Ugi reaction
| Ugi reaction | |
|---|---|
| Named after | Ivar Karl Ugi |
| Reaction type | Coupling reaction |
| Identifiers | |
| Organic Chemistry Portal | ugi-reaction |
| RSC ontology ID | RXNO:0000129 |
The Ugi reaction is a multi-component reaction in organic chemistry involving a ketone or aldehyde, an amine, an isocyanide and a carboxylic acid to form a bis-amide.[1][2][3] The reaction is named after Ivar Karl Ugi, who first reported this reaction in 1959.

The Ugi reaction is exothermic and usually complete within minutes of adding the isocyanide. High concentration (0.5M - 2.0M) of reactants give the highest yields. Polar, aprotic solvents, like DMF, work well. However, methanol and ethanol have also been used successfully. This uncatalyzed reaction has an inherent high atom economy as only a molecule of water is lost and chemical yield in general are high. Recent research has shown that the Ugi reaction is accelerated in water.[4]
Several reviews have been published.[5][6][7][8][9][10][11]
Reaction mechanism
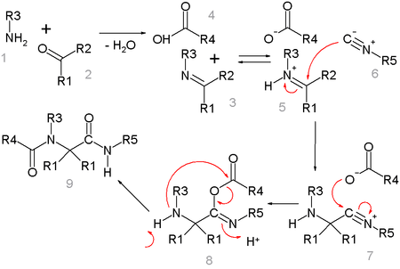
In the Ugi reaction, the initial reaction is the formation of an imine (1) from the amine and the ketone. Subsequent reaction of the imine with the isocyanide and the carboxylic acid gives intermediate 2, which rearranges via an acyl transfer into the bis-amide 3. The exact mechanism of the trimolecular reaction to form intermediate 2 is not known.

The reaction can also be performed with a pre-formed imine. This results in an increased yield.
One plausible reaction mechanism is depicted below:[12]

Amine 1 and ketone 2 form the imine 3 with loss of one equivalent of water. Proton exchange with carboxylic acid 4 activates the iminium ion 5 for nucleophilic addition of the isocyanide 6 with its terminal carbon atom to nitrilium ion 7. A second nucleophilic addition takes place at this intermediate with the carboxylic acid anion to 8. The final step is a Mumm rearrangement with transfer of the R4 acyl group from oxygen to nitrogen. Note that in the related Passerini reaction (lacking the amine) the isocyanide reacts directly with the carbonyl group but other aspects of the reaction are the same. All reaction steps are reversible except for the Mumm rearrangement, which drives the whole reaction sequence.
Variations
Combination of reaction components
The usage of bifunctional reaction components greatly increases the diversity of possible reaction products. Likewise, several combinations lead to structurally interesting products. The Ugi reaction has been applied in combination with an intramolecular Diels-Alder reaction [13] in an extended multistep reaction.
A reaction in its own right is the Ugi–Smiles reaction with the carboxylic acid component replaced by a phenol. In this reaction the Mumm rearrangement in the final step is replaced by the Smiles rearrangement.[14]
![]() | ![]() | |
| Ugi–Diels–Alder reaction | Ugi–Smiles reaction | |
Another combination (with separate workup of the Ugi intermediate) is one with the Buchwald–Hartwig reaction.[15] In the Ugi–Heck reaction a Heck aryl-aryl coupling takes place in a second step [16]
![]() | ![]() | |
| Ugi–Buchwald–Hartwig reaction [17] | Ugi–Heck reaction [18] | |
Combination of amine and carboxylic acid
Several groups have used β-amino acids in the Ugi reaction to prepare β-lactams.[19] This approach relies on acyl transfer in the Mumm rearrangement to form the four-membered ring. The reaction proceeds in moderate yield at room temperature in methanol with formaldehyde or a variety of aryl aldehydes. For example, p-nitrobenzaldehyde reacts to form the β-lactam shown in 71% yield as a 4:1 diastereomeric mixture:

Combination of carbonyl compound and carboxylic acid
Zhang et al.[20] have combined aldehydes with carboxylic acids and used the Ugi reaction to create lactams of various sizes. Short et al.[21] have prepared γ-lactams from keto-acids on solid-support.
