Quinfamide
![]() | |
| Clinical data | |
|---|---|
| Routes of administration | Oral |
| ATC code | None |
| Identifiers | |
| |
| CAS Number |
62265-68-3 |
| PubChem (CID) | 71743 |
| ChemSpider |
64787 |
| UNII |
O1ZB1046R1 |
| ECHA InfoCard | 100.057.690 |
| Chemical and physical data | |
| Formula | C16H13Cl2NO4 |
| Molar mass | 354.18472 g/mol |
| 3D model (Jmol) | Interactive image |
| |
| |
| | |
Quinfamide, is a drug that has anti-parasitic properties.[1]
Synthesis
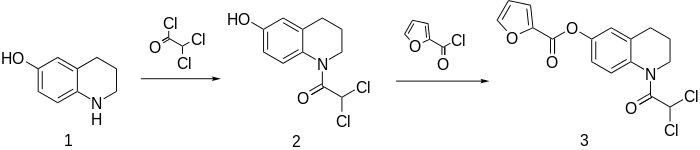
Quinfamide is one of a relatively small family of antiamoebic compounds containing a dichloroacetamide function.
The synthesis begins by amidation of 6-hydroxytetrahydroquinoline with dichloroacetyl chloride. The sequence is completed by acylation with 2-furoyl chloride.
References
- ↑ Davila-Gutierrez, CE.; Vasquez, C.; Trujillo-Hernandez, B.; Huerta, M. (Mar 2002). "Nitazoxanide compared with quinfamide and mebendazole in the treatment of helminthic infections and intestinal protozoa in children". Am J Trop Med Hyg. 66 (3): 251–4. PMID 12139216.
- ↑ D. M. Bailey, U.S. Patent 3,997,542 (1976 to Sterling).
- ↑ Bailey, Denis M.; Mount, Eldridge M.; Siggins, James; Carlson, John A.; Yarinsky, Allen; Slighter, Ralph G. (1979). "1-(Dichloroacetyl)-1,2,3,4-tetrahydro-6-quinolinol esters. New potent antiamebic agents". Journal of Medicinal Chemistry. 22 (5): 599. doi:10.1021/jm00191a031. PMID 458814.
This article is issued from Wikipedia - version of the 4/7/2016. The text is available under the Creative Commons Attribution/Share Alike but additional terms may apply for the media files.

