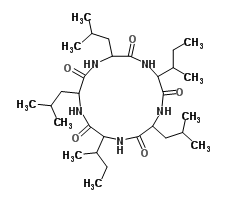
Viscumamide
![]() | |
| Names | |
|---|---|
| IUPAC name
Cyclo(isoleucylleucylisoleucylleucylleucyl) | |
| Identifiers | |
| 3D model (Jmol) | Interactive image |
| ChemSpider | 486785 |
| PubChem | 559969 |
| |
| |
| Properties | |
| C30H55N5O5 | |
| Molar mass | 565.80 g·mol−1 |
| Except where otherwise noted, data are given for materials in their standard state (at 25 °C [77 °F], 100 kPa). | |
| Infobox references | |
Viscumamide is a cyclic peptide isolated from endophytic fungi of mangrove.[1]
References
This article is issued from Wikipedia - version of the 7/7/2015. The text is available under the Creative Commons Attribution/Share Alike but additional terms may apply for the media files.
