Phenylboronic acid
![]() | |
![]() | |
| Identifiers | |
|---|---|
| 98-80-6 | |
| 3D model (Jmol) | Interactive image |
| ChEBI | CHEBI:44923 |
| ChEMBL | ChEMBL21485 |
| ChemSpider | 60191 |
| DrugBank | DB01795 |
| ECHA InfoCard | 100.002.456 |
| EC Number | 202-701-9 |
| PubChem | 66827 |
| |
| |
| Properties | |
| C6H7BO2 | |
| Molar mass | 121.93 g/mol |
| Appearance | white to yellow powder |
| Odor | odorless |
| Melting point | 216 °C (421 °F; 489 K) |
| 0.1 g/mL in MeOH | |
| Solubility | soluble in diethyl ether, ethanol |
| Acidity (pKa) | 8.83 |
| Structure | |
| planar | |
| Thermochemistry | |
| Std enthalpy of formation (ΔfH |
-719.6 kJ/mol |
| Hazards | |
| Safety data sheet | |
| R-phrases | 22 |
| Lethal dose or concentration (LD, LC): | |
| LD50 (median dose) |
740 mg/ml (rat, oral) |
| Except where otherwise noted, data are given for materials in their standard state (at 25 °C [77 °F], 100 kPa). | |
| | |
| Infobox references | |
Phenylboronic acid or benzeneboronic acid, abbreviated as PhB(OH)2 where Ph is the phenyl group C6H5-, is a boronic acid containing a phenyl substituent and two hydroxyl groups attached to boron. Phenylboronic acid is white powder and is commonly used in organic synthesis. Boronic acids are mild Lewis acids which are generally stable and easy to handle, making them important to organic synthesis.
Properties
Phenylboronic acid is soluble in most polar organic solvents and is poorly soluble in hexanes and carbon tetrachloride. This planar compound has idealized C2V molecular symmetry. The boron atom is sp2-hybridized and contains an empty p-orbital. The orthorhombic crystals use hydrogen bonding to form units made up of two molecules.[1] These dimeric units are combined to give an extended hydrogen-bonded network. The molecule is planar with a minor bend around the C-B bond of 6.6o and 21.4o for the two PhB(OH)2 molecules.[2] In 1860, the first borane synthesized was ethylboronic acid. Edward Frankland was the first to prepare and isolate this boronic acid using diethylzinc and triethylborate to produce triethylborane, which oxidized in air to ethylboronic acid.[3][4][5]
Synthesis
There are numerous methods to synthesize phenylboronic acid. One of the most common synthesis uses phenylmagnesium bromide and trimethyl borate to form the ester PhB(OMe)2, which is then hydrolyzed to the product.[6]
- PhMgBr + B(OMe)3 → PhB(OMe)2 + MeOMgBr
- PhB(OMe)2 + H2O → PhB(OH)2 + MeOH
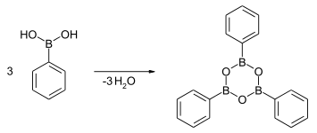
The trimeric anhydrides of phenylboronic acid are called boroxines. The dehydration of boronic acids creates boroxines by the thermal removal of water or the use of a dehydration agent.[7] Boroxines are isoelectronic to benzene.

Boronic esters result from the condensation of boronic acids with alcohols. This transformation is simply the replacement of the hydroxyl group by alkoxy or aryloxy groups.[2] This reversible reaction is commonly driven to product by the use of Dean-Stark apparatus or a dehydration agent to remove water.
- PhB(OH)2 + 2 ROH ⇌ PhB(OR)2 + 2 H2O
Since boronic acids have become important synthetic intermediates, a wide variety of methods are available to form boronic acids. Electrophilic borates can be used to trap phenylmetal intermediates from aryl halides or from directed ortho-metallation.[2] Phenylsilanes and phenylstannanes transmetalate with BBr3, followed by hydrolysis form phenylboronic acid. Aryl halides or triflates can be coupled with diboronyl reagents using transition metal catalysts. Aromatic C-H functionalization can also be done using transition metal catalysts.
Applications
Phenylboronic acid is used in numerous cross coupling reactions. In 1979, Miyarura and Suzuki found a carbon-carbon bond forming reaction (now called a Suzuki reaction) using alkenyl boranes, aryl halides, catalytic Pd(0), and base to produce arylated alkene products.[8] This method was generalized to a route producing biaryls by coupling phenylboronic acid with aryl halides.
