Zomepirac
![]() | |
| Clinical data | |
|---|---|
| Routes of administration | oral |
| ATC code | M01AB04 (WHO) |
| Legal status | |
| Legal status |
|
| Identifiers | |
| |
| CAS Number |
33369-31-2 |
| PubChem (CID) | 5733 |
| DrugBank |
DB04828 |
| ChemSpider |
5531 |
| UNII |
822G987U9J |
| ChEBI |
CHEBI:35859 |
| ChEMBL |
CHEMBL19490 |
| ECHA InfoCard | 100.046.780 |
| Chemical and physical data | |
| Formula | C15H14ClNO3 |
| Molar mass | 291.729 g/mol |
| 3D model (Jmol) | Interactive image |
| |
| |
| | |
Zomepirac is an orally effective non-steroidal anti-inflammatory drug (NSAID) that has antipyretic actions. It was developed by McNeil Pharmaceutical, approved by the FDA in 1980, and sold as the sodium salt zomepirac sodium, under the brand name Zomax. Due to its clinical effectiveness, it was preferred by doctors in many situations and obtained a large share of the analgesics market; however, it was subsequently withdrawn in March 1983 due to its tendency to cause serious anaphylaxis in an unpredictable subset of the patient population.[1][2]
Indications
Zomepirac was indicated for the management of mild to severe pain.[3] Multiple clinical trials demonstrated zomepirac to be more effective than aspirin or codeine alone and to be as effective as analgesic combinations containing codeine or other opioids.[4][5][6][7][8][9][10] Zomepirac provided analgesia comparable with usual intramuscular doses of morphine in postoperative pain and that with long-term use, neither tolerance to its analgesic effect nor psychological or physical dependence had been demonstrated.[3][11]
Chemical structure
Zomepirac is the sodium salt of 5-(4-chlorobenzoyl)-1,4 dimethyl-1H-pyrrole-2-acetate dihydrate. It is a pyrrole-acetic acid which is structurally related to tolmetin. The chemical structure differs from other NSAIDs in that the central benzene ring has been replaced by a pyrrole.
Mechanism of action
Zomepirac is a prostaglandin synthetase inhibitor.[12]
Toxicity
Zomepirac does not cause anaphylaxis directly, but it is metabolized by UDP-glucuronosyltransferase (UGT) to a reactive glucuronide which binds irreversibly to plasma albumin.[13]
Synthesis
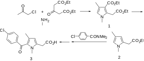
Zomepirac can be synthesized from diethyl 1,3-acetonedicarboxylate, chloroacetone, and aqueous methylamine (MeNH2) via modification of the Hantzsch pyrrole synthesis to give intermediate 1. Saponification, monoesterification, and thermal decarboxylation gives ester 2. This is acylated with N,N-dimethyl-p-chlorobenzamide, and finally saponification gives zomepirac (3).
References
- ↑ Peter H. Rheinstein, Reporting of adverse drug events: a key to postmarketing drug safety, American Family Physician, Sept, 1992
- ↑ Mark P. Grillo and Fengmei Hua, IDENTIFICATION OF ZOMEPIRAC-S-ACYL-GLUTATHIONE IN VITRO IN INCUBATIONS WITH RAT HEPATOCYTES AND IN VIVO IN RAT BILE, Drug Metabolism and Disposition, August 19, 2003
- 1 2 Lewis JR (1981). "Zomepirac sodium. A new nonaddicting analgesic". JAMA. 246 (4): 377–9. doi:10.1001/jama.246.4.377. PMID 7241789.
- ↑ Steele CE, Jefferson WL (1983). "A multi-centre study of zomepirac in painful conditions: an analysis of clinical data for 15,484 patients". Current medical research and opinion. 8 (6): 382–91. doi:10.1185/03007998309111743. PMID 6221886.
- ↑ Mehlisch DR, Joy ED (1981). "Zomepirac sodium vs APC with codeine for oral surgery pain". Journal of oral surgery (American Dental Association : 1965). 39 (6): 426–9. PMID 7014804.
- ↑ Stambaugh JE, Sarajian C (1981). "Analgesic efficacy of zomepirac sodium in patients with pain due to cancer". Journal of clinical pharmacology. 21 (11–12 Pt 1): 501–7. doi:10.1002/j.1552-4604.1981.tb05657.x. PMID 7037868.
- ↑ Evans PJ, McQuay HJ, Rolfe M, O'Sullivan G, Bullingham RE, Moore RA (1982). "Zomepirac, placebo and paracetamol/dextropropoxyphene combination compared in orthopaedic postoperative pain". British journal of anaesthesia. 54 (9): 927–33. doi:10.1093/bja/54.9.927. PMID 7052110.
- ↑ Baird WM, Turek D (1980). "Comparison of zomepirac, APC with codeine, codeine and placebo in the treatment of moderate and severe postoperative pain". Journal of clinical pharmacology. 20 (4 Pt 2): 243–9. PMID 6991540.
- ↑ Mehlisch DR, Joy ED, Moore TE, Porter K, Stumpf AJ, Wolfe SH (1980). "Clinical comparison of zomepirac with APC/codeine combination in the treatment of pain following oral surgery". Journal of clinical pharmacology. 20 (4 Pt 2): 271–8. PMID 6991544.
- ↑ Diamond S, Medina JL (1981). "A double-blind study of zomepirac sodium and placebo in the treatment of muscle contraction headache". Headache. 21 (2): 45–8. doi:10.1111/j.1526-4610.1981.hed2102045.x. PMID 7016809.
- ↑ Wallenstein SL, Rogers A, Kaiko RF, Heidrich G, Houde RW (1980). "Relative analgesic potency of oral zomepirac and intramuscular morphine in cancer patients with postoperative pain". Journal of clinical pharmacology. 20 (4 Pt 2): 250–8. PMID 6991541.
- ↑ DC McLeod, Zomepirac (Zomax, McNeil Pharmaceutical) Archived September 28, 2007, at the Wayback Machine., Drug Intelligence & Clinical Pharmacy: Vol. 15, No. 7, pp. 522-530.
- ↑ Smith, P. C.; McDonagh, A. F.; Benet, L. Z. (1986). "Irreversible binding of zomepirac to plasma protein in vitro and in vivo". Journal of Clinical Investigation. 77 (3): 934–939. doi:10.1172/JCI112392. PMC 423485
. PMID 3949982. - ↑ Carson, John R.; Wong, Stewart (1973). "5-Benzoyl-1-methylpyrrole-2-acetic acids as antiinflammatory agents. 2. 4-Methyl compounds". Journal of Medicinal Chemistry. 16 (2): 172. doi:10.1021/jm00260a023. PMID 4683116.
- ↑ J. R. Carson, DE 2102746; idem, U.S. Patent 3,752,826 (1971, 1973 both to McNeil).

