Skattebøl rearrangement
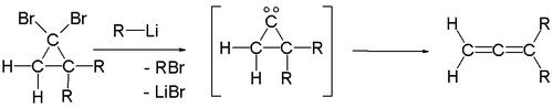
The Skattebøl rearrangement is an organic reaction for converting a geminal dihalo cyclopropane to an allene using an organolithium base.[1] This rearrangement reaction is named after its discoverer, Lars Skattebøl, Professor emeritus at the University of Oslo. It proceeds through a carbene reaction intermediate:

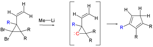
When the cyclopropane ring is fitted with a 2-vinyl group, a cyclopentadiene is formed through a so-called foiled carbene intermediate.[2][3] This process is more generally known as a vinylcyclopropane rearrangement.

References
- ↑ Chemistry of gem-Dihalocyclopropanes. V.1 Formation of Tricyclo[4.1.0.04,6]heptane and Derivatives Lars Skattebøl J. Org. Chem.; 1966; 31(9); 2789-2794 doi:10.1021/jo01347a014.
- ↑ Chemistry of gem-dihalocyclopropanes—VI A novel synthesis of cyclopentadienes and fulvenes L. Skattebøl Tetrahedron Volume 23, Issue 3 , 1967, Pages 1107-1117 doi:10.1016/0040-4020(67)85060-9.
- ↑ Leo A. Paquette and Mark L. McLaughlin Organic Syntheses, CV 8, 223 Link.
This article is issued from Wikipedia - version of the 9/17/2013. The text is available under the Creative Commons Attribution/Share Alike but additional terms may apply for the media files.