Applications
Chemical libraries
The Ugi reaction is one of the first reactions to be exploited explicitly to develop chemical libraries. These chemical libraries are sets of compounds that can be tested repeatedly. Using the principles of combinatorial chemistry, the Ugi reaction offers the possibility to synthesize a great number of different compounds in one reaction, by the reaction of various ketones (or aldehydes), amines, isocyanides and carboxylic acids. These libraries can then be tested with enzymes or living organisms to find new active pharmaceutical substances. One drawback is the lack of chemical diversity of the products. Using the Ugi reaction in combination with other reactions enlarges the chemical diversity of possible products.
Examples of Ugi reaction combinations:
- Isoquinolines from Ugi and Heck reactions.[22]
Pharmaceutical industry
Crixivan can be prepared using the Ugi reaction.[23]
Additionally, many of the caine-type anesthetics are synthesized using this reaction. Examples include lidocaine and bupivacaine.
See also
References
- ↑ Ugi, I; Meyr, R.; Fetzer, U.; Steinbrückner, C. (1959). "Versuche mit Isonitrilen". Angew. Chem. 71 (11): 386. doi:10.1002/ange.19590711110.
- ↑ Ugi, I; Steinbrückner, C. (1960). "Über ein neues Kondensations-Prinzip". Angew. Chem. 72 (7–8): 267–268. doi:10.1002/ange.19600720709.
- ↑ Ugi, I. (1962). "The α-Addition of Immonium Ions and Anions to Isonitriles Accompanied by Secondary Reactions". Angewandte Chemie International Edition in English. 1 (1): 8–21. doi:10.1002/anie.196200081.
- ↑ Pirrung, M. C.; Sarma, K. D. (2004). "Multicomponent Reactions Are Accelerated in Water". Journal of the American Chemical Society. 126 (2): 444–445. doi:10.1021/ja038583a. PMID 14719923.
- ↑ Ugi, I., Lohberger S., Karl R. The Passerini and Ugi Reactions, Chapter 4.6, Comprehensive Organic Synthesis 1991, 2, 1083-1109. ISBN 0-08-040593-2, Pergamon, Oxford, 10196 pages (Review)
- ↑ Ugi, I.; Werner, B.; Dömling, A. (2003). "The Chemistry of Isocyanides, their MultiComponent Reactions and their Libraries" (PDF). Molecules. 8: 53–66. doi:10.3390/80100053.
- ↑ Banfi, L., and Riva, R. (2005). The Passerini Reaction. Organic Reactions, Vol. 65 L. E. Overman Ed. Wiley. (ISBN 0-471-68260-8)
- ↑ Tempest P.A. (2005). "Recent advances in heterocycle generation using the efficient Ugi multiple-component condensation reaction". Current Opinion in Drug Discovery & Development. 8 (6): 776–788.
- ↑ Ugi I.; Heck S. (2001). "The multicomponent reactions and their libraries for natural and preparative chemistry". Combinatorial Chemistry & High Throughput Screening. 4 (1): 1–34.
- ↑ Bienayme H, Hulme C, Oddon G, Schmitt P (2000). "Maximizing synthetic efficiency: Multi-component transformations lead the way". Chemistry: A European Journal. 8 (16): 3321–3329. doi:10.1002/1521-3765(20000915)6:18<3321::AID-CHEM3321>3.0.CO;2-A.
- ↑ Dömling A.; Ugi I. (2000). "Multicomponent Reactions with Isocyanides". Angewandte Chemie International Edition in English. 39 (18): 3168–3210. doi:10.1002/1521-3773(20000915)39:18<3168::AID-ANIE3168>3.0.CO;2-U.
