Stirling numbers and exponential generating functions in symbolic combinatorics
The use of exponential generating functions (EGFs) to study the properties of Stirling numbers is a classical exercise in combinatorial mathematics and possibly the canonical example of how symbolic combinatorics is used. It also illustrates the parallels in the construction of these two types of numbers, lending support to the binomial-style notation that is used for them.
This article uses the coefficient extraction operator
for formal power series, as well as the (labelled) operators
(for cycles) and
(for sets) on combinatorial classes, which are explained on the page for symbolic combinatorics. Given a combinatorial class, the cycle operator creates the class obtained by placing objects from the source class along a cycle of some length, where cyclical symmetries are taken into account, and the set operator creates the class obtained by placing objects from the source class in a set (symmetries from the symmetric group, i.e. an "unstructured bag".) The two combinatorial classes (shown without additional markers) are
- permutations (for unsigned Stirling numbers of the first kind):
and
- set partitions into non-empty subsets (for Stirling numbers of the second kind):
where
is the singleton class.
Warning: The notation used here for the Stirling numbers is not that of the Wikipedia articles on Stirling numbers; square brackets denote the signed Stirling numbers here.
Stirling numbers of the first kind
The unsigned Stirling numbers of the first kind count the number of permutations of [n] with k cycles. A permutation is a set of cycles, and hence the set
of permutations is given by
where the singleton
marks cycles. This decomposition is examined in some detail on the page on the statistics of random permutations.
Translating to generating functions we obtain the mixed generating function of the unsigned Stirling numbers of the first kind:
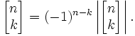
Now the signed Stirling numbers of the first kind are obtained from the unsigned ones through the relation
Hence the generating function
of these numbers is
A variety of identities may be derived by manipulating this generating function:
In particular, the order of summation may be exchanged, and derivatives taken, and then z or u may be fixed.
Finite sums
A simple sum is
This formula holds because the exponential generating function of the sum is
Infinite sums
Some infinite sums include
where
(the singularity nearest to
of
is at
)
This relation holds because
Stirling numbers of the second kind
These numbers count the number of partitions of [n] into k nonempty subsets. First consider the total number of partitions, i.e. Bn where
i.e. the Bell numbers. The Flajolet–Sedgewick fundamental theorem applies (labelled case).
The set
of partitions into non-empty subsets is given by ("set of non-empty sets of singletons")
This decomposition is entirely analogous to the construction of the set
of permutations from cycles, which is given by
and yields the Stirling numbers of the first kind. Hence the name "Stirling numbers of the second kind."
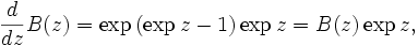
The decomposition is equivalent to the EGF
Differentiate to obtain
which implies that
by convolution of exponential generating functions and because differentiating an EGF drops the first coefficient and shifts Bn+1 to z n/n!.
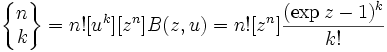
The EGF of the Stirling numbers of the second kind is obtained by marking every subset that goes into the partition with the term
, giving
Translating to generating functions, we obtain
This EGF yields the formula for the Stirling numbers of the second kind:
or
which simplifies to
External links
- Philippe Flajolet and Robert Sedgewick, Analytic combinatorics – Symbolic combinatorics.
References
- Ronald Graham, Donald Knuth, Oren Patashnik (1989): Concrete Mathematics, Addison–Wesley, ISBN 0-201-14236-8
- D. S. Mitrinovic, Sur une classe de nombre relies aux nombres de Stirling, C. R. Acad. Sci. Paris 252 (1961), 2354–2356.
- A. C. R. Belton, The monotone Poisson process, in: Quantum Probability (M. Bozejko, W. Mlotkowski and J. Wysoczanski, eds.), Banach Center Publications 73, Polish Academy of Sciences, Warsaw, 2006
- Milton Abramowitz and Irene A. Stegun, Handbook of Mathematical Functions with Formulas, Graphs, and Mathematical Tables, USGPO, 1964, Washington DC, ISBN 0-486-61272-4



![G(z, u) = \exp \left( u \log \frac{1}{1-z} \right) =
\left(\frac{1}{1-z} \right)^u =
\sum_{n=0}^\infty \sum_{k=0}^n
\left|\left[\begin{matrix} n \\ k \end{matrix}\right]\right| u^k \, \frac{z^n}{n!}.](../I/m/c4d1b8dbf33e5c588201cc41ac6d69f2.png)
![\left[\begin{matrix} n \\ k \end{matrix}\right] =
(-1)^{n-k} \left|\left[\begin{matrix} n \\ k \end{matrix}\right]\right|.](../I/m/d97b053db1b81466af585e154ac0b24d.png)
![H(z, u) = G(-z, -u) =
\left(\frac{1}{1+z} \right)^{-u} = (1+z)^u =
\sum_{n=0}^\infty \sum_{k=0}^n
\left[\begin{matrix} n \\ k \end{matrix}\right] u^k \, \frac{z^n}{n!}.](../I/m/b76a3b92e83c8e63275ba30e88fbd3b8.png)
![(1+z)^u = \sum_{n=0}^\infty {u \choose n} z^n =
\sum_{n=0}^\infty \frac {z^n}{n!} \sum_{k=0}^n
\left[\begin{matrix} n \\ k \end{matrix}\right] u^k =
\sum_{k=0}^\infty u^k
\sum_{n=k}^\infty \frac {z^n}{n!}
\left[\begin{matrix} n \\ k \end{matrix}\right] =
e^{u\log(1+z)}.](../I/m/f610929f97ae69abf32ce8a34ad99065.png)
![\sum_{k=0}^n (-1)^k
\left[\begin{matrix} n \\ k \end{matrix}\right] =
(-1)^n n!.](../I/m/db486a72faad6e2ad8983ddcffe5c342.png)
![H(z, -1) = \frac{1}{1+z}
\quad \mbox{and hence} \quad
n! [z^n] H(z, -1) = (-1)^n n!.](../I/m/a2d0f01691814f375faf4d5343575fce.png)
![\sum_{n=k}^\infty
\left[\begin{matrix} n \\ k \end{matrix}\right]
\frac{z^n}{n!} = \frac {\left(\log (1+z)\right)^k}{k!}](../I/m/fdf68e6f22bd6b0151d811c481ab64db.png)
![[u^k] H(z, u) = [u^k] \exp \left( u \log (1+z) \right) =
\frac {\left(\log (1+z)\right)^k}{k!}.](../I/m/a8fdd9eb05f29657406d34d4b7951e0f.png)








![\left\{\begin{matrix} n \\ k \end{matrix}\right\} =
n! [u^k] [z^n] B(z, u) =
n! [z^n] \frac{(\exp z - 1)^k}{k!}](../I/m/38e971ca63b8ae67f6bc2cf32e27a424.png)
![n! [z^n] \frac{1}{k!} \sum_{j=0}^k {k \choose j} \exp(jz) (-1)^{k-j}](../I/m/f7be2dcd60a383ede4fa2fd641b152cd.png)
