular synthetic utility as means of furnishing α,β–unsaturated cyclohexenone systems by elimination of the 1-methoxy substituent after deprotection of the enol silyl ether. Other synthetically useful derivatives of Danishefsky’s diene include 1,3-alkoxy-1-trimethylsiloxy-1,3-butadienes (Brassard dienes)[28] and 1-dialkylamino-3-trimethylsiloxy-1,3-butadienes (Rawal dienes).[29] The increased reactivity of these and similar dienes is a result of synergistic contributions from donor groups at C1 and C3, raising the HOMO significantly above that of a comparable monosubstituted diene.[5]

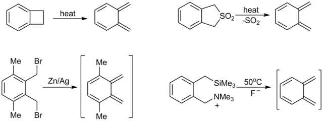
Unstable (and thus highly reactive) dienes, of which perhaps the most synthetically useful are o-quinodimethanes, can be generated in situ.[30] A strong driving force for the [4+2] cycloaddition of such species is a result of the establishment (or reestablishment) of aromaticity. Common methods for generating o-quinodimethanes include pyrolysis of benzocyclobutenes[7] or the corresponding sulfone,[5] 1,4-elimination of ortho benzylic silanes[31] or stannanes,[32][33][34] and reduction of α,α’-ortho benzylic dibromides.[35]

On the contrary, stable dienes are rather unreactive and undergo Diels–Alder reactions only at elevated temperatures: for example, naphthalene can function as a diene, leading to adducts only with highly reactive dienophiles, such as N-phenyl-maleimide. Anthracene, being less aromatic (and therefore more reactive for Diels-Alder syntheses) in its central ring can form a 9,10 adduct with maleic anhydride at 80 degrees Celsius and even with acetylene, a weak dienophile, at 250 degrees.[36]

The dienophile

In a normal demand Diels–Alder reaction, the dienophile has an electron-withdrawing group in conjugation with the alkene; in an inverse-demand scenario, the dienophile is conjugated with an electron-donating group.[10] Dienophiles can be chosen to contain a "masked functionality". The dienophile undergoes Diels–Alder reaction with a diene introducing such a functionality onto the product molecule. A series of reactions then follow to transform the functionality into a desirable group. The end product cannot not be made in a single DA step because equivalent dienophile is either unreactive or inaccessible. An example of such approach is the use of α-chloroacrylonitrile (CH2=CClCN). When reacted with a diene, this dienophile will introduce α-chloronitrile functionality onto the product molecule. This is a "masked functionality" which can be then hydrolyzed to form a ketone. α-Chloroacrylonitrile dienophile is an equivalent of ketene dienophile (CH2=C=O), which would produce same product in one DA step. The problem is that ketene itself cannot be used in Diels–Alder reactions because it reacts with dienes in unwanted manner (by [2+2] cycloaddition), and therefore "masked functionality" approach has to be used.[37] Other such functionalities are phosphonium substituents (yielding exocyclic double bonds after Wittig reaction), various sulfoxide and sulfonyl functionalities (both are acetylene equivalents), and nitro groups (ketene equivalents).[7]

Hetero-Diels–Alder

Diels–Alder reactions involving at least one heteroatom are also known and are collectively called hetero-Diels–Alder reactions[38] Carbonyl groups, for example, can successfully react with dienes to yield pyranoid rings, a reaction known as the oxo-Diels–Alder reaction, and imines have also been successfully used as dienophiles; such reactions are known as aza-Diels–Alder reactions and prove useful for the preparation of alkaloids and other N-heterocyclic compounds.[39] Nitroso compounds (R-N=O) can react with dienes to form oxazines. Chlorosulfonyl isocyanate can be utilized as a dienophile to prepare the Vince lactam.[7][39]

Lewis acid activation

Lewis acids such as zinc chloride, boron trifluoride, tin tetrachloride, aluminum chloride, etc. can act as catalysts of normal-demand Diels–Alder reactions by coordination to the dienophile. The complexed dienophile becomes more electrophilic and more reactive toward the diene, increasing the reaction rate and often improving the regio- and stereoselectivity as well. Lewis acid catalysis also enables Diels–Alder reactions to proceed at low temperatures, i.e. without thermal activation.[7]

