Reaction mechanism

In chemistry, a reaction mechanism is the step by step sequence of elementary reactions by which overall chemical change occurs.[1]

A chemical mechanism is a theoretical conjecture that tries to describe in detail what takes place at each stage of an overall chemical reaction. The detailed steps of a reaction are not observable in most cases. The conjectured mechanism is chosen because it is thermodynamically feasible, and has experimental support in isolated intermediates or other quantitative and qualitative characteristics of the reaction. It also describes each reactive intermediate, activated complex, and transition state, and which bonds are broken (and in what order), and which bonds are formed (and in what order). A complete mechanism must also account for all reactants used, the function of a catalyst, the stereochemistry observed in reactants and products, all products formed and the amount of each. Reaction intermediates are chemical species, often unstable and short-lived (however some can be isolated), which are not reactants or products of the overall chemical reaction, but are temporary products and reactants in the mechanism's reaction steps. Reaction intermediates are often free radicals or ions. The kinetics (relative rates of the reaction steps and the rate equation for the overall reaction) are explained based in terms of the energy needed for the conversion of the reactants to the proposed transition states (mostly unstable intermediate molecular states even in the elementary reactions, that corresponds to maxima on the reaction coordinate, and to saddle points on the potential energy surface for the reaction), and is quantitatively defined in terms of the standard free Gibbs energy used in that process. Transition states are commonly molecular entities involving an unstable number of bonds and/or unstable geometry.

SN2 reaction mechanism. Note the negatively charged transition state in brackets in which the central carbon atom in question shows five bonds, an unstable condition.

The electron or arrow pushing method is often used in illustrating a reaction mechanism; for example, see the illustration of the mechanism for benzoin condensation in the following examples section.

A reaction mechanism must also account for the order in which molecules react. Often what appears to be a single-step conversion is in fact a multistep reaction.

Chemical kinetics

Information about the mechanism of a reaction is often provided by the use of chemical kinetics to determine the rate equation and the reaction order in each reactant.[2]

Consider the following reaction for example:

CO + NO2 CO2 + NO

In this case, experiments have determined that this reaction takes place according to the rate law . This form suggests that the rate-determining step is a reaction between two molecules of NO2. A possible mechanism for the overall reaction that explains the rate law is:

2 NO2 NO3 + NO (slow)
NO3 + CO NO2 + CO2 (fast)

Each step is called an elementary step, and each has its own rate law and molecularity. The elementary steps should add up to the original reaction. (Meaning, if we were to cancel out all the molecules that appear on both sides of the reaction, we would be left with the original reaction.)

When determining the overall rate law for a reaction, the slowest step is the step that determines the reaction rate. Because the first step (in the above reaction) is the slowest step, it is the rate-determining step. Because it involves the collision of two NO2 molecules, it is a bimolecular reaction with a rate law of .

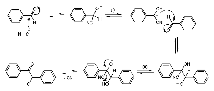
Other reactions may have mechanisms of several consecutive steps. In organic chemistry, one of the first reaction mechanisms proposed was that for the benzoin condensation, put forward in 1903 by A. J. Lapworth.

Benzoin condensation reaction mechanism. Cyanide ion (CN) acts as a catalyst here, entering at the first step and leaving in the last step. Proton (H+) transfers occur at (i) and (ii). The arrow pushing method is used in some of the steps to show where electron pairs go.

There are also more complex mechanisms such as chain reactions, in which the propagation steps of the chain form a closed cycle.

Other experimental methods to determine mechanism

Many experiments that suggest the possible sequence of steps in a reaction mechanism have been designed, including:

Theoretical modeling

A correct reaction mechanism is an important part of accurate predictive modeling. For many combustion and plasma systems, detailed mechanisms are not available or require development.

Even when information is available, identifying and assembling the relevant data from a variety of sources, reconciling discrepant values and extrapolating to different conditions can be a difficult process without expert help. Rate constants or thermochemical data are often not available in the literature, so computational chemistry techniques or group additivity methods must be used to obtain the required parameters.

Computational chemistry methods can also be used to calculate potential energy surfaces for reactions and determine probable mechanisms.[15]

Molecularity

Main article: molecularity

Molecularity in chemistry is the number of colliding molecular entities that are involved in a single reaction step.

In general, reaction steps involving more than three molecular entities do not occur, because is statistically improbable in terms of Maxwell distribution to find such transition.state.

See also

References

  1. March, Jerry (1985), Advanced Organic Chemistry: Reactions, Mechanisms, and Structure (3rd ed.), New York: Wiley, ISBN 0-471-85472-7
  2. Espenson, James H. Chemical Kinetics and Reaction Mechanisms (2nd ed., McGraw-Hill, 2002) chap.6, Deduction of Reaction Mechanisms ISBN 0-07-288362-6
  3. Espenson p.156-160
  4. Morrison R.T. and Boyd R.N. Organic Chemistry (4th ed., Allyn and Bacon 1983) p.216-9 and p.228-231, ISBN 0-205-05838-8
  5. Atkins P and de Paula J, Physical Chemistry (8th ed., W.H. Freeman 2006) p.816-8 ISBN 0-7167-8759-8
  6. Moore J.W. and Pearson R.G. Kinetics and Mechanism (3rd ed., John Wiley 1981) p.276-8 ISBN 0-471-03558-0
  7. Laidler K.J. and Meiser J.H., Physical Chemistry (Benjamin/Cummings 1982) p.389-392 ISBN 0-8053-5682-7
  8. Atkins and de Paula p.884-5
  9. Laidler and Meiser p.388-9
  10. Atkins and de Paula p.892-3
  11. Atkins and de Paula p.886
  12. Laidler and Meiser p.396-7
  13. Investigation of chemical reactions in solution using API-MS Leonardo Silva Santos, Larissa Knaack, Jurgen O. Metzger Int. J. Mass Spectrom.; 2005; 246 pp 84 - 104; (Review) doi:10.1016/j.ijms.2005.08.016
  14. Espenson p.112
  15. Atkins and de Paula p.887-891

L.G.WADE,ORGANIC CHEMISTRY 7TH ED,2010

External links

This article is issued from Wikipedia - version of the 10/13/2016. The text is available under the Creative Commons Attribution/Share Alike but additional terms may apply for the media files.