Reduction of nitro compounds
The chemical reactions described as reduction of nitro compounds can be effected by many reagents and reaction conditions. Historically, the nitro group was one of the first functional groups to be reduced.
Alkyl and aryl nitro compounds behave differently. Thus, reduction conditions can be broadly classified by starting materials: aliphatic nitro compounds or aromatic nitro compounds. Secondary classifications are based upon reaction products.
Aliphatic nitro compounds
Reduction to hydrocarbons

Hydrodenitration (replacement of a nitro group with hydrogen) is difficult to achieve but can be effected by catalytic hydrogenation over platinum on silica gel at high temperatures.[1]
Reduction to amines

Aliphatic nitro compounds can be reduced to aliphatic amines by several reagents:
- Catalytic hydrogenation using platinum(IV) oxide (PtO2)[2] or Raney nickel[3]
- Iron metal in refluxing acetic acid[4]
- Samarium diiodide[5]
α,β-Unsaturated nitro compounds can be reduced to saturated amines by:
- Catalytic hydrogenation over palladium-on-carbon
- Iron metal
- Lithium aluminium hydride[6] (Note: Hydroxylamines and oximes are typical impurities.)
Reduction to hydroxylamines
Aliphatic nitro compounds can be reduced to aliphatic hydroxylamines using diborane.[7]
The reaction can also be carried out with zinc dust and ammonium chloride :
- R-NO2 + 4 NH4Cl + 2 Zn → R-NH-OH + 2 ZnCl2 + 4 NH3 + H2O
Reduction to oximes

Nitro compounds are typically reduced to oximes using metal salts, such as stannous chloride[8] or chromium(II) chloride.[9] Additionally, catalytic hydrogenation using a controlled amount of hydrogen can generate oximes.[10]
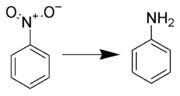
Aromatic nitro compounds
Reduction to anilines

The reduction of nitroaromatics is conducted on an industrial scale.[11] Many methods for the production of anilines from aryl nitro compounds exist, such as:
- Catalytic hydrogenation using palladium-on-carbon,[12] platinum(IV) oxide, or Raney nickel[13]
- Iron in acidic media[14] (Note: Iron is particularly well suited for this reduction as the reaction conditions are typically gentle and also because iron has a high functional group tolerance.) (See Bechamp reduction)
- Sodium hydrosulfite[15]
- Sodium sulfide (or hydrogen sulfide and base). For example, reduction of a 1,3-dinitrobenzene derivative using sodium sulfide gives the 3-nitroaniline.[16]
- Tin(II) chloride[17]
- Titanium(III) chloride
- Zinc
- Samarium[18]
Metal hydrides are typically not used to reduce aryl nitro compounds to anilines because they tend to produce azo compounds. (See below)
Reduction to hydroxylamines
Several methods for the production of aryl hydroxylamines from aryl nitro compounds exist:
- Raney nickel and hydrazine at 0-10 °C[19]
- Electrolytic reduction[20]
- Zinc metal in aqueous ammonium chloride[21]
Reduction to hydrazino compounds
Treatment of nitroarenes with excess zinc metal results in the formation of N,N'-diarylhydrazine.[22]
Reduction to azo compounds