Asymmetric Diels–Alder

Many methods have been developed for influencing the stereoselectivity of the Diels–Alder reaction, such as the use of chiral auxiliaries, catalysis by chiral Lewis acids, and small organic molecule catalysts.[7] Evans' oxazolidinones,[40] oxazaborolidines,[41][42][43] bis-oxazoline–copper chelates,[44] imidazoline catalysis,[45] and many other methodologies exist for effecting diastereo- and enantioselective Diels-Alder Reactions.

Synthetic applications

One of the earliest and most important examples of the Diels–Alder reaction in total synthesis was in R. B. Woodward's landmark 1952 syntheses of the steroids cortisone and cholesterol.[46] The reaction of butadiene with the quinone below quickly furnished the C and D rings of the steroid skeleton with the desired regiochemistry. Syn addition of butadiene gave rise to the desired stereochemistry of the final target’s methyl group, and thereafter a straightforward epimerization could be effected selectively to give the requisite trans-decalin system.

E. J. Corey, in his original 1969 synthesis of prostaglandins F2α and E2,[47] utilized a Diels–Alder reaction early in the synthesis to establish the relative stereochemistry of three contiguous stereocenters on the prostaglandin cyclopentane core. To mitigate isomerization of the substituted cyclopentadiene via 1,5-hydride shift, it was found necessary to keep this intermediate below 0 °C until the Diels-Alder could take place. Thus activation by strongly Lewis acidic cupric tetrafluoroborate was required to allow for the reaction to take place. The use of 2-chloroacrylonitrile as dienophile is a viable synthetic equivalent for ketene,[10] a structure that typically underdoes a [2+2] cycloaddition to give a cyclobutanone dimer rather than participating in Diels–Alder reactions with 1,3-dienes.[48][49] Hydrolysis of the epimeric mixture of chloronitrile adducts revealed the desired bicycloheptanone in high yield.

Samuel J. Danishefsky used a Diels–Alder reaction to synthesize disodium prephenate,[50] a biosynthetic precursor of the amino acids phenylalanine and tyrosine, in 1979. This sequence is notable as one of the earliest to feature 1-methoxy-3-siloxybutadiene, the so-called Danishefsky diene, in total synthesis. Its utility is apparent below, namely, the ready furnishing of α,β–unsaturated cyclohexenone systems.


In their 1980 synthesis of reserpine,[51] Paul Wender and coworkers used a Diels–Alder reaction to set the cis-decalin framework of the D and E rings of the natural product. The initial Diels-Alder between 2-acetoxyacrylic acid and the 1,2-dihydropyridine-1-carboxylate shown below put the newly installed carboxyl group in a position to rearrange exclusively to the cis-fused rings after conversion to the isoquinuclidene shown below. The cis-fusion allowed for the establishment of the stereochemistry at C17 and C18: first by cleavage of the acetate group at C18 to give a ketone that can modulate the stereochemistry of the methoxy group C17, and then by reduction of the ketone at C18 from the exo face to achieve the stereochemistry of the final product.

In Stephen F. Martin's synthesis of reserpine,[52] the cis-fused D and E rings were also formed by a Diels–Alder reaction. Intramolecular Diels-Alder of the pyranone below with subsequent extrusion of carbon dioxide via a retro [4+2] afforded the bicyclic lactam. Epoxidation from the less hindered α-face, followed by epoxide opening at the less hindered C18 afforded the desired stereochemistry at these positions, while the cis-fusion was achieved with hydrogenation, again proceeding primarily from the less hindered face.

A pyranone was similarly used as the dienophile by K. C. Nicolaou's group in the total synthesis of taxol.[53] The intermolecular reaction of the hydroxy-pyrone and α,β–unsaturated ester shown below suffered from poor yield and regioselectivity; however, when directed by phenylboronic acid[54] the desired adduct could be obtained in 61% yield after cleavage of the boronate with 2,2-dimethyl-1,3-propanediol. The stereospecificity of the Diels–Alder reaction in this instance allowed for the definition of four stereocenters that were carried on to the final product.

