Sensitivity (control systems)

The controller parameters are typically matched to the process characteristics and since the process may change, it is important that the controller parameters are chosen in such a way that the closed loop system is not sensitive to variations in process dynamics. One way to characterize sensitivity is through the nominal sensitivity peak :[1]

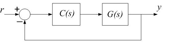
where and denote the plant and controller's transfer function in a basic closed loop control System, using unity negative feedback.

The sensitivity function , which appears in the above formula also describes the transfer function from external disturbance to process output. Hence, lower values of suggest further attenuation of the external disturbance. The sensitivity function tells us how the disturbances are influenced by feedback. Disturbances with frequencies such that is less than one are reduced by an amount equal to the distance to the critical point and disturbances with frequencies such that is larger than one are amplified by the feedback.[2]

A basic closed loop control System, using unity negative feedback. C(s) and G(s) denote compensator and plant transfer functions, respectively.
A basic closed loop control System, using unity negative feedback. C(s) and G(s) denote compensator and plant transfer functions, respectively.

It is important that the largest value of the sensitivity function be limited for a control system and it is common to require that the maximum value of the sensitivity function, , be in a range of 1.3 to 2.

Sensitivity Circle

The quantity is the inverse of the shortest distance from the Nyquist curve of the loop transfer function to the critical point . A sensitivity guarantees that the distance from the critical point to the Nyquist curve is always greater than and the Nyquist curve of the loop transfer function is always outside a circle around the critical point with the radius , known as the sensitivity circle.

References

  1. K.J. Astrom and T. Hagglund, PID Controllers: Theory, Design and Tuning, 2nd ed. Research Triangle Park, NC 27709, USA: ISA - The Instrumentation, Systems, and Automation Society, 1995.
  2. K.J. Astrom, "Model uncertainty and robust control," in Lecture Notes on Iterative Identification and Control Design. Lund, Sweden: Lund Institute of Technology, Jan. 2000, pp. 63–100.

Ms define the maximum value of the sensitivity function and inverse of Ms tells the shortest distance from the L(jw) to the critical point -1.

See also

This article is issued from Wikipedia - version of the 9/8/2016. The text is available under the Creative Commons Attribution/Share Alike but additional terms may apply for the media files.