Stenophyllanin A

Stenophyllanin A
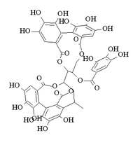
Chemical structure of stenophyllanin A
Properties
C42H30O25
Molar mass 934,64 g/mol
Except where otherwise noted, data are given for materials in their standard state (at 25 °C [77 °F], 100 kPa).
YesY verify (what is YesYN ?)
Infobox references

Stenophyllanin A is an ellagitannin. It can be found in Cowania mexicana, Coleogyne ramosissima[1] and Quercus stenophylla.[2]

References

  1. Anti-tumor promoting activity of polyphenols from Cowania mexicana and Coleogyne ramosissima. Hideyuki Ito, Masateru Miyake, Eisei Nishitani, Kazuko Mori, Tsutomu Hatano, Takuo Okuda, Takao Konoshima, Midori Takasaki, Mutsuo Kozuka, Teruo Mukainaka, Harukuni Tokuda, Hoyoku Nishino and Takashi Yoshida, Cancer Letters, Volume 143, Issue 1, 23 August 1999, Pages 5-13, doi:10.1016/S0304-3835(99)00160-3
  2. Tannins and related compounds part 26: isolation and structures of stenophyllanins A, B, and C, novel tannins from Quercus stenophylla, G. Nonaka, H. Nishimura, I. Nishioka, J. Chem. Soc. Perkin Trans. 1, 1985, pp. 163-172, doi:10.1039/P19850000163
This article is issued from Wikipedia - version of the 2/28/2016. The text is available under the Creative Commons Attribution/Share Alike but additional terms may apply for the media files.