Treatment of aromatic nitro compounds with metal hydrides gives good yields of azo compounds. For example, one could use:
- Lithium aluminium hydride[23]
- Zinc metal with sodium hydroxide.[22] (Excess zinc will reduce the azo group to a hydrazino compound.)
Reduction to azoxy compounds
Aromatic compounds are reduced to azoxy compounds by using:
- Na3AsO3 or glucose or NaOH[24]
- C6H5NO2→
References
- ↑ M. J. Guttieri & W. F. Maier (1984). "Selective cleavage of carbon-nitrogen bonds with platinum". J. Org. Chem. 49 (16): 2875–2880. doi:10.1021/jo00190a006.
- ↑ A. T. Nielsen (1962). "The Isomeric Dinitrocyclohexanes. II. Stereochemistry". J. Org. Chem. 27 (6): 1998–2001. doi:10.1021/jo01053a019.
- ↑ Dauben, Jr., H. J.; Ringold, H. J.; Wade, R. H.; Pearson, D. L.; Anderson, Jr., A. G. (1963). "Cycloheptanone". Org. Synth.; Coll. Vol., 4, p. 221
- ↑ Senkus, M. (1948). "Ind. Eng. Chem.". 40: 506.
- ↑ A. S. Kende & J. S. Mendoza (1991). "Controlled reduction of nitroalkanes to alkyl hydroxylamines or amines by samarium diiodide". Tetrahedron Letters. 32 (14): 1699–1702. doi:10.1016/S0040-4039(00)74307-3.
- ↑ A. Burger, M. L. Stein and J. B. Clements (1957). "Some Pyridylnitroalkenes, Nitroalkanols, and Alkylamines". J. Org. Chem. 22 (2): 143–144. doi:10.1021/jo01353a010.
- ↑ H. Feuer, R. S. Bartlett, B. F. Vincent and R. S. Anderson (1965). "Diborane Reduction of Nitro Salts. A New Synthesis of N-Monosubstituted Hydroxylamines". J. Org. Chem. 30 (9): 2880–2882. doi:10.1021/jo01020a002.
- ↑ Braun, V. J.; Sobecki, W. (1911). "Über primäre Dinitro-, Nitronitrit- und Dialdoxim-Verbindungen der Fettreihe". Ber. 44 (3): 2526–2534. doi:10.1002/cber.19110440377.
- ↑ J. R. Hanson & E. Premuzic (1967). "Applications of chromous chloride--II : The reduction of some steroidal nitro-compounds". Tetrahedron. 23 (10): 4105–4110. doi:10.1016/S0040-4020(01)97921-9.
- ↑ C. Grundmann (1950). "Über die partielle Reduktion von Nitro-cyclohexan". Angewandte Chemie. 62 (23-24): 558–560. doi:10.1002/ange.19500622304.
- ↑ Gerald Booth (2007). "Nitro Compounds, Aromatic". In: Ullmann's Encyclopedia of Industrial Chemistry. John Wiley & Sons: New York. doi:10.1002/14356007.a17_411
- ↑ Bavin, P. M. G. (1973). "2-Aminofluorene". Org. Synth.; Coll. Vol., 5, p. 30
- ↑ Allen, C. F. H.; VanAllan, J. (1955). "2-Amino-p-cymene". Org. Synth.; Coll. Vol., 3, p. 63
- ↑ Fox, B. A.; Threlfall, T. L. (1973). "2,3-Diaminopyridine". Org. Synth.; Coll. Vol., 5, p. 346
- ↑ Redemann, C. T.; Redemann, C. E. (1955). "5-Amino-2,3-dihydro-1,4-phthalazinedione". Org. Synth.; Coll. Vol., 3, p. 69
- ↑ Hartman, W. W.; Silloway, H. L. (1955). "2-Amino-4-nitrophenol". Org. Synth.; Coll. Vol., 3, p. 82
- ↑ Faul, Margaret M.; Thiel, Oliver R. (2005). "Tin(II) Chloride". Encyclopedia of Reagents for Organic Synthesis. Encyclopedia of Reagents for Organic Synthesis. doi:10.1002/047084289X.rt112.pub2. ISBN 9780470842898.
- ↑ Basu, M. K. (2000). "Ultrasound-promoted highly efficient reduction of aromatic nitro compounds to the aromatic amines by samarium/ammonium chloride". Tet. Lett. 41 (30): 5603. doi:10.1016/S0040-4039(00)00917-5.
- ↑ Ayyangar, N. R.; Brahme, K. C.; Kalkote, U. R.; Srinivasan, K. V. (1984). "Facile Transfer-Reduction of Nitroarenes to N Arylhydroxylamines with Hydrazine in the Presence of Raney Nickel". Synthesis. 1984 (11): 938. doi:10.1055/s-1984-31027.
- ↑ Harman, R. E. (1963). "Chloro-p-benzoquinone". Org. Synth.; Coll. Vol., 4, p. 148
- ↑ Kamm, O. (1941). "β-Phenylhydroxylamine". Org. Synth.; Coll. Vol., 1, p. 445
- 1 2 Bigelow, H. E.; Robinson, D. B. (1955). "Azobenzene". Org. Synth.; Coll. Vol., 3, p. 103
- ↑ R. F. Nystrom & W. G. Brown (1948). "Reduction of Organic Compounds by Lithium Aluminum Hydride. III. Halides, Quinones, Miscellaneous Nitrogen Compounds". J. Am. Chem. Soc. 70 (11): 3738–3740. doi:10.1021/ja01191a057. PMID 18102934.
- ↑ O.P.Tandon
