PEG-PVA
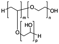
Polyethylene glycol–polyvinyl alcohol (PEG-PVA) brand name Kollicoat IR (BASF) is a novel multifunctional excipient[1] used as a pill binder as well as a wet binder. The formulation is composed of 25% PEG and 75% PVA; where the vinyl alcohol moieties are grafted on a polyethylene glycol backbone.[2]
| 2D structure | Statistic | Results for PEG-PVA |
|---|---|---|
![]() | ||
| Molecular weight | 45,000 Dalton | |
| pH | 5—8 | |
| k-value (1% water) | 31—34 | |
| Solubility Water 0.07 N HCl (pH 1.2) Phosphate buffer, pH 6.8 Water/ethanol (1:1) Organic solvents | >30% >30% >30% 20% Insoluble | |
| Viscosity at 20wt% (water) | 115 mPas | |
| Oxygen permeability | 104 cm3/100μm/m2.d | |
| Water vapor permeability | 510 cm3/100μm/m2.d | |
| Elongation at break (film thickness 100 μm) | 105% @ 54% RH | |
| Disintegration time (film thickness 100 μm) | 0:44 sec. @ pH 1.2, pH 6.8 | |
| Dissolution time (film thickness 100 μm) | 1:30 min. @ pH 1.2, pH 6.8 | |
| Surface tension, 23 °C | 10wt% solution: 44 mN/m2 20wt% solution: 41 mN/m2 | |
| PEG (free) | None |
See also
References
- ↑ Multifunctional Excipients: The Smart Excipients. Department of pharmaceutics, MVP Samaj’s College of Pharmacy, Nasik 02
- ↑ American Pharmaceutical Review (Periodical) Vol. 18 Iss. 7 Nov./Dec. 2015
This article is issued from Wikipedia - version of the 6/26/2016. The text is available under the Creative Commons Attribution/Share Alike but additional terms may apply for the media files.