A Diels–Alder reaction was the key step in Amos Smith's synthesis of (-)-furaquinocin C.[55] Lactone 1 was converted to the requisite diene by two successive silylations with TMSCl, and reaction with the bromoquinone as seen below furnished the final target upon aromatization with good overall yield. The diene in this instance is notable as a rare example of a cyclic derivative of Danishefsky’s diene.

Virish Rawal and Sergey Kozmin, in their 1998 synthesis of tabersonine,[56] used a Diels-Alder to establish cis relative stereochemistry of the alkaloid core. Conversion of the cis-aldehyde to its corresponding alkene by Wittig olefination and subsequent ring-closing metathesis with a Schrock catalyst gave the second ring of the alkaloid core. The diene in this instance is notable as an example of a 1-amino-3-siloxybutadiene, otherwise known as a Rawal diene.

In 1988, William Okamura and Richard Gibbs reported an enantioselective synthesis of (+)-sterpurene[57] that featured a remarkable intramolecular Diels–Alder reaction of an allene. The [2,3]-sigmatropic rearrangement of the thiophenyl group to give the sulfoxide as below proceeded enantiospecifically due to the predefined stereochemistry of the propargylic alcohol. In this way, the single allene isomer formed could direct the Diels-Alder to occur on only one face of the generated ‘diene’.

Albert Meyers's 2005 synthesis of (-)-tetracycline[58] achieved the linear tetracyclic core of the antibiotic with a Diels–Alder reaction. Thermally initiated, conrotatory opening of the benzocyclobutene generated the o-quinodimethane, which reacted intermolecularly to give the tetracycline skeleton; the diastereomer shown was then crystallized from methanol after purification by column chromatography. The authors note that the dienophile’s free hydroxyl group was integral to the success of the reaction, as hydroxyl-protected variants did not react under several different reaction conditions.

Takemura et al. synthesized cantharadrin in 1980 by Diels-Alder, utilizing high pressure in the reaction vessel.[59]

