Quasi-Hopf algebra
A quasi-Hopf algebra is a generalization of a Hopf algebra, which was defined by the Russian mathematician Vladimir Drinfeld in 1989.
A quasi-Hopf algebra is a quasi-bialgebra
for which there exist
and a bijective antihomomorphism S (antipode) of
such that
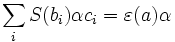
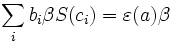
for all
and where
and
where the expansions for the quantities
and
are given by
and
As for a quasi-bialgebra, the property of being quasi-Hopf is preserved under twisting.
Usage
Quasi-Hopf algebras form the basis of the study of Drinfeld twists and the representations in terms of F-matrices associated with finite-dimensional irreducible representations of quantum affine algebra. F-matrices can be used to factorize the corresponding R-matrix. This leads to applications in Statistical mechanics, as quantum affine algebras, and their representations give rise to solutions of the Yang-Baxter equation, a solvability condition for various statistical models, allowing characteristics of the model to be deduced from its corresponding quantum affine algebra. The study of F-matrices has been applied to models such as the Heisenberg XXZ model in the framework of the algebraic Bethe ansatz. It provides a framework for solving two-dimensional integrable models by using the Quantum inverse scattering method.
See also
References
- Vladimir Drinfeld, Quasi-Hopf algebras, Leningrad Math J. 1 (1989), 1419-1457
- J.M. Maillet and J. Sanchez de Santos, Drinfeld Twists and Algebraic Bethe Ansatz, Amer. Math. Soc. Transl. (2) Vol. 201, 2000






