R (cross section ratio)
R is the ratio of the hadronic cross section to the muon cross section in electron–positron collisions:
where the superscript (0) indicates that the cross section has been corrected for initial state radiation. R is an important input in the calculation of the anomalous magnetic dipole moment.[1] Experimental values have been measured for center-of-mass energies from 400 MeV to 150 GeV.[2]
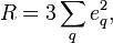
R also provides experimental confirmation of the electric charge of quarks, in particular the charm quark and bottom quark, and the existence of three quark colors.[3] A simplified calculation of R yields
where the sum is over all quark flavors with mass less than the beam energy. eq is the electric charge of the quark, and the factor of 3 accounts for the three colors of the quarks. QCD corrections to this formula have been calculated.[4]
Notes
- ↑ S. Eidelman and F. Jegerlehner, Z. Phys. C67 585 (1995).
- ↑ W.-M. Yao et al., J. Phys. G 33, 1 (2006) Section 40
- ↑ W.-M. Yao et al., J. Phys. G 33, 1 (2006) Section 9.7
- ↑ S.G. Gorishny et al., Phys. Lett. B259 144 (1991)

