Widom scaling
Widom scaling (after Benjamin Widom) is a hypothesis in statistical mechanics regarding the free energy of a magnetic system near its critical point which leads to the critical exponents becoming no longer independent so that they can be parameterized in terms of two values. The hypothesis can be seen to arise as a natural consequence of the block-spin renormalization procedure, when the block size is chosen to be of the same size as the correlation length.[1]
Widom scaling is an example of universality.
Definitions
The critical exponents
and
are defined in terms of the behaviour of the order parameters and response functions near the critical point as follows
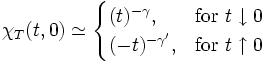
, for 
, for 

where
measures the temperature relative to the critical point.
Near the critical point, Widom's scaling relation reads
.
where
has an expansion
,
with
being Wegner's exponent governing the approach to scaling.
Derivation
The scaling hypothesis is that near the critical point, the free energy
, in
dimensions, can be written as the sum of a slowly varying regular part
and a singular part
, with the singular part being a scaling function, i.e., a homogeneous function, so that
Then taking the partial derivative with respect to H and the form of M(t,H) gives
Setting
and
in the preceding equation yields
for 
Comparing this with the definition of
yields its value,
Similarly, putting
and
into the scaling relation for M yields
Hence
Applying the expression for the isothermal susceptibility
in terms of M to the scaling relation yields
Setting H=0 and
for
(resp.
for
) yields
Similarly for the expression for specific heat
in terms of M to the scaling relation yields
Taking H=0 and
for
(or
for
yields
As a consequence of Widom scaling, not all critical exponents are independent but they can be parameterized by two numbers
with the relations expressed as
The relations are experimentally well verified for magnetic systems and fluids.
References
- H. E. Stanley, Introduction to Phase Transitions and Critical Phenomena
- H. Kleinert and V. Schulte-Frohlinde, Critical Properties of φ4-Theories, World Scientific (Singapore, 2001); Paperback ISBN 981-02-4658-7 (also available online)
- ↑ Kerson Huang, Statistical Mechanics. John Wiley and Sons, 1987