More C-C bond forming processes commonly use phenylboronic acid as a reagent. Alpha-amino acids can be generated using the uncatalyzed reaction between alpha-ketoacids, amines, and phenylboronic acid.[9] Heck-type cross coupling of phenylboronic acid to alkenes and alkynes.[10] This unique C-C bond forming reaction has the ability to couple a terminal olefin with boronic acid using a transition metal catalyst. Aryl azides and nitroaromatics can also be generated using phenylboronic acid.[2] PhB(OH)2 can be used as a protecting group for diols and diamines. Phenylboronic acid can also be regioselectively halodeboronated using aqueous bromine, chlorine, or iodine.[11]
- PhB(OH)2 + Br2 + H2O → PhBr + B(OH)3 + HBr
Phenylboronic acid is used in biology schemes as receptors and sensors for carbohydrates, antimicrobial agents and enzyme inhibitors, neutron capture therapy for cancer, transmembrane transport, and bioconjugation and labeling of proteins and cell surface.[2]
See also
References
- ↑ Retting, S. J., Trotter, J. (1977). Can. J. Chem. 55: 3071–3075. Missing or empty
|title=(help) - 1 2 3 4 5 Hall, D. G. Boronic Acids; WILEY-VCH: Edmonton, Canada, 2005. ISBN 3-527-30991-8
- ↑ Frankland, E.; Duppa, B. F. (1860). "Vorläufige Notiz über Boräthyl". Justus Liebigs Ann. Chem. 115 (3): 319. doi:10.1002/jlac.18601150324.
- ↑ Frankland, E.; Duppa, B. (1860). "On Boric Ethide". Proceedings of the Royal Society. 10: 568. doi:10.1098/rspl.1859.0112.
- ↑ Frankland, E. (1862). "On a new series of organic compounds containing boron". J. Chem. Soc. 15: 363. doi:10.1039/JS8621500363.
- ↑ Wahsburn, R. M.; Levens, E.; Albright, C. F.; Billig, F. A. (1963). "Benzeneboronic anhydride". Org. Synth.; Coll. Vol., 4, p. 68
- ↑ Snyder, H. R.; Kuck, J. A.; Johnson, J. R. (1938). "Organoboron Compounds, and the Study of Reaction Mechanisms. Primary Aliphatic Boronic Acids". J. Am. Chem. Soc. 60: 105. doi:10.1021/ja01268a033.
- ↑ Miyaura, N.; Suzuki, A. (1979). "Stereoselective synthesis of arylated (E)-alkenes by the reaction of alk-1-enylboranes with aryl halides in the presence of palladium catalyst". J. Chem. Soc., Chem. Commun. (19): 866. doi:10.1039/C39790000866.
- ↑ Petasis, N. A.; Xavialov, I. A. (1997). "A New and Practical Synthesis of α-Amino Acids from Alkenyl Boronic Acids". J. Am. Chem. Soc. 119 (2): 445. doi:10.1021/ja963178n.
- ↑ Sakai, M.; Hayashi, H.; Miyaura, N. (1998). "Rhodium-Catalyzed Addition of Organoboronic Acids to Aldehydes". Angew. Chem. Int. Ed. 37 (23): 3279. doi:10.1002/(SICI)1521-3773(19981217)37:23<3279::AID-ANIE3279>3.0.CO;2-M.
- ↑ Ainley, A. D.; Challenger, F. (1930). "Studies of the boron–carbon linkage. Part I. The oxidation and nitration of phenylboric acid". J. Chem. Soc.: 2171. doi:10.1039/JR9300002171.
Further reading
- Brown, H.C. Organic Synthesis via Boranses, Wiley, New York, 1975.
- Matteson, D. S. Stereodirected Synthesis with Organoboranes, Springer, Berlin, 1995. ISBN 978-3-540-59182-5
- Lappert, M. F. (1956). "Organic Compounds Of Boron". Chem. Rev. 56 (5): 959. doi:10.1021/cr50011a002.
- Pelter, A.; Smith, K.; Brown, H. C. Borane Reagents, Academic Press, New York, 1988.
- Mikhailov, B. M.; Bubnov, Y. N. Organoboron Compounds in Organic Synthesis, Harwood Academics, Glasgow, 1984. ISBN 3-7186-0113-3

