Sulfur oxoacid
The sulfur oxoacids are chemical compounds that contain sulfur, oxygen and hydrogen. The best known and most important industrially is sulfuric acid. Sulfur has a number of oxoacids; however, some of these are known only from their salts (these are shown in italics in the table below). The acids that have been characterised contain a variety of structural features, for example:
- tetrahedral sulfur when coordinated to oxygen
- terminal and bridging oxygen atoms
- terminal peroxo groups
- terminal S=S
- chains of (-S-)n
| Acid | Formula | Oxidation state(s) | Structure | Related anions | Notes |
| Sulfuric acid | H2SO4 | VI | ![]() |
Sulfate, SO42− and hydrogen sulfate commonly known as bisulfate, HSO4− | Best known and industrially significant. |
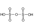
| Polysulfuric acids including disulfuric acid or pyrosulfuric acid | H2SO4.nSO3 | VI | ![]() |
Disulfate (commonly known as pyrosulfate), S2O72− and trisulfate, S3O102− | Pure disulfuric acid melts at 36 °C.
Present in fuming sulfuric acid, oleum. Examples known for n=1,2. |
| Peroxymonosulfuric acid | H2SO5 | VI | ![]() |
Peroxymonosulfate, OOSO32− | "Caro's acid", a solid melting at 45 °C |
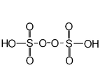
| Peroxydisulfuric acid | H2S2O8 | VI | ![]() |
Peroxydisulfate, O3SOOSO32− | A solid melting at 65 °C. |
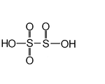
| Dithionic acid | H2S2O6 | V | ![]() |
Dithionate, O3SSO32− | Not isolated in pure form, only concentrated solutions have been prepared |
| Thiosulfuric acid | H2S2O3 | -II (for the terminal sulfur) , VI (for the central atom) | ![]() |
Thiosulfate, S2O32− Hydrogenthiosulfate HS2O3− (ammonium salt prepared in anhydrous methanol at −80 °C[1]) |
Aqueous solutions decompose. |
| Disulfurous acid or pyrosulfurous acid | H2S2O5 | V (of the sulfur atom bonded to 3 oxygen atoms), III (of other sulfur atom) | ![]() |
Disulfite commonly known as metabisulfite, S2O52− | Not known. |
| Sulfurous acid | H2SO3 | IV | ![]() |
Bisulfite, HSO3− and sulfite, SO32− | Not known. |
| Dithionous acid | H2S2O4 | III | ![]() |
Dithionite, O2SSO22− | Not known. |
| Polythionic acids | H2SxO6 | 0 (for the bridging S atoms), V (for the terminal central S atoms) | ![]() |
Polythionates, O3S(Sx-2)SO32−. Example trithionate, tetrathionate, pentathionate, hexathionate, heptathionate, octathionate, nonathionate, decathionate, undecathionate, dodecathionate, tridecathionate and tetradecathionate. | Examples known with x= 3, 4, 5, 6, 7, 8, 10, 12, 14. |
| Thiosulfurous acid | H2S2O2 | -I (for the exterior sulfur atom ) , III (for the central atom) | Thiosulfites | Not known |
See also
- Peroxidisulphuric acid
- Sulfinic acids
- Sulfonic acids
- Chlorosulfuric acid
- Fluorosulfuric acid
- Nitrosylsulfuric acid
References
- ↑ Raman spectroscopic discovery of the hydrogenthiosulphate anion, HSSO3−, in solid NH4HS2O3 Steudel Rr.; Prenzel A Zeitschrift für Naturforschung 1989,44, 12, 1499-1502
External links
- Sulfur Acids at the US National Library of Medicine Medical Subject Headings (MeSH) Sulfur oxoacids along with other acids containing sulfur
This article is issued from Wikipedia - version of the 8/31/2016. The text is available under the Creative Commons Attribution/Share Alike but additional terms may apply for the media files.