See also

References

  1. The work by Diels and Alder spanned a series of 28 articles written in German published in the Justus Liebigs Annalen der Chemie and Berichte der deutschen chemischen Gesellschaft over the span of 10 years, from 1928 to 1937. The first 19 articles were authored by Diels and Alder, while the later articles were authored by Diels and various contributors.
    • Diels, O.; Alder, K. (1928). "Synthesen in der hydroaromatischen Reihe, I". Justus Liebigs Annalen der Chemie. 460: 98–122. doi:10.1002/jlac.19284600106.
    • Diels, O.; Alder, K. (1929). "Synthesen in der hydroaromatischen Reihe, II". Berichte der deutschen chemischen Gesellschaft. 62 (3): 554–562. doi:10.1002/cber.19290620318.
    • Diels, O.; Alder, K. (1929). "Synthesen in der hydroaromatischen Reihe, III". Justus Liebigs Annalen der Chemie. 470: 62–103. doi:10.1002/jlac.19294700106.
    • Diels, O.; Alder, K. (1929). "Synthesen in der hydroaromatischen Reihe, IV". Berichte der deutschen chemischen Gesellschaft. 62 (8): 2081–2087. doi:10.1002/cber.19290620829.
    • Diels, O.; Alder, K. (1929). "Synthesen in der hydroaromatischen Reihe, V". Berichte der deutschen chemischen Gesellschaft. 62 (8): 2087–2090. doi:10.1002/cber.19290620830.
    • Diels, O.; Alder, K. (1929). "Synthesen in der hydroaromatischen Reihe, VI". Berichte der deutschen chemischen Gesellschaft. 62 (8): 2337–2372. doi:10.1002/cber.19290620872.
    • Diels, O.; Alder, K. (1930). "Synthesen in der hydroaromatischen Reihe, VII". Justus Liebigs Annalen der Chemie. 478: 137–154. doi:10.1002/jlac.19304780109.
    • Diels, O.; Alder, K. (1931). "Synthesen in der hydroaromatischen Reihe, VIII". Justus Liebigs Annalen der Chemie. 486: 191–202. doi:10.1002/jlac.19314860110.
    • Diels, O.; Alder, K. (1931). "Synthesen in der hydroaromatischen Reihe, IX". Justus Liebigs Annalen der Chemie. 486: 202–210. doi:10.1002/jlac.19314860111.
    • Diels, O.; Alder, K. (1931). "Synthesen in der hydroaromatischen Reihe, X". Justus Liebigs Annalen der Chemie. 486: 211–225. doi:10.1002/jlac.19314860112.
    • Diels, O.; Alder, K. (1931). "Synthesen in der hydroaromatischen Reihe, XI". Justus Liebigs Annalen der Chemie. 490: 236–242. doi:10.1002/jlac.19314900109.
    • Diels, O.; Alder, K. (1931). "Synthesen in der hydroaromatischen Reihe, XII". Justus Liebigs Annalen der Chemie. 490: 243–257. doi:10.1002/jlac.19314900110.
    • Diels, O.; Alder, K. (1931). "Synthesen in der hydroaromatischen Reihe, XIII". Justus Liebigs Annalen der Chemie. 490: 257–266. doi:10.1002/jlac.19314900111.
    • Diels, O.; Alder, K. (1931). "Synthesen in der hydroaromatischen Reihe, XIV". Justus Liebigs Annalen der Chemie. 490: 267–276. doi:10.1002/jlac.19314900112.
    • Diels, O.; Alder, K. (1931). "Synthesen in der hydroaromatischen Reihe, XV". Justus Liebigs Annalen der Chemie. 490: 277–294. doi:10.1002/jlac.19314900113.
    • Diels, O.; Alder, K. (1932). "Synthesen in der hydroaromatischen Reihe, XVI". Justus Liebigs Annalen der Chemie. 498: 1–15. doi:10.1002/jlac.19324980102.
    • Diels, O.; Alder, K. (1932). "Synthesen in der hydroaromatischen Reihe, XVII". Justus Liebigs Annalen der Chemie. 498: 16–49. doi:10.1002/jlac.19324980103.
    • Diels, O.; Alder, K. (1933). "Synthesen in der hydroaromatischen Reihe, XVIII". Justus Liebigs Annalen der Chemie. 505: 103–150. doi:10.1002/jlac.19335050109.
    • Diels, O.; Alder, K. (1934). "Synthesen in der hydroaromatischen Reihe, XIX". Justus Liebigs Annalen der Chemie. 510: 87–128. doi:10.1002/jlac.19345100106.
