Pericyclic reaction

In organic chemistry, a pericyclic reaction is a type of organic reaction wherein the transition state of the molecule has a cyclic geometry, and the reaction progresses in a concerted fashion. Pericyclic reactions are usually rearrangement reactions. The major classes of pericyclic reactions are:
| Name | Bond changes | |
|---|---|---|
| Sigma | Pi | |
| Electrocyclic reaction | + 1 | -1 |
| Cycloaddition | +2 | -2 |
| Sigmatropic reaction | 0 | 0 |
| Group transfer reaction | + 1 | -1 |
| Cheletropic reaction | + 2 | - 2 |
| Dyotropic reaction | 0 | 0 |
In general, these are considered to be equilibrium processes, although it is possible to push the reaction in one direction by designing a reaction by which the product is at a significantly lower energy level; this is due to a unimolecular interpretation of Le Chatelier's principle. Pericyclic reactions often have related stepwise radical processes associated with them. Some pericyclic reactions, such as the [2+2] cycloaddition, are 'controversial' because their mechanism is not definitively known to be concerted (or may depend on the reactive system). Pericyclic reactions also often have metal-catalyzed analogs, although usually these are also not technically pericyclic, since they proceed via metal-stabilized intermediates, and therefore are not concerted.
A large photoinduced hydrogen sigmatropic shift was utilized in a corrin synthesis performed by Albert Eschenmoser containing a 16π system.[1]
Due to the principle of microscopic reversibility, there is a parallel set of "retro" pericyclic reactions, which perform the reverse reaction.
Pericyclic reactions in stereochemistry
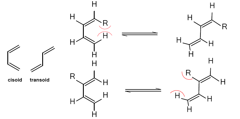
It is well established that the diene can only enter in a cycloaddition reaction with a dienophile in the cisoid form and the rate of the reaction with the open chain dienes depends on the equilibrium proportions of the cisoid/transoid conformers. Thus substituents in the diene can significantly affect the rate of the reaction not only by their electronic character but by their influence on the relative proportions of the different conformers.
Thus for example cis I -substituted butadiene I is less reactive than its trans isomer II since a bulky R disfavors the cisoid conformation. Bulky 2-substituents in the diene favor the cisoid conformation more than the transoid and thus the diene in this case is more reactive.[2]

Pericyclic reactions in biochemistry
Pericyclic reactions also occur in several biological processes:
- Claisen rearrangement of chorismate to prephenate in almost all prototrophic organisms
- [1,5]-sigmatropic shift in the transformation of precorrin-8x to hydrogenobyrinic acid
- non-enzymatic, photochemical electrocyclic ring opening and a (1,7) sigmatropic hydride shift in vitamin D synthesis
- Isochorismate pyruvate lyase catalyzed conversion of Isochorismate into salicylate and Pyruvate[3]
See also
References
- ↑ A New Type of Corrin Synthesis. Yasuji Yamada, D. Miljkovic, P. Wehrli, B. Golding, P. Loliger, R. Keese, K. Miiller, and A. Eschenmoser. Angew. Chem. Int. Ed. 1969, 8(5),343-348.
- ↑ An Introduction to Orbital Symmetry and Pericyclic Reactions 2006 - Prof. Dr. Fathy Mohamed Abdelrazek
- ↑ Isochorismate Pyruvate Lyase: A Pericyclic Reaction Mechanism? Michael S. DeClue, Kim K. Baldridge, Dominik E. Künzler, Peter Kast, and Donald Hilvert J. Am. Chem. Soc.; 2005; 127(43) pp 15002 - 15003; (Communication) doi:10.1021/ja055871t
