Rhodanese
| Rhodanese-like domain | |||||||||
|---|---|---|---|---|---|---|---|---|---|
![]() | |||||||||
| Identifiers | |||||||||
| Symbol | Rhodanese | ||||||||
| Pfam | PF00581 | ||||||||
| InterPro | IPR001763 | ||||||||
| PROSITE | PDOC00322 | ||||||||
| SCOP | 2ora | ||||||||
| SUPERFAMILY | 2ora | ||||||||
| |||||||||
Rhodanese, also known as rhodanase, thiosulfate sulfurtransferase, thiosulfate cyanide transsulfurase, and thiosulfate thiotransferase,[1] is a mitochondrial enzyme that detoxifies cyanide (CN−) by converting it to thiocyanate (SCN−).[2]
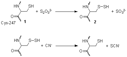
This reaction takes place in two steps. The diagram on the right shows the crystallographically-determined structure of rhodanese. In the first step, thiosulfate is reduced by the thiol group on cysteine-247 1, to form a persulfide and a sulfite 2. In the second step, the persulfide reacts with cyanide to produce thiocyanate, re-generating the cysteine thiol 1.

This reaction is important for the treatment of exposure to cyanide, since the thiocyanate formed is less toxic. The use of thiosulfate solution as an antidote for cyanide poisoning is based on the activation of this enzymatic cycle.
Rhodanese shares evolutionary relationship with a large family of proteins, including
- Cdc25 phosphatase catalytic domain.
- non-catalytic domains of eukaryotic dual-specificity MAPK-phosphatases
- non-catalytic domains of yeast PTP-type MAPK-phosphatases
- non-catalytic domains of yeast Ubp4, Ubp5, Ubp7
- non-catalytic domains of mammalian Ubp-Y
- Drosophila heat shock protein HSP-67BB
- several bacterial cold-shock and phage shock proteins
- plant senescence associated proteins
- catalytic and non-catalytic domains of rhodanese (see <db_xref db="INTERPRO" dbkey="IPR001307" />).
Rhodanese has an internal duplication. This domain is found as a single copy in other proteins, including phosphatases and ubiquitin C-terminal hydrolases.[3]
Human proteins containing this domain
CDC25A; CDC25B; CDC25C; DUSP; DUSP1; DUSP10; DUSP16; DUSP2; DUSP4; DUSP5; DUSP6; DUSP7; KAT; MKP7; MOCS3; MPST; TBCK; TSGA14; TST; USP8;
Nomenclature
Although the standard nomenclature rules for enzymes indicate that their names are to end with the letters "-ase", rhodanese was first described in 1933,[4] prior to the 1955 establishment of the Enzyme Commission; as such, the older name had already attained widespread usage.
References
- ↑ EC 2.8.1.1, at the International Union of Biochemistry and Molecular Biology
- ↑ Cipollone R, Ascenzi P, Tomao P, Imperi F, Visca P (2008). "Enzymatic detoxification of cyanide: clues from Pseudomonas aeruginosa Rhodanese". J. Mol. Microbiol. Biotechnol. 15 (2-3): 199–211. doi:10.1159/000121331. PMID 18685272.
- ↑ Gliubich F, Gazerro M, Zanotti G, Delbono S, Bombieri G, Berni R (1996). "Active site structural features for chemically modified forms of rhodanese". J. Biol. Chem. 271 (35): 21054–21061. doi:10.1074/jbc.271.35.21054. PMID 8702871.
- ↑ Common Themes and Variations in the Rhodanese Superfamily, by Rita Cipollone, Paolo Ascenzi, and Paolo Visca, in IUBMB Life, vol. 59, no. 2 (February 2007); page 51-59; DOI: 10.1080/15216540701206859
- F. Gliubich; M. Gazerro; G. Zanotti; S. Delbono; G. Bombieri; R. Berni (1996). "Active Site Structural Features for Chemically Modified Forms of Rhodanese". Journal of Biological Chemistry. 271 (35): 21054–21061. doi:10.1074/jbc.271.35.21054. PMID 8702871.
External links
- Rhodanese at the US National Library of Medicine Medical Subject Headings (MeSH)