    • Diels, O.; Reese, J. (1934). "Synthesen in der hydroaromatischen Reihe, XX". Justus Liebigs Annalen der Chemie. 511: 168–182. doi:10.1002/jlac.19345110114.
    • Diels, O.; Meyer, R. (1934). "Synthesen in der hydroaromatischen Reihe, XXI". Justus Liebigs Annalen der Chemie. 513: 129–145. doi:10.1002/jlac.19345130108.
    • Diels, O.; Friedrichsen, W. (1934). "Synthesen in der hydroaromatischen Reihe, XXII". Justus Liebigs Annalen der Chemie. 513: 145–155. doi:10.1002/jlac.19345130109.
    • Diels, O.; Möller, F. (1935). "Synthesen in der hydroaromatischen Reihe, XXIII". Justus Liebigs Annalen der Chemie. 516: 45–61. doi:10.1002/jlac.19355160104.
    • Diels, O.; Kech, H. (1935). "Synthesen in der hydroaromatischen Reihe, XXIV". Justus Liebigs Annalen der Chemie. 519: 140–146. doi:10.1002/jlac.19355190112.
    • Diels, O.; Reese, J. (1935). "Synthesen in der hydroaromatischen Reihe, XXV". Justus Liebigs Annalen der Chemie. 519: 147–157. doi:10.1002/jlac.19355190113.
    • Diels, O.; Harms, J. (1935). "Synthesen in der hydroaromatischen Reihe, XXVI". Justus Liebigs Annalen der Chemie. 525: 73–94. doi:10.1002/jlac.19365250107.
    • Diels, O.; Schrum, H. (1937). "Synthesen in der hydroaromatischen Reihe, XXVII". Justus Liebigs Annalen der Chemie. 530: 68–86. doi:10.1002/jlac.19375300106.
    • Diels, O.; Pistor, H. (1937). "Synthesen in der hydroaromatischen Reihe, XXVIII". Justus Liebigs Annalen der Chemie. 530: 87–98. doi:10.1002/jlac.19375300107.
  2. "The Nobel Prize in Chemistry 1950". The Nobel Foundation. Retrieved 2016-02-19.
  3. Kloetzel, M. C. (1948). "The Diels-Alder Reaction with Maleic Anhydride". Organic Reactions. 4: 1–59. doi:10.1002/0471264180.or004.01. ISBN 0471264180.
  4. Holmes, H. L. (1948). "The Diels-Alder Reaction Ethylenic and Acetylenic Dienophiles". Organic Reactions. 4: 60–173. doi:10.1002/0471264180.or004.02. ISBN 0471264180.
  5. 1 2 3 Nicolaou, K. C.; Snyder, S. A.; Montagnon, T.; Vassilikogiannakis, G. (2002). "The Diels-Alder Reaction in Total Synthesis". Angewandte Chemie International Edition. 41 (10): 1668–1698. doi:10.1002/1521-3773(20020517)41:10<1668::AID-ANIE1668>3.0.CO;2-Z.
  6. Zweifel, G. S.; Nantz, M. H. (2007). Modern Organic Synthesis: An Introduction. W.H. Freeman and Co. ISBN 978-0-7167-7266-8.
  7. 1 2 3 4 5 6 7 8 9 Carey, Part B., pp. 474–526
  8. 1 2 Dewar, M. J.; Olivella, S.; Stewart, J. J. (1986). "Mechanism of the Diels-Alder reaction: Reactions of butadiene with ethylene and cyanoethylenes". Journal of the American Chemical Society. 108 (19): 5771–5779. doi:10.1021/ja00279a018. PMID 22175326.
  9. 1 2 3 Carey, Part A., pp. 836–50
  10. 1 2 3 Carey, Part A., p. 839
  11. Gajewski, J. J.; Peterson, K. B.; Kagel, J. R. (1987). "Transition-state structure variation in the Diels-Alder reaction from secondary deuterium kinetic isotope effects: The reaction of a nearly symmetrical diene and dienophile is nearly synchronous". Journal of the American Chemical Society. 109 (18): 5545–5546. doi:10.1021/ja00252a052.
  12. Houk, K. N.; Lin, Y. T.; Brown, F. K. (1986). "Evidence for the concerted mechanism of the Diels-Alder reaction of butadiene with ethylene". Journal of the American Chemical Society. 108 (3): 554–556. doi:10.1021/ja00263a059. PMID 22175504.
