Phosphinate

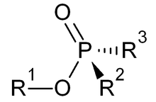
Phosphinates are organophosphorus compounds with the formula OP(OR)R2. The phosphinate group is a structural isomer of the phosphonite group P(OR)2R.
Synthesis
Phosphinates can be synthetized by the Michaelis–Arbuzov reaction. Phosphinites P(OR)R2 can be oxidized into phosphinates.
See also
- Phosphine - PR3
- Phosphine oxide - OPR3
- Phosphite - P(OR)3
- Phosphonate - OP(OR)2R
- Phosphate - OP(OR)3
- Bensulide - contains the sulfur analogue of this moiety, SP(SR)R2
This article is issued from Wikipedia - version of the 9/22/2015. The text is available under the Creative Commons Attribution/Share Alike but additional terms may apply for the media files.