Penimepicycline
![]() | |
| Clinical data | |
|---|---|
| Routes of administration | Oral, intramuscular |
| ATC code | J01AA10 (WHO) |
| Identifiers | |
| CAS Number |
4599-60-4 |
| PubChem (CID) | 5464323 |
| ChemSpider |
16736440 |
| KEGG |
D07233 |
| ChEBI |
CHEBI:75258 |
| ECHA InfoCard | 100.022.729 |
| Chemical and physical data | |
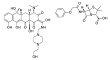
| Formula | C45H56N6O14S |
| Molar mass | 937.024 g/mol |
| 3D model (Jmol) | Interactive image |
| |
| |
| | |
Penimepicycline (INN, also known as mepicycline penicillinate) is an antibiotic. It is the phenoxymethylpenicillinate salt of the tetracycline antibiotic pipacycline.
This article is issued from Wikipedia - version of the 4/2/2016. The text is available under the Creative Commons Attribution/Share Alike but additional terms may apply for the media files.