  13. Goldstein, E.; Beno, B.; Houk, K. N. (1996). "Density Functional Theory Prediction of the Relative Energies and Isotope Effects for the Concerted and Stepwise Mechanisms of the Diels−Alder Reaction of Butadiene and Ethylene". Journal of the American Chemical Society. 118 (25): 6036–6043. doi:10.1021/ja9601494.
  14. Breslow, R.; Guo, T. (1988). "Diels-Alder reactions in nonaqueous polar solvents. Kinetic effects of chaotropic and antichaotropic agents and of β-cyclodextrin". Journal of the American Chemical Society. 110 (17): 5613–5617. doi:10.1021/ja00225a003.
  15. 1 2 Rideout, D. C.; Breslow, R. (1980). "Hydrophobic acceleration of Diels-Alder reactions". Journal of the American Chemical Society. 102 (26): 7816–7817. doi:10.1021/ja00546a048.
  16. Breslow, R.; Rizzo, C. J. (1991). "Chaotropic salt effects in a hydrophobically accelerated Diels-Alder reaction". Journal of the American Chemical Society. 113 (11): 4340–4341. doi:10.1021/ja00011a052.
  17. Hake, R.; McLendon, G.; Corin, A.; Holzschu, D. (1992). "Redox-dependent molecular recognition in proteins: Site-directed mutagenesis suggests that cytochrome c oxidation state governs binding and recognition to cytochrome c peroxidase". Journal of the American Chemical Society. 114 (13): 5442–5443. doi:10.1021/ja00039a075.
  18. Ashby, E. C.; Chao, L.-C.; Neumann, H. M. (1973). "Organometallic reaction mechanisms. XII. Mechanism of methylmagnesium bromide addition to benzonitrile". Journal of the American Chemical Society. 95 (15): 4896–4904. doi:10.1021/ja00796a022.
  19. Kirmse, W.; Mönch, D. (1991). "Umlagerungen von 1,4,4- und 2,2,5-Trimethylbicyclo[3.2.1]oct-6-yl-Kationen". Chemische Berichte. 124 (1): 237–240. doi:10.1002/cber.19911240136.
  20. Bérubé, G.; DesLongchamps, P. (1987). "Stéréosélection acyclique-1,5: Synthèse de la chaîne latérale optiquement active de la vitamine E". Bulletin de la Société Chimique de France. 1: 103–115.
  21. Houk, K. N.; Luskus, L. J. (1971). "Influence of steric interactions on endo stereoselectivity". Journal of the American Chemical Society. 93 (18): 4606–4607. doi:10.1021/ja00747a052.
  22. Kobuke, Y.; Sugimoto, T.; Furukawa, J.; Fueno, T. (1972). "Role of attractive interactions in endo-exo stereoselectivities of Diels-Alder reactions". Journal of the American Chemical Society. 94 (10): 3633–3635. doi:10.1021/ja00765a066.
  23. Williamson, K. L.; Hsu, Y.-F. L. (1970). "Stereochemistry of the Diels-Alder reaction. II. Lewis acid catalysis of syn-anti isomerism". Journal of the American Chemical Society. 92 (25): 7385–7389. doi:10.1021/ja00728a022.
  24. Craig, D.; Shipman, J. J.; Fowler, R. B. (1961). "The Rate of Reaction of Maleic Anhydride with 1,3-Dienes as Related to Diene Conformation". Journal of the American Chemical Society. 83 (13): 2885–2891. doi:10.1021/ja01474a023.
  25. Backer, H. J. (1939). "Le 2,3-Ditertiobutylbutadiène". Recueil des Travaux Chimiques des Pays-Bas. 58 (7): 643–661. doi:10.1002/recl.19390580712.
  26. Carey, Part A, p. 149
  27. Danishefsky, S.; Kitahara, T. (1974). "Useful diene for the Diels-Alder reaction". Journal of the American Chemical Society. 96 (25): 7807–7808. doi:10.1021/ja00832a031.
  28. Savard, J.; Brassard, P. (1979). "Regiospecific syntheses of quinones using vinylketene acetals derived from unsaturated esters". Tetrahedron Letters. 20 (51): 4911–4914. doi:10.1016/S0040-4039(01)86747-2.
  29. Kozmin, S. A.; Rawal, V. H. (1997). "Preparation and Diels−Alder Reactivity of 1-Amino-3-siloxy-1,3-butadienes". Journal of Organic Chemistry. 62 (16): 5252–5253. doi:10.1021/jo970438q.
