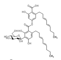
Stromemycin
![]() | |
| Identifiers | |
|---|---|
| ChemSpider | 10479698 |
| Except where otherwise noted, data are given for materials in their standard state (at 25 °C [77 °F], 100 kPa). | |
| Infobox references | |
Stromemycin is a bio-active isolate of marine Emericella. Stromemycin is a C-glycosidic depside matrix metalloproteinase inhibitor.
External links
This article is issued from Wikipedia - version of the 7/7/2015. The text is available under the Creative Commons Attribution/Share Alike but additional terms may apply for the media files.
