Salvia nemorosa
| Salvia nemorosa | |
|---|---|
![]() | |
| Scientific classification | |
| Kingdom: | Plantae |
| (unranked): | Angiosperms |
| (unranked): | Eudicots |
| (unranked): | Asterids |
| Order: | Lamiales |
| Family: | Lamiaceae |
| Genus: | Salvia |
| Species: | S. nemorosa |
| Binomial name | |
| Salvia nemorosa L. | |
Salvia nemorosa (woodland sage, Balkan clary) is a hardy herbaceous perennial plant native to a wide area of central Europe and Western Asia.
It is an attractive plant that is easy to grow and propagate, with the result that it has been passed around by gardeners for many years. Its wide distribution, long history, and the ease with which it hybridizes have resulted in many cultivars and hybrids—along with problems in clearly identifying the hybrids and their relationship with S. nemorosa. It was named and described by Carl Linnaeus in 1762, with "nemorosa" ("of woods") referring to its typical habitat in groves and woods.[1]
In northern Britain, Salvia nemorosa and Salvia pratensis are both in danger of disappearing due to depredation from slugs.[2]
Description
The many inflorescences have closely spaced whorls of small flowers with brightly colored calyces.
Cultivation
There are numerous cultivars widely grown in horticulture. Many of them are hardy to –18 °C., with flowers ranging in color from violet, to violet-blue, rosy pink, and even white. All are perennial, with numerous leafy stems growing from the base at the beginning of summer. The plant prefers full sun, good drainage, and moderate weekly watering.[1] The plant is hardy to USDA Hardiness Zones Zones 4-8.[3]
The following cultivars have gained the Royal Horticultural Society's Award of Garden Merit:-
Phytochemistry

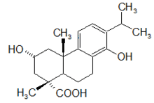
Leaves of Salvia nemorosa have been used in Turkish medicine to stop bleeding by applying externally. Diterpenes and triterpenes have been isolated from aerial parts of S. nemorosa: nemorone, nemorosin, horminone, 7-acetylhorminone, salvinemorol, megastigmane glycosides (salvionosides A, B and C), pachystazone, salvipisone, α-amyrin, ursolic and oleanolic acids, stigmast-7-en-3-one, 24-methylenecycloartanol, stigmast-4-en-3-one, β-sitosterol, stigmast-7-enol, as well as flavonoids salvigenin, eupatilin, apigenin and luteolin.[11]
Notes
- 1 2 Clebsch, Betsy; Barner, Carol D. (2003). The New Book of Salvias. Timber Press. p. 208. ISBN 978-0-88192-560-9.
- ↑ Fieldhouse, Ken; Hitchmough, James (2004). Plant User Handbook: A Guide to Effective Specifying. Blackwell Publishing. pp. 334–335. ISBN 978-0-632-05843-3.
- ↑ Missouri Botanical Garden: Salvia nemorosa 'Caradonna'
- ↑ "RHS Plant Selector - Salvia nemorosa 'Amethyst'". Retrieved 2 June 2013.
- ↑ "RHS Plant Selector - Salvia × sylvestris 'Blauhügel'". Retrieved 2 June 2013.
- ↑ "RHS Plant Selector - Salvia nemorosa 'Lubecca'". Retrieved 2 June 2013.
- ↑ "RHS Plant Selector - Salvia × sylvestris 'Mainacht'". Retrieved 2 June 2013.
- ↑ "RHS Plant Selector - Salvia nemorosa 'Ostfriesland'". Retrieved 2 June 2013.
- ↑ "RHS Plant Selector - Salvia nemorosa 'Porzellan'". Retrieved 2 June 2013.
- ↑ "RHS Plant Selector - Salvia × sylvestris 'Tanzerin'". Retrieved 2 June 2013.
- ↑ Ulubelen, Topçu, Sönmez, Eris. Terpenoids from Salvia nemorosa. Phytochemistry (1994). Vol. 35. No. 4, pp. 1065-1067.