  30. Klundt, I. L. (1970). "Benzocyclobutene and its derivatives". Chemical Reviews. 70 (4): 471–487. doi:10.1021/cr60266a002.
  31. Ito, Y.; Nakatsuka, M.; Saegusa, T. (1982). "Syntheses of polycyclic ring systems based on the new generation of o-quinodimethanes". Journal of the American Chemical Society. 104 (26): 7609–7622. doi:10.1021/ja00390a036.
  32. Sano, H.; Ohtsuka, H.; Migita, T. (1988). "A convenient method for the generation of o-quinodimethanes by proton induced 1,4-elimination of o-(1-hydroxyalkyl)benzyltributylstannanes". Journal of the American Chemical Society. 110 (6): 2014–2015. doi:10.1021/ja00214a083.
  33. Soon, H. W. (1993). "A novel method for the generation of o – quinodimethane by selenium – induced fragmentation of o – vinyl benzyltributylstannane". Tetrahedron Letters. 34 (47): 7587–7590. doi:10.1016/S0040-4039(00)60407-0.
  34. Soon, H. W. (1994). "Lewis acid-promoted generation of α-oxy-o-quinodimethanes and cycloaddition reactions". Tetrahedron Letters. 35 (23): 3975–3978. doi:10.1016/S0040-4039(00)76717-7.
  35. Rubottom, G. M.; Way, J. E. (1984). "An Improved Method for the Preparation of o-Quinodimethanes". Synthetic Communications. 14 (6): 507–514. doi:10.1080/00397918408059572.
  36. Margareta Avram (1983). "Chimie organica" p. 318-323. "Editura Academiei Republicii Socialiste România"
  37. Ranganathan, S.; Ranganathan, D.; Mehrotra, A. K. (1977). "Ketene Equivalents". Synthesis. 1977 (5): 289–296. doi:10.1055/s-1977-24362.
  38. Roush, W. R. (1991). "Intramolecular Diels–Alder Reactions". In Trost, B. M.; Flemming, I. Comprehensive Organic Synthesis. Vol. 5. pp. 513–550. doi:10.1016/B978-0-08-052349-1.00131-1. ISBN 978-0-08-052349-1.
  39. 1 2 Grieco, P. A.; Larsen, S. D. (1990). "Iminium Ion-Based Diels–Alder Reactions: N-Benzyl-2-Azanorborene" (PDF). Organic Syntheses. 68: 206. doi:10.15227/orgsyn.068.0206.
  40. Evans, D. A.; Chapman, K. T.; Bisaha, J. (1988). "Asymmetric Diels-Alder cycloaddition reactions with chiral α,β-unsaturated N-acyloxazolidinones". Journal of the American Chemical Society. 110 (4): 1238–1256. doi:10.1021/ja00212a037.
  41. Corey, E. J.; Loh, T. P. (1991). "First application of attractive intramolecular interactions to the design of chiral catalysts for highly enantioselective Diels-Alder reactions". Journal of the American Chemical Society. 113 (23): 8966–8967. doi:10.1021/ja00023a066.
  42. Corey, E. J.; Shibata, T.; Lee, T. W. (2002). "Asymmetric Diels-Alder reactions catalyzed by a triflic acid activated chiral oxazaborolidine". Journal of the American Chemical Society. 124 (15): 3808–9. doi:10.1021/ja025848x. PMID 11942799.
  43. Ryu, D. H.; Corey, E. J. (2003). "Triflimide activation of a chiral oxazaborolidine leads to a more general catalytic system for enantioselective Diels-Alder addition". Journal of the American Chemical Society. 125 (21): 6388–90. doi:10.1021/ja035393r. PMID 12785777.
  44. Johnson, J. S.; Evans, D. A. (2000). "Chiral bis(oxazoline) copper(II) complexes: Versatile catalysts for enantioselective cycloaddition, Aldol, Michael, and carbonyl Ene reactions". Accounts of Chemical Research. 33 (6): 325–35. doi:10.1021/ar960062n. PMID 10891050.
  45. Ahrendt, K. A.; Borths, C. J.; MacMillan, D. W. C. (2000). "New Strategies for Organic Catalysis: The First Highly Enantioselective Organocatalytic Diels−Alder Reaction". Journal of the American Chemical Society. 122 (17): 4243–4244. doi:10.1021/ja000092s.
