Roquinimex
![]() | |
| Clinical data | |
|---|---|
| ATC code | L03AX02 (WHO) |
| Pharmacokinetic data | |
| Biological half-life | 26-42 hours |
| Identifiers | |
| |
| CAS Number |
84088-42-6 |
| PubChem (CID) | 55197 |
| ChemSpider |
10619239 |
| UNII |
372T2944C0 |
| ECHA InfoCard | 100.163.758 |
| Chemical and physical data | |
| Formula | C18H16N2O3 |
| Molar mass | 308.331 g/mol |
| 3D model (Jmol) | Interactive image |
| |
| |
| | |
Roquinimex (Linomide) is a quinoline derivative immunostimulant which increases NK cell activity and macrophage cytotoxicity. It also inhibits angiogenesis and reduces the secretion of TNF alpha.
Roquinimex has been investigated as a treatment for some cancers (including as adjuvant therapy after bone marrow transplantation in acute leukemia) and autoimmune diseases, such as multiple sclerosis and recent-onset type I diabetes. Several trials have been terminated due to serious cardiovascular toxicity.
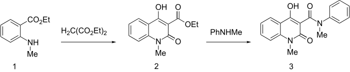
Synthesis

Roquinimex synthesis:[1]
Ethyl 2-(methylamino)benzoate is condensed with ethyl malonate. Amine-ester ineterchange of that compound with N-methylaniline results in formation of the amide roquinimex.
References
- ↑ E. Eriksoo et al., EP 59698; eidem, U.S. Patent 4,738,971 (1982, 1988 both to AB Leo).
This article is issued from Wikipedia - version of the 8/25/2016. The text is available under the Creative Commons Attribution/Share Alike but additional terms may apply for the media files.