- ↑ S. E. Denmark & Y. Fan (2005). "Catalytic, Enantioselective α-Additions of Isocyanides: Lewis Base Catalyzed Passerini-Type Reactions". Journal of Organic Chemistry. 70 (24): 9667–9676. doi:10.1021/jo050549m. PMID 16292793.
- ↑ Complexity-Enhancing Acid-Promoted Rearrangement of Tricyclic Products of Tandem Ugi 4CC/Intramolecular Diels-Alder ReactionAlexei Ilyin, Volodymyr Kysil, Mikhail Krasavin, Irina Kurashvili, and Alexandre V. Ivachtchenko J. Org. Chem.; 2006; 71(25) pp 9544 - 9547; (Note) doi:10.1021/jo061825f
- ↑ Direct Access to Heterocyclic Scaffolds by New Multicomponent Ugi-Smiles Couplings Laurent El Kaim, Marie Gizolme, Laurence Grimaud, and Julie Oble Org. Lett.; 2006; 8(18) pp 4019 - 4021; (Letter) doi:10.1021/ol061605o
- ↑ Rapid Access to Oxindoles by the Combined Use of an Ugi Four-Component Reaction and a Microwave-Assisted Intramolecular Buchwald-Hartwig Amidation Reaction Florence Bonnaterre, Michèle Bois-Choussy, and Jieping Zhu Org. Lett.; 2006; 8(19) pp 4351–4354; (Letter) doi:10.1021/ol061755z
- ↑ Synthesis of Functionalized Quinolines via Ugi and Pd-Catalyzed Intramolecular Arylation Reactions Zhibo Ma, Zheng Xiang, Tuoping Luo, Kui Lu, Zhibin Xu, Jiahua Chen, and Zhen Yang J. Comb. Chem; 2006; 8(5) pp 696–704; (Article) doi:10.1021/cc060066b
- ↑ Second part microwave accelerated reaction with Pd(dba)2 and phosphine ligand Me-Phos
- ↑ The Heck step takes place with palladium(II) acetate, dppf ligand potassium carbonate and tetra-n-butylammonium bromide in dimethylformamide
- ↑ Gedey, S.; Van der Eycken, J.; Fülöp, F. (2002). "Liquid-Phase Combinatorial Synthesis of Alicyclic β-Lactams via Ugi Four-Component Reaction". Organic Letters. 4 (11): 1967–1969. doi:10.1021/ol025986r.
- ↑ Zhang, J.; Jacobson, A.; Rusche, J. R.; Herlihy, W. (1999). "Unique Structures Generated by Ugi 3CC Reactions Using Bifunctional Starting Materials Containing Aldehyde and Carboxylic Acid". Journal of Organic Chemistry. 64 (3): 1074–1076. doi:10.1021/jo982192a. PMID 11674195.
- ↑ Short K. M.; Mjalli A. M. M. (1997). "A solid-phase combinatorial method for the synthesis of novel 5- and 6-membered ring lactams". Tetrahedron Letters. 38 (3): 359–362. doi:10.1016/S0040-4039(96)02303-9.
- ↑ Xiang, Z.; Luo, T.; Cui, J.; Shi, X.; Fathi, R.; Chen, J.; Yang, Z. (2004). "Novel Pd-II-mediated cascade carboxylative annulation to construct benzo[b]furan-3-carboxylic acids". Organic Letters. 6 (18): 3155–3158. doi:10.1021/ol048791n. PMID 15330611.
- ↑ Rossen, K.; Pye, P. J.; DiMichele, L. M.; Volante, R. P.; Reider, P. J. (1998). "An efficient asymmetric hydrogenation approach to the synthesis of the Crixivan piperazine intermediate". Tetrahedron Letters. 39 (38): 6823–6826. doi:10.1016/S0040-4039(98)01484-1.
External links
- Ugi reaction - Synthetic protocols from organic-reaction.com



