Urech hydantoin synthesis
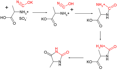
The Urech hydantoin synthesis is the chemical reaction of amino acids with potassium cyanate and hydrochloric acid to give hydantoins.[1][2]

Reaction mechanism

References
- ↑ Urech, F. Ann. 1873, 165, 99.
- ↑ Ware, E. Chem. Rev. 1950, 46, 407. (Review)
External links
- English translation of 1873 German article 'on lactyl amino acids and lactyl ureas' by Friedrich Urech
See also
This article is issued from Wikipedia - version of the 8/29/2016. The text is available under the Creative Commons Attribution/Share Alike but additional terms may apply for the media files.