Tripamide
![]() | |
| Clinical data | |
|---|---|
| AHFS/Drugs.com | International Drug Names |
| Routes of administration | Oral |
| ATC code | none |
| Legal status | |
| Legal status |
|
| Identifiers | |
| |
| CAS Number | 73803-48-2 |
| PubChem (CID) | 636401 |
| UNII |
G36A0E9CVT |
| ChEMBL | CHEMBL2104484 |
| Chemical and physical data | |
| Formula | C16H20ClN3O3S |
| Molar mass | 369.86 |
| 3D model (Jmol) | Interactive image |
| |
| (verify) | |
Tripamide (INN) is a diuretic.
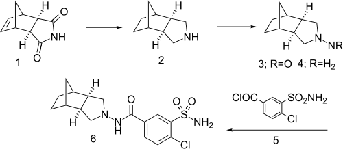
Synthesis

Tripamide synthesis:[1]
Preparation starts by exhaustive reduction of the Diels-Alder adduct from cyclopentadiene and maleimide (1). Nitrosation of the product (2), followed by reduction of the nitroso group of 3, gives the corresponding hydrazine (4). Acylation with acid chloride 5 gives tripamide (6).
References
This article is issued from Wikipedia - version of the 10/15/2015. The text is available under the Creative Commons Attribution/Share Alike but additional terms may apply for the media files.