  46. Woodward, R. B.; Sondheimer, F.; Taub, D.; Heusler, K.; McLamore, W. M. (1952). "The Total Synthesis of Steroids". Journal of the American Chemical Society. 74 (17): 4223–4251. doi:10.1021/ja01137a001.
  47. Corey, E. J.; Weinshenker, N. M.; Schaaf, T. K.; Huber, W. (1969). "Stereo-controlled synthesis of prostaglandins F-2a and E-2 (dl)". Journal of the American Chemical Society. 91 (20): 5675–7. doi:10.1021/ja01048a062. PMID 5808505.
  48. Nicolaou, K. C.; Sorensen, E. J. (1996). Classics in Total Synthesis: Targets, Strategies, Methods. Wiley VCH. ISBN 978-3-527-29231-8.
  49. De Lucchi, O.; Pasquato, L. (1988). "The role of sulfur functionalities in activating and directing olefins in cycloaddition reactions". Tetrahedron. 44 (22): 6755–6794. doi:10.1016/S0040-4020(01)86204-9.
  50. Danishefsky, S.; Hirama, M.; Fritsch, N.; Clardy, J. (1979). "Synthesis of disodium prephenate and disodium epiprephenate. Stereochemistry of prephenic acid and an observation on the base-catalyzed rearrangement of prephenic acid to p-hydroxyphenyllactic acid". Journal of the American Chemical Society. 101 (23): 7013–7018. doi:10.1021/ja00517a039.
  51. Wender, P. A.; Schaus, J. M.; White, A. W. (1980). "General methodology for cis-hydroisoquinoline synthesis: Synthesis of reserpine". Journal of the American Chemical Society. 102 (19): 6157–6159. doi:10.1021/ja00539a038.
  52. Martin, S. F.; Rueger, H.; Williamson, S. A.; Grzejszczak, S. (1987). "General strategies for the synthesis of indole alkaloids. Total synthesis of (±)-reserpine and (±)-α-yohimbine". Journal of the American Chemical Society. 109 (20): 6124–6134. doi:10.1021/ja00254a036.
  53. Nicolaou, K. C.; Yang, Z.; Liu, J. J.; Ueno, H.; Nantermet, P. G.; Guy, R. K.; Claiborne, C. F.; Renaud, J.; Couladouros, E. A.; Paulvannan, K.; Sorensen, E. J. (1994). "Total synthesis of taxol". Nature. 367 (6464): 630–4. Bibcode:1994Natur.367..630N. doi:10.1038/367630a0. PMID 7906395.
  54. Narasaka, K.; Shimada, S.; Osoda, K.; Iwasawa, N. (1991). "Phenylboronic Acid as a Template in the Diels-Alder Reaction". Synthesis. 1991 (12): 1171–1172. doi:10.1055/s-1991-28413.
  55. Smith, A. B.; Sestelo, J. P.; Dormer, P. G. (1995). "Total Synthesis of (-)-Furaquinocin C". Journal of the American Chemical Society. 117 (43): 10755–10756. doi:10.1021/ja00148a023.
  56. Kozmin, S. A.; Rawal, V. H. (1998). "A General Strategy to Aspidosperma Alkaloids: Efficient, Stereocontrolled Synthesis of Tabersonine". Journal of the American Chemical Society. 120 (51): 13523–13524. doi:10.1021/ja983198k.
  57. Gibbs, R. A.; Okamura, W. H. (1988). "A short enantioselective synthesis of (+)-sterpurene: Complete intramolecular transfer of central to axial to central chiral elements". Journal of the American Chemical Society. 110 (12): 4062–4063. doi:10.1021/ja00220a069.
  58. Charest, M. G.; Siegel, D. R.; Myers, A. G. (2005). "Synthesis of (-)-tetracycline". Journal of the American Chemical Society. 127 (23): 8292–3. doi:10.1021/ja052151d. PMID 15941256.
  59. Dauben, W. G.; Kessel, C. R.; Takemura, K. H. (1980). "Simple, efficient total synthesis of cantharidin via a high-pressure Diels-Alder reaction". Journal of the American Chemical Society. 102 (22): 6893–6894. doi:10.1021/ja00542a060.

Bibliography

External links

This article is issued from Wikipedia - version of the 11/1/2016. The text is available under the Creative Commons Attribution/Share Alike but additional terms may apply for the media